



直流电路的电压和电流的大小和方向不随时间的变化而变化。
1.电压
河水之所以能够流动,是因为有水位差。水总是从高水位流向低水位。电荷之所以能够流动,是因为有电位差。电路中,任意两点间的电位差,均被称为两点间的电压。电压是形成电流的主要条件。在电路中,电压常用 U 表示,单位是伏(V),大的计量单位可用千伏(kV)表示,小的计量单位常用毫伏(mV)或微伏(μV)表示。它们之间的关系为
我国规定的标准电压等级很多,如直流安全电压为12V、24V、36V,工业用电直流为110V、220V等,民用市电电压为交流220V,工业动力用电为交流380V,高压配电电压为6kV、10kV,高压输电电压为110kV,远距离超高压输电电压为330kV和500kV。
电压可以用电压表测量。测量时,把电压表并联在电路上,要选择电压表指针接近满偏转的量程。如果电路中的电压大小估计不出来,要先用大的量程,粗略测量后再用合适的量程,这样可以防止由于电压过大而损坏电压表。
2.电位
放在电场里某点电荷的位能与它的电量之比就是该点的电位,如用 U 表示电位, A 表示电荷 q 的位能,则
式中, U 的单位为V, A 的单位为J, q 的单位为C。
在指明电路中某点电位时,必须首先确定参考点,设其电位为零,则电路中某点的电位在数值上就等于该点到参考点的电压。因此,电位的数值与参考点的选择有关。凡求电位的参考点都用接地符号(┻)表示。这样的选择方便计算,无须计算者自由选定参考点。
3.电源
把其他形式的能转换成电能的装置叫做电源。例如,发电机能把机械能转换成电能,干电池能把化学能转换成电能。干电池、发电机等都叫做电源。
通过整流电路把交流电变成直流电的装置叫做整流电源。能提供信号的电子设备叫做信号源。晶体三极管能把前面来的信号加以放大,又把放大了的信号传送到后面的电路中去,晶体三极管对后面的电路来说也可以看成是信号源。整流电源、信号源有时也叫做电源。
4.电动势
电动势是反映电源把其他形式的能转换成电能能力的物理量,电动势使电源两端产生电压。在电路中,电动势常用 E 来表示,单位是伏(V)。
5.电位差
电位差就是两点之间的电位之差。如 a、b 两点的电位分别为 10V 和 5V,则两点之间的电位差为 U ab =10V-5V=5V;反之, U ba =5V-10V=-5V。
6.电流
电荷的定向移动叫做电流。在电路中,电流常用 I 表示。电流分直流和交流两种。电流的大小和方向不随时间变化的叫做直流,电流的大小和方向随时间变化的叫做交流。电流的单位是安培(A),也常用毫安(mA)或微安(μA)作为单位。它们之间的关系为
直流电流的方向是从电源的正极流到电源的负极。
电流可以用电流表测量。测量时,把电流表串联在电路中,要选择电流表指针接近满偏转的量程。如果电路中的电流大小估计不出来,则要先用大的量程,粗略测量后再用合适的量程。这样可以防止电流过大而损坏电流表。
7.负载
把电能转换成其他形式的能的装置叫做负载。例如,电动机能把电能转换成机械能,电灯泡能把电能转换成热能和光能,扬声器能把电能转换成声能。电动机、电阻、电灯泡、扬声器等都叫做负载。后级的晶体三极管对于前级来说,也可看为负载。
8.电阻
电路中,对电流通过有阻碍作用并且造成能量消耗的元件叫电阻。电阻常用 R 表示,单位是欧(Ω),也常用千欧(kΩ)或兆欧(MΩ)作为单位。它们之间的关系为
导体的电阻由导体的材料、横截面积、长度和温度决定。一般导线的电阻可由以下公式求得,即
式中, L 为导线的长度(m); S 为导线的横截面积(mm 2 ); ρ 为导线的电阻率(Ω·mm 2 /m)。
电阻率 ρ 是电工计算中的一个重要物理常数。不同材料物体的电阻率各不相同。它的数值相当于用这种材料制成长1m、横截面积为1mm 2 的导线,在温度为+20℃时的电阻值。电阻率直接反映着各种材料导电性能的好坏。材料的电阻率越大,表示它的导电性能越差;电阻率越小,则表示导电性能越好。
电阻可以用万用表欧姆挡测量。测量时,要选择万用表指针偏转量程一半的欧姆挡。如果被测电阻焊接在电路中,则应将其断开一端后进行测量,人体不能与电阻引线接触。
常用金属材料的电阻率见表1-1。
表1-1 常用金属材料的电阻率(20℃)
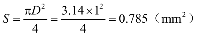
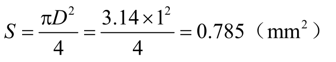
例1 100m长的铜导线,导线直径 D 为1mm,求它在20℃时的电阻 R 。
解: 首先计算导线的横截面积为
查表1-1得铜导线的电阻率 ρ =0.0175Ω·mm 2 /m,则
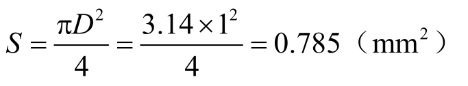
例2 一根直径 D 为1mm的康铜导线,它的电阻 R =11.2Ω,求它的长度 L 。
解: 先求出横截面积 S 为
查表1-1得康铜导线的电阻率 ρ =0.44Ω·mm 2 /m,则
9.电容
电容是衡量导体储存电荷能力的物理量。在两个相互绝缘的导体上加上一定的电压,它们就会储存一定的电量。其中一个导体储存着正电荷,另一个导体储存着大小相等的负电荷。加上的电压越大,储存的电量就越多。储存的电量和加上的电压是成正比的,它们的比值叫做电容。如果电压用 U 表示,电量用 Q 表示,电容用 C 表示,那么
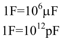
电容的单位是法(F),也常用微法(μF)或皮法(pF)作为单位。它们的关系为
电容可以用电容测试仪测量,也可以用万用表欧姆挡粗略估测。
10.电感
电感是衡量线圈产生电磁感应能力的物理量。给一个线圈通入电流,线圈周围就会产生磁场,线圈就有磁通量通过。通入线圈的电流越大,磁场就越强,通过线圈的磁通量就越大。实验证明,通过线圈的磁通量和通入的电流是成正比的,它们的比值叫做自感系数,也叫做电感。如果通过线圈的磁通量用 Φ 表示,电流用 I 表示,电感用 L 表示,那么
电感的单位是亨(H),也常用毫亨(mH)或微亨(μH)作为单位。它们的关系为
11.电能
当电流流过电路时将发生能量转换。在电源内部,外力不断克服电场力驱使正、负电荷分别向电源两极移动而做功,把其他形式的能转换为电能。通过外电路,电荷不断地被送到负载,把电能转换为其他形式的能。
负载消耗的电能等于端电压与电荷的乘积,电荷又等于电流与时间的乘积,即
式中, A 为电能,单位为J; U 为端电压,单位为V; Q 为电荷,单位为C。
12.电功
电流做功等于电路消耗的电能,而电路里消耗的电能又等于使电荷在电路里移动所做的功。计算电功的公式为
13.电功率
在单位时间内电路产生或消耗的电能被称为电功率,简称功率,用 P 表示,单位为W。
式中, P 为电功率(W,1W=1J/s); t 为时间(s)。
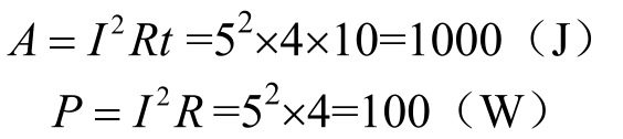
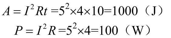
例3 5A的电流通过4Ω的电阻,经过10s后,计算电流在这段时间内所做的功 A 和功率 P 。
解:
例4 有一8W、400Ω的线绕电阻,求它的额定电流和最大耐压值各是多少?
解:
取50V。
14.导体
能良好传导电流的物体叫做导体。用导体制成的电气材料叫做导电材料。金属是常用的导电材料。除了金属以外,其他如大地、人体、天然水和酸、碱、盐类及它们的溶液都是导体。
金属之所以能够良好地传导电流,是由其原子结构决定的。金属原子最外层的电子与原子核结合得比较松散,因此这部分电子很容易脱离自己的原子核与别的原子核去结合,失去电子的原子又有新的电子来结合,这样一连串的过程就是导电的过程。银的电阻率最小,导电性能最好,但由于其价格昂贵,只在极少数地方,如开关触头等处采用,一般电气设备中应用最广泛的是铜和铝。
还有一些材料虽然能导电,但电阻率较大,人们常常把它作为电阻材料或电热材料应用于某些电器中,如电炉或电烤箱中的电热丝等。
15.绝缘体
不能导电或者导电能力极差的物体叫做绝缘体。常见的绝缘体有木头、石头、橡皮、玻璃、云母及瓷器等。绝缘体的原子结构与导体不同,其电子和原子核结合得很紧密,而且极难分离,将此类物质接上电源时,流过的电流极小(几乎接近零)。可以利用它的绝缘作用把电位不同的带电体隔离开来。
一般来讲,对绝缘体材料的要求是具有极高的绝缘电阻和耐电强度、较好的耐热和防潮性能、较高的机械强度及工艺加工方便等。
空气是我们大家十分熟悉的,它作为一种自然界的天然绝缘材料而被人们广泛地加以利用。纸、矿物油、橡胶和陶瓷都是应用非常广泛的绝缘材料。近年来,由于有机合成工业的兴起,各种各样的绝缘材料不断问世,为新型电气设备的制造提供了良好的条件。
绝缘材料在电和热的长期作用下,特别是在有化学腐蚀的情况下,会逐步老化,降低它原有的电气和机械性能,有时甚至可能完全丧失绝缘性。所以经常检查绝缘性能是电气设备维修中的主要工作之一。绝缘电阻是绝缘材料的主要技术指标。常用兆欧表来测量设备的绝缘电阻。一般低压电气设备的绝缘电阻应大于 0.5MΩ。对于移动电器和在潮湿地方使用的电器,其绝缘电阻还应再大一点。
16.半导体
所谓半导体,顾名思义,就是它的导电能力介于导体和绝缘体之间,如硅、锗、硒及大多数金属氧化物和硫化物都是半导体。
半导体的导电能力在不同条件下有很大的差别,如有些半导体(如钴、锰、镍等的氧化物)对温度的反应特别灵敏,当环境温度增高时,它们的导电能力要增强很多。利用这种特性就做成了各种热敏电阻。又如有些半导体(如镉、铅等的硫化物与硒化物)受到光照时,它们的导电能力变得很强;当无光照时,又变得像绝缘体那样不导电。利用这种特性就做成了各种光敏电阻。
更重要的是,如果在纯净的半导体中掺入微量的某种杂质后,则导电能力就可增加几十万甚至几百万倍。例如,在纯硅中掺入百万分之一的硼后,硅的电阻率就从大约 2×10 3 Ω·m减小到4×10 -3 Ω·m左右。利用这种特性就做成了各种不同用途的半导体器件,如半导体二极管、三极管、场效应晶体管及晶闸管等。
(1)开路状态(断路状态)
当电路的开关断开时,称为开路。其特征是电流为零,电源端的电压值就是电源两端的电动势。检修线路应在开路状态下进行。在这种状态下,电路不工作也不产生热量。
(2)短路状态
当电路中有电压的两点被电阻为零的导体连接时,称为短路。其特征是电流很大。根据电流的热效应,导体所消耗的电能为
若电阻消耗的电能全部转换成热能( Q = I 2 Rt ),则会烧坏绝缘元件,损坏设备。为了防止短路,在电路中接熔丝。有时利用短路电流产生的高温可进行金属焊接等。
(3)额定工作状态
对用电设备一般都规定额定电流。额定电流是指电气设备长时间工作所允许通过的最大电流,用 I N 表示。实际电路小于 I N 时称为轻载;等于 I N 时称为满载,满载就是额定工作状态;大于 I N 时称为过载,过载是不允许的。有些设备不标出额定电流而标出额定电压,即 U N ,标出额定功率 P N 。