



这里给出一种目标辐射源定位体制下的数值算例—联合辐射源信号 AOA/TDOA/GROA信息的目标定位问题。
假设静止目标辐射源的位置向量为u=[x
t
y
t
z
t
]
T
,现有M 个静止观测站可以接收到该目标辐射源信号并对其进行定位,其中第1个观测站为主站,其余观测站均为辅站,并且第m 个观测站的位置向量为 w
m
=[x
o,m
y
o,m
z
o,m
]
T
,于是全部系统参量可以表示为
。
根据第1章的讨论可知,在目标辐射源定位体制下,TDOA 参数和GROA 参数可以分别等效为距离差和距离比,于是进行目标定位的全部观测方程可以表示为
式中,θ m 和β m 分别表示辐射源信号到达第m个观测站的方位角和仰角,d n 和ρ n 分别表示辐射源信号到达第n个观测站与到达第1个观测站的距离差和距离比。再分别定义如下观测向量:
则用于目标定位的观测向量和观测方程可以表示为
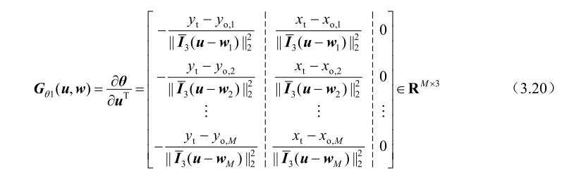
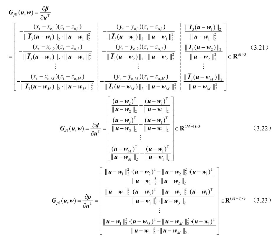
根据前面的讨论可知,为了利用本章给出的Taylor级数迭代算法进行目标定位,需要明确观测方程g(u,w)关于向量u的Jacobi矩阵G 1 (u,w)的代数表达式。根据式(3.16)至式(3.18)可以推得
式中
下一小节将针对具体的数值实验参数给出相应的实验结果。
(一)数值实验1
假设共有6个静止观测站可以接收到目标辐射源信号并对其进行定位,第一个观测站为主站,其余观测站均为辅站,相应的三维位置坐标的数值见表3.1,目标的三维位置坐标设置为(4000m,3800m,2000m),辐射源信号 AOA/TDOA/GROA 参数的观测误差均服从独立的零均值高斯分布。下面的实验将给出迭代公式Taylor-a的目标位置估计性能,并将其与相应的克拉美罗界进行比较。此外,实验中还将给出联合 AOA/TDOA 信息、联合AOA/GROA 信息和联合 TDOA/GROA 信息的定位结果,并将它们与联合 AOA/TDOA/GROA信息的定位结果进行比较,其目的在于验证“联合有效观测量信息越多,目标定位精度越高”这一基本事实。
表3.1 观测站的三维位置坐标数值列表
首先,将TDOA/GROA 参数的观测误差标准差分别固定为σ 距离差 =2(m)和σ 距离比 =0.01,而将AOA 参数的观测误差标准差设置为σ 角度 =0.001×δ 1 (rad),这里将δ 1 称为角度观测量扰动参数(其数值会从1到20发生变化),图3.1给出了迭代公式Taylor-a的目标位置估计均方根误差随着角度观测量扰动参数δ 1 的变化曲线。
然后,将AOA/GROA 参数的观测误差标准差分别固定为σ 角度 =0.003(rad)和σ 距离比 =0.01,而将TDOA参数的观测误差标准差设置为σ 距离差 =0.3×δ 2 (m),这里将δ 2 称为距离差观测量扰动参数(其数值会从1到20发生变化),图3.2给出了迭代公式Taylor-a的目标位置估计均方根误差随着距离差观测量扰动参数δ 2 的变化曲线。
图3.1 目标位置估计均方根误差随着角度观测量扰动参数δ 1 的变化曲线
图3.2 目标位置估计均方根误差随着距离差观测量扰动参数δ 2 的变化曲线
接着,将AOA/TDOA 参数的观测误差标准差分别固定为σ 角度 =0.003(rad)和σ 距离差 =2(m),而将GROA 参数的观测误差标准差设置为σ 距离比 =0.0005×δ 3 ,这里将δ 3 称为距离比观测量扰动参数(其数值会从1到20发生变化),图3.3给出了迭代公式Taylor-a的目标位置估计均方根误差随着距离比观测量扰动参数δ 3 的变化曲线。
从图3.1至图3.3中可以看出:
①迭代公式Taylor-a的目标位置估计误差随着各种观测量扰动参数的增加而增加,并且其估计方差可以达到相应的克拉美罗界(即CRB (a) (u)),从而验证了3.2.2节中理论分析的有效性;
②联合 AOA/TDOA/GROA 信息的目标位置估计误差要小于联合 AOA/TDOA 信息、联合 AOA/GROA 信息和联合 TDOA/GROA 信息的目标位置估计误差,这是因为有效观测量越多,其所能获得的关于目标位置的信息量就越多,从而可以降低目标位置估计误差。
图3.3 目标位置估计均方根误差随着距离比观测量扰动参数δ 3 的变化曲线
(二)数值实验2
数值实验条件基本不变,下面的实验将给出迭代公式Taylor-a的目标位置估计误差与目标和观测站距离这两者之间的关系。将AOA/TDOA/GROA 参数的观测误差标准差分别固定为σ 角度 =0.003(rad)、σ 距离差 =2(m)和σ 距离比 =0.01,而将目标三维位置坐标设置为(2000m,1500m,1000m)+d×200m,其中d称为目标距离参数(其数值会从1到20发生变化),该值越大说明目标距离观测站越远,图3.4给出了迭代公式Taylor-a的目标位置估计均方根误差随着目标距离参数d的变化曲线。
图3.4 目标位置估计均方根误差随着目标距离参数d的变化曲线
从图3.4中可以看出:
①迭代公式Taylor-a的目标位置估计方差仍可以达到相应的克拉美罗界(即CRB (a) (u)),从而再次验证了3.2.2小节中理论分析的有效性;
②联合 AOA/TDOA/GROA 信息的定位误差随着目标距离参数d的增加而增加,即在相同条件下目标距离观测站越远,其定位精度越差。