



在电路中,元器件一一按顺序首尾相接,各元器件通过同一电流,把这种连接关系叫做元器件的串联。串联电路具有分压作用,回路中的电流处处相等,如图1-4所示。
若元器件首-首和尾-尾相接,且在同一电压作用下,则把这种连接关系叫做元器件的并联,如图1-5所示。
图1-4 电阻串联电路
图1-5 电阻并联电路
1.电阻串联的参数计算
电阻R1、R2串联,其总电阻 R 的计算公式为
例1 如图1-4所示, R 1 =10Ω, R 2 =20Ω,求总电阻 R 。
解: R = R 1 + R 2 =10+20=30(Ω)
2.电阻并联的参数计算
电阻R1、R2并联,其总电阻 R 的计算公式为
每条支路上的电流计算:
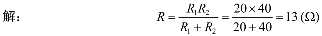
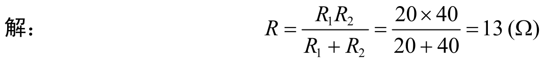
例2 如图1-5所示, R 1 =20Ω, R 2 =40Ω,求并联后的总电阻 R 。
并联电路的特点:并联电路具有分流作用,每条支路上电压处处相等。
3.混联电路的计算
可按元器件布局或先串(并)后并(串)的方法进行计算。
电容串/并联的连接形式和电阻串/并联的连接形式是一样的,只是计算公式不一样。 1.电容并联的参数计算
如图1-6所示,电容C1、C2并联时,其总电容 C 为
例3 如图1-6所示, C 1 =51μF, C 2 =47μF,求并联后的总电容 C 。
2.电容的串联
如图1-7所示,电容C1、C2串联时,其总电容 C 为
例4 如图1-7所示, C 1 =2μF, C 2 =3μF,求串联后的总电容 C 。
图1-6 电容并联电路
图1-7 电容串联电路