



就月球探测器的运动而言,将涉及四个月球坐标系,即历元月心天球坐标系、历元月心平赤道坐标系、月心黄道坐标系和月固坐标系。表1.6列出这些坐标系的坐标原点、参考平面(即XY平面)和X坐标轴方向。
表1.6 常用的月球坐标系(或参考系)的定义
 
   (续表)
 
   与地球赤道面在空间的摆动类似,月球赤道面亦有此摆动现象,即物理天平动,它同样引起月心赤道坐标系的各种不同定义,这将涉及环月卫星运动的轨道确定和星下点(即卫星与月心连线在月球表面的交点)位置的确定。
这里所说的月心天球坐标系(见表1.6),就可以简单地理解为仅仅将地心天球坐标系的坐标原点平移至月心,该坐标系的参考平面(即XY平面)和X坐标轴方向仍然是地心天球坐标系的选择,这便于地球坐标系统与月球坐标系统进行关联。对于其他大天体的天球坐标系也是这样引入的,详见本书附录D,后面在火星坐标系统中会有进一步的阐述。
    目前采用的即J2000.0月心平赤道坐标系,该坐标系的原点是月心,xy坐标面就是J2000.0月球平赤道面,x轴方向是该赤道面上的平春分点
     方向,这一方向由月球绕地运行轨道升交点的平黄经Ω
    
     m
    
    确定,见图1.4。与处理地球卫星轨道问题类似,这是处理环月探测器轨道问题中必须采用的坐标系,但为了区别上述J2000.0月心天球坐标系,称其为J2000.0月心平赤道坐标系,或简称J2000.0月心赤道坐标系。与地心天球坐标系类似,也是一个在一定意义下(即消除了坐标轴因月球赤道面摆动引起的转动)的月心“不变”的坐标系,它可以在同一个坐标系中来表达不同时刻的探测器轨道。同样,在该坐标系中,月球非球形部分的引力位也是变化的。
    方向,这一方向由月球绕地运行轨道升交点的平黄经Ω
    
     m
    
    确定,见图1.4。与处理地球卫星轨道问题类似,这是处理环月探测器轨道问题中必须采用的坐标系,但为了区别上述J2000.0月心天球坐标系,称其为J2000.0月心平赤道坐标系,或简称J2000.0月心赤道坐标系。与地心天球坐标系类似,也是一个在一定意义下(即消除了坐标轴因月球赤道面摆动引起的转动)的月心“不变”的坐标系,它可以在同一个坐标系中来表达不同时刻的探测器轨道。同样,在该坐标系中,月球非球形部分的引力位也是变化的。
   
该坐标系的原点O仍是月心,和地心黄道坐标系只是一个平移关系。x′y′坐标面是历元(J2000.0)时刻的黄道面,x′轴方向与上述天球坐标系(O-xyz)的指向一致,即该历元的平春分点方向。
坐标原点O是月心,而Z轴方向是月球的自转轴方向,XY坐标面即过月心并与自转轴方向垂直的月球赤道面,X轴指向月球上的“格林尼治”子午线方向:基本平面(XY坐标面)与过月面上Sinus Medii子午面的交线方向,即月球赤道面上那一指向地球的惯性主轴方向。显然,在这种坐标系中,相应的月球引力位亦是确定的,各种月球引力场模型及其参考椭球体也都是在这种坐标系中给定的,它们同样应该是一个自洽系统。
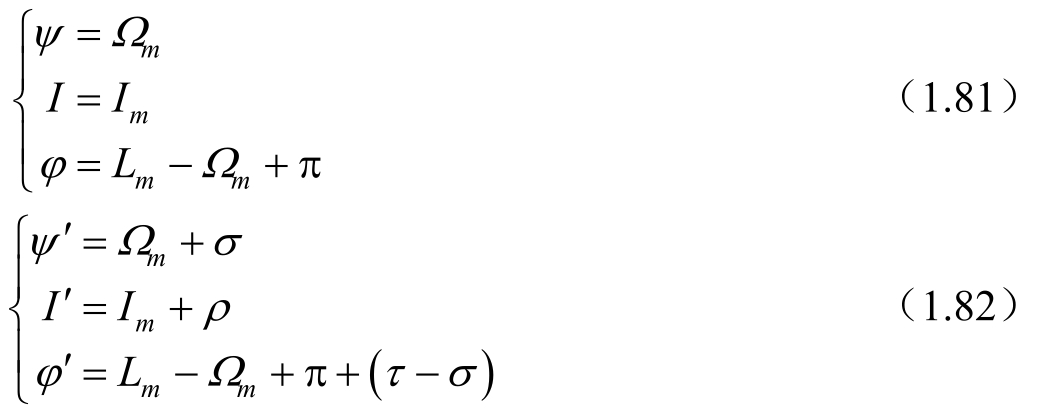
月球的物理天平动同样是一个定点转动问题。与地球自转的岁差章动类似,多年来的研究曾先后给出过多种有关物理天平动的理论,几乎都以物理天平动的经度分量、倾角分量和节点分量(τ,ρ,σ)的分析解来表达,这三个量就将月球的平赤道与真赤道以分析形式相联系。
    对于平赤道,根据Cassini定律,月球轨道、黄道与月球平赤道交于一点
     。由于月球天平动的原因,月球真赤道将通过(τ,ρ,σ)三个量在空间与平赤道联系起来,见图1.4。图中各量的关系如下,即
    。由于月球天平动的原因,月球真赤道将通过(τ,ρ,σ)三个量在空间与平赤道联系起来,见图1.4。图中各量的关系如下,即
   
 
   其中,I m ,Ω m ,L m 分别为月球平黄赤交角、轨道升交点平黄经和月球平黄经。
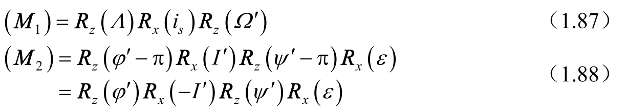
美国喷气推进实验室(JPL)的数值历表(如DE405)却以另一种形式表达了月球物理天平动,它是直接给出另三个欧拉角(Ω′,i s ,Λ)每天的具体数值(见图1.5),可用于计算月球卫星在月固坐标系中的精确位置。
上述两种物理天平动的表达形式,可通过图1.5来表明它们之间的关系。图1.5中x b 是月固坐标系的X轴指向,即图1.4中的ξ′方向。三个欧拉角(Ω′,i s ,Λ)在图中已表示清楚,不再加以说明,ε是地球的平黄赤交角。
 
    图1.4 月球真赤道与月球平赤道之间的关系
 
    图1.5 月心坐标系与物理天平动示意图
根据月球自转理论,给出的物理天平动三个参数(τ,ρ,σ)的分析表达式,类似于地球的章动序列,亦包含几百项,最大的周期项振幅超过100′′(100 角秒),但没有地球赤道摆动中的长周期项(即周期近26 000年的岁差项)。月球自转理论越来越精确,给出的分析表达式与 DE405 高精度数值历表也越来越接近,相差不到1′′。但若精度要求高,分析表达式取项则太多,不便于应用,而数值历表似乎简捷易用,但它不便于分析某些问题。在不同问题中可采用不同的表达形式:分析解(τ,ρ,σ)或数值历表(Ω′,i s ,Λ)。通过两者的比较证实:在涉及弧段不太长(1~2天或更长些)的情况下,对于探测器定轨或预报,无论是采用数值法还是分析法,涉及物理天平动问题,均可用下面给出的Eckhardt分析解的前四项的简化表达式,具体参见式(1.83)。
首先列出Eckhardt表达式(τ,ρ,σ)的前几项 [12] ,作为与数值历表(Ω′,,i s ,Λ)的比对依据,形式如下,即
 
   式(1.83)中,τ包含了自由项214′′.170;I=1 ° .542 461=5 552′′.86,即式(1.81)中已出现过的月球的平黄赤交角;l,l′,F和D各为月球的平近点角、太阳的平近点角、月球的平升交点角距(即F=l+ω m ,ω m 是月球轨道的近地点幅角)和日月平角距。它们的计算公式分别为
 
   其中,角度F和D在前面地球坐标系涉及的计算公式中出现过,具体参见式(1.55)和(1.56)。
    下面把(τ,ρ,σ)的分析表达式[见式(1.83)]与DE405数值历表值(Ω′,i
    
     s
    
    ,Λ)通过坐标转换来进行比较。(Ω′,i
    
     s
    
    ,Λ)涉及月心天球坐标系(O-x
    
     e
    
    y
    
     e
    
    z
    
     e
    
    ),这里所说的月心天球坐标系中,x
    
     e
    
    y
    
     e
    
    坐标面即前面定义的J2000地球平赤道面,为了区别起见,在该坐标系中的坐标矢量记为
     。月固坐标系(O-XYZ,即图 1.4 中的O-ξ′η′ζ′)中相应的坐标矢量记为
    。月固坐标系(O-XYZ,即图 1.4 中的O-ξ′η′ζ′)中相应的坐标矢量记为
     。对这两种坐标系,分别采用上述两种天平动表达形式(数值和分析)建立坐标转换关系,有
    。对这两种坐标系,分别采用上述两种天平动表达形式(数值和分析)建立坐标转换关系,有
   
 
   其中两个转换关系分别由以下两式表达,即
 
   式(1.88)第一行是按图 1.5 给出的,而第二行是按图 1.4 给出的,两者实为同一转换关系。式(1.87)和式(1.88)分别给出的两种转换矩阵之间的差别,取决于(τ,ρ,σ)取项的多少,如果像式(1.83)那样只取完整表达式中的前几个主项,将月球表面一点的空间坐标转换到月固坐标系中的位置,两种转换之差可达公里级,相应的转换矩阵元素的最大差别达到10 -3 。
根据上述比较可知,直接采用分析解的简化表达式,在某些问题中是不能满足精度要求的。但在考虑物理天平动对环月探测器轨道的影响时,在一定精度要求的前提下,则无妨,因为它是通过非球形引力位(最大的J 2 项仅为10 -4 的量级)来体现的。定轨或预报中涉及轨道外推弧段为10 2 时(对低轨探测器为1~2天的间隔),要保证10米级甚至米级精度,采用Eckhardt的前四项表达形式[见式(1.83)]是可以达到的。因此,具体采用哪一种转换关系应根据不同问题的具体要求而选择。
    鉴于上述比较结果,要建立月球卫星轨道理论,了解轨道变化的规律,或直接反映月球卫星相对月心坐标系的几何状况,必须采用月心赤道坐标系,而不是月心地球赤道坐标系(即前面定义的J2000月心天球坐标系)。那么用(τ,ρ,σ)的分析表达式来建立历元月心平赤道坐标系(O-xyz)与月固坐标系(对应真赤道,O-ξ′η′ζ′)之间的转换关系,显然是有必要的。而若要通过月心平赤道坐标系(O-xyz)与月心天球坐标系(O-x
    
     e
    
    y
    
     e
    
    z
    
     e
    
    )之间的转换关系(即利用高精度的Ω′,i
    
     s
    
    ,Λ值)来计算月球卫星在月固坐标系中的精确位置
     也很简单,有
    也很简单,有
   
 
   
     是通过定轨或预报给出的月心平赤道坐标系中的月球卫星位置矢量。这里变换矩阵(
    
     N
    
    )并不涉及物理天平动的表达形式,转换的精度只取决于月球卫星定轨或预报的精度。
    是通过定轨或预报给出的月心平赤道坐标系中的月球卫星位置矢量。这里变换矩阵(
    
     N
    
    )并不涉及物理天平动的表达形式,转换的精度只取决于月球卫星定轨或预报的精度。
   
对于月球卫星的运动,要构造相应的轨道分析解,可以在历元月心平赤道坐标系中考虑问题。该坐标系的xy坐标面即J 2000.0平赤道面,x轴方向即相应的平春分点方向,由月球轨道升交点的平黄经Ω m 确定。在分析法定轨和数值法定轨及预报中均采用这种统一坐标系,只需要将相应的由物理天平动引起的坐标系附加摄动给出即可,而这种附加摄动并不复杂,作者已经具体给出,见《卫星轨道理论与应用》 [10] 一书的第5章。
    分别记月心赤道坐标系(即历元月心平赤道坐标系,O-xyz)和月固坐标系(对应真赤道,O-ξ′η′ζ′)中月球卫星的坐标矢量为
     ,两者之间的转换关系为
    ,两者之间的转换关系为
   
 
   其中, R z (-Ω m ), R x (-I), R z (-σ), R x (I+ρ), R z (-(φ+τ-σ))是正交矩阵。
    由于目前对月球探测器的测控都是由地面测控站来完成的,这就涉及历元地心天球坐标系,同时出现了历元月心天球坐标系和历元月心赤道坐标系。它们之间的转换,会涉及月球的地心坐标。这同样可由两种途径获得:一种是高精度的数值历表(如JPL的DE系列历表),另一种即精度较低的分析历表。在J2000.0地心黄道坐标系中月球的平均轨道根数
     由下式表达,即
    由下式表达,即
   
 
   式中,t和d分别为由标准历元 J2000.0 起算的世纪数和儒略日,定义在前面已介绍过。由于其轨道摄动变化较大,最大的周期项振幅可达2×10 -2 ,故式(1.92)的精度较低。至于在具体定轨工作中,对月球坐标采用高精度的数值历表还是简单的分析历表,这将取决于对定轨精度和计算效率的不同要求。