



本小节将介绍三种常见的无源定位体制,这三种定位体制将作为本书各种Taylor级数迭代定位算法的应用算例出现在后续各章中。
第一种是针对辐射源的无源定位体制,其定位原理示意图如图1.1所示。
图1.1中的目标主动辐射某个频段内的电磁波信号,各个无源被动观测站能够接收到该信号,并对信号进行同步采样,然后再从采样到的数字信号中提取出用于定位的空域、时域、频域和能量域参量,利用这些参量就可以解算出目标的位置信息。值得一提的是,这种定位体制是最为常见的无源定位体制,通常应用于超短波或短波频段。
第二种是针对散射源的无源定位体制,其定位原理示意图如图1.2所示。
图1.1 针对辐射源的无源定位原理示意图
图1.2 针对散射源的无源定位原理示意图
图1.2中的目标采用无线电“静默”的方式(即不主动辐射电磁波信号)以避免被侦察方发现。为了对这样的目标进行定位,可以利用一些民用的非合作机会照射源(如广播信号、电视信号、GPS 信号、移动基站信号等),当目标位于这些机会照射源所覆盖的空间区域中时,它会将机会照射源所辐射的信号散射出去,并被无源被动观测站接收和处理,观测站从散射信号中提取出用于定位的空域、时域和频域参量,基于这些参量就可以解算出目标的位置参数。需要指出的是,从信号处理的角度来说,这种定位体制的处理难度要大于第一种定位体制,这是因为散射信号的功率通常十分微弱(甚至低于接收机的灵敏度),并且还面临着强干扰信号的影响。然而,随着信号处理技术和快速计算技术的不断发展,这种定位体制也已经逐步实用化,一些优良的实装系统已经研制成型,目前主要应用于超短波频段。
第三种是基于通信卫星的无源定位体制,其定位原理示意图如图1.3所示。
图1.3中的地面目标辐射源发射的信号被通信卫星转发至地面接收站,地面接收站能够接收到该信号,并从信号中提取出用于定位的时域、频域和能量域参量,基于这些参量就可以解算出目标的位置参数。需要强调的是,相比于前两种定位体制,这种体制能够实现对更远距离目标的定位,但也受到很多客观条件的制约。例如,它需要不同卫星之间具有共同的覆盖范围,对卫星星历(包括其位置和速度)数据有较准确的了解,同时还要求卫星安装透明转发器等。目前,该类定位体制也得到了广泛应用,尤其是在地面干扰源定位场景中。
图1.3 基于通信卫星的无源定位原理示意图
根据上述讨论可知,无论是哪种定位体制,被动观测站都要从采集信号中提取出用于定位的空域、时域、频域和能量域参量。下面将描述几种常用的定位观测量,并给出相应的代数模型,这些定位观测量也将出现在本书各章的定位算例中。为了便于下文描述,这里不妨将目标位置向量和速度向量分别记为
和
,将第m个观测站的位置向量和速度向量分别记为
和
(对于卫星定位体制而言,它们分别表示卫星的位置向量和速度向量)。
(一)空域观测量
空域中最常使用的观测量主要包括方位角和仰角。假设目标信号到达第m个观测站的方位角和仰角分别记为θ m 和β m ,则根据空间几何关系可得
(二)时域观测量
时域中最常使用的观测量主要包括时差,值得一提的是,对于不同的定位体制而言,时差所刻画的物理含义也有所区分。
对于针对辐射源的无源定位体制而言,时差主要指目标辐射源信号到达不同观测站的时间之差。假设目标辐射源信号到达第n个观测站(辅站)与到达第1个观测站(主站)的时差记为τ n ,则根据几何关系可得
式中,c表示电磁波的传播速度,由于它是先验已知的常量,因此时差又可以转化为距离差,不妨用d n 来表示,则有
对于针对散射源的无源定位体制而言,时差主要指机会照射源信号经由目标散射后到达观测站与机会照射源信号直接到达观测站的时间之差。假设机会照射源的位置向量为w p,0 ,并将第m个观测站获得的时差记为τ m ,则根据几何关系可得
式中,
和c都是先验已知的常量,因此时差又可以转化为距离和(即目标和机会照射源的距离与目标和观测站的距离之和),不妨用d
m
来表示,则有
对于基于通信卫星的无源定位体制而言,时差主要指地面目标辐射源信号经不同卫星转发至地面接收站的时间之差。假设地面接收站的位置向量为r,并将目标辐射源信号经第n颗卫星(邻星)转发至地面接收站与经第1颗卫星(主星)转发至地面接收站的时差记为τ n ,则根据几何关系可得
式中,c是先验已知的常量,因此时差又可转化为距离差(即地面目标辐射源信号经不同卫星转发至地面接收站的距离之差),不妨用d n 来表示,则有
(三)频域观测量
频域中最常使用的观测量主要包括频差,它是由多普勒效应所引起的,对于不同的定位体制而言,频差所刻画的物理含义也有所区分。
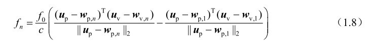
对于针对辐射源的无源定位体制而言,频差主要指目标辐射源信号到达不同观测站的频率之差。假设目标辐射源信号到达第n个观测站(辅站)与到达第1个观测站(主站)的频差记为 f n ,则有
式中,f 0 表示辐射源信号的载波频率,它和c都是先验已知的常量,因此频差又可以转化为距离差(随时间)的变化率,不妨用γ n 来表示,则有
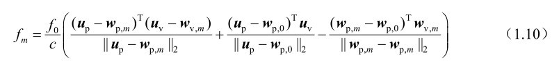
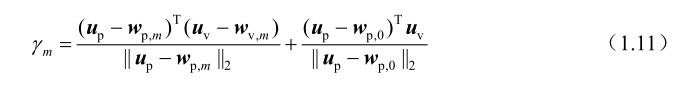
对于针对散射源的无源定位体制而言,频差主要指机会照射源信号经由目标散射后到达观测站与机会照射源信号直接到达观测站的频率之差。假设机会照射源的位置向量为w p,0 (通常是静止的),并将第m个观测站获得的频差记为 f m ,则有
式中,
,f
0
和c都是先验已知的常量,因此频差又可转化为距离和(随时间)的变化率,不妨用γ
m
来表示,则有
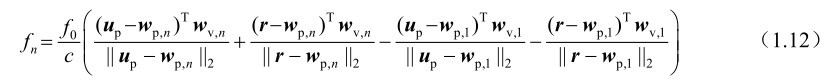
对于基于通信卫星的无源定位体制而言,频差主要指地面目标辐射源信号经不同卫星转发至地面接收站的频率之差。假设地面目标处于静止状态,地面接收站的位置向量为r,并将地面目标辐射源信号经第n颗卫星(邻星)转发至地面接收站与经第1颗卫星(主星)转发至地面接收站的频率之差记为 f n ,则有
式中,f 0 和c都是先验已知的常量,因此频差又可以转化为距离差(随时间)的变化率,不妨用γ n 来表示,则有
(四)能量域观测量
能量域中最常使用的观测量主要包括信号能量增益比,目前主要应用于面向辐射源的无源定位体制中。
根据声学和微波传播理论 [45,46] 可知,目标辐射源信号到达不同观测站的能量损耗因子与信号到达不同观测站的距离k次方成正比,而且常数k的选择与周围环境密切相关。从代数处理的过程来看,k的数值选择对定位算法并无本质影响,因此为了简化复杂度,类似于文献[45]和文献[46]中的处理方法,本书将k的数值设为1,此时信号能量增益比可以等效为目标与不同观测站的距离比。假设目标辐射源信号到达第n个观测站与到达第1个观测站的能量增益比记为ρ n ,则可将其简化表示为
最后需要指出的是,上述各类观测方程都是较为简化的代数模型,其中忽略了一些实际中可能存在的工程因素(如时间同步、大气损耗、本振频偏等)。然而,这些被忽略的工程因素并不会实质性地影响书中对各类Taylor级数迭代定位理论与方法的描述。因此,出于简化问题的考虑,本书中各章的定位算例中均采用上述较为简化的观测模型进行数值实验。