购买
下载掌阅APP,畅读海量书库
立即打开
畅读海量书库
扫码下载掌阅APP

1.8 晶体管基本放大电路

晶体管在放大电路中有三种基本的连接方式。

1.8.1 共发射极放大电路

1.基本交流电压放大电路的结构与原理

从基极输入信号,从集电极输出信号,发射极作为输入信号和输出信号的公共端,即为共发射极放大电路。

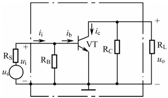
如图1-22(a)所示的电路是由晶体管构成的共发射极接法的基本交流放大电路。放大电路的输入端与信号源相连,输出端接负载R L 。在电子电路中常把公共端接地(用符号┻表示),电路中各点的电位都以它为参考。图1-22(b)为直流通道。

图1-22 共发射极电路图

基本放大电路中各器件的作用如下:

晶体管VT起电流放大作用,当微弱的信号引起晶体管基极电流的微小变化时,通过其电流放大作用,可以使集电极电流有较大的变化。

如果从能量观点来看,输入信号的能量是较小的,而输出的能量是较大的,但这不是说放大电路把输入的能量放大了。能量是守恒的,不能放大,输出的较大能量是来自直流电源 U CC 。也就是能量较小的输入信号通过晶体管的控制作用,去控制电源 U CC 所供给的能量,使输出端可获得一个能量较大的信号。这就是放大作用的实质,而晶体管也可以说是一个控制器件。

直流电源 U CC 为晶体管的发射结提供正向偏压,为集电结提供反向偏压,保证晶体管工作在放大状态。 U CC 还是整个放大电路的能源,放大电路向负载提供的输出功率比信号源给放大电路的功率要大得多。能量不能放大,负载所得到的较大能量是由直流电源 U CC 提供的。

偏置电阻R B 的作用是与 U CC 配合使晶体管有合适的静态基极电流。

集电极负载电阻R C 简称集电极电阻,主要是将集电极电流的变化变换为电压的变化,以实现电压放大。R C 的阻值一般为几千欧到几十千欧。

耦合电容C1、C2的作用是传输交流信号,隔断直流通路。因此要求电容量较大,在信号频率下,容抗应尽可能地小,以便顺利地传输信号。C1、C2的电容量一般为几微法到几十微法。这样大容量的电容器常常选用电解电容器。电解电容器是有极性的,连接时应注意极性。

2.静态分析

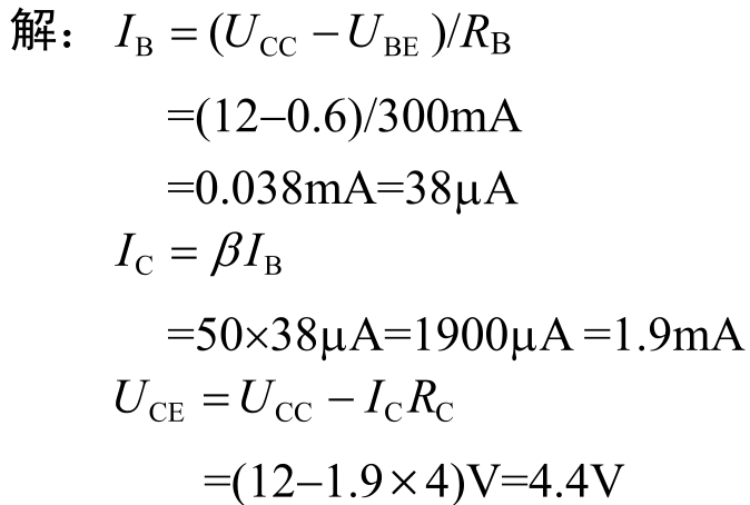
在图1-22(a)中,输入信号 u i =0时的工作状态称为静态。这时在直流电源 U CC 的作用下,晶体管各极间电压和各极电流都是直流量。其值称为静态值。静态分析的任务就是求出 I B I C U CE ,看放大电路是否工作在放大区,是否取得合适的静态工作点。

利用估算法分析静态电路比较方便,只要知道电路中各器件的参数值及晶体管的 β 值即可求出静态值 I B I C U CE 。由图 1-22(b)放大电路的直流通路的输入回路、输出回路,可得

晶体管发射结正向导通后,其正向压降 U BE 的变化范围不大,一般可认为总等于它的导通电压,即硅管为0.6V,锗管为0.2V。

例 1 在如图 1-22 所示的电路中,已知 U CC =12V, R C =4kΩ, R B =300kΩ,电流放大系数 β =50,用估算法求其静态值。

3.动态分析

在放大电路的输入端加上输入信号后,就需要知道经过放大电路后信号被放大了多少倍,以及这个电路对前面的信号源产生了什么影响,对后面的负载又有什么要求?这些量的分析称为放大电路的动态分析。

放大电路的实际输入信号通常都用正弦信号作为输入信号。

在放大电路的输入端加入正弦输入信号后,电路中的各电压和电流都会在原来静态值的基础上叠加一个交流量。为了区分电压、电流中的直流分量、交流分量的瞬时值、有效值和最大值,需要用不同的符号表示,如基极电流分别表示为 I B i b I b I bm ,即电流的直流分量、交流分量的瞬时值、有效值和最大值;同理,集-射极电压表示为 U CE u ce U ce U cem ;依次类推。

图1-23 交流通路

动态分析的任务是求出放大电路的电压放大倍数 A u 、放大电路的输入电阻 r i 和输出电阻 r o 。一般用图解法和估算法(微变等效电路分析法)。由于用估算法对放大电路进行动态分析的前提是输入信号比较小,放大电路一定工作在放大区,输出电流与输入电流成线性关系,所以可以用线性电路的分析方法,估算各电压、电流值。在分析电路之前,首先作出放大电路的交流通路。画交流通路的原则是C1、C2对交流分量可视为短路,直流电源 U CC 的内阻很小,对交流也可视为短路。据此画出放大电路的交流通路如图1-23所示。

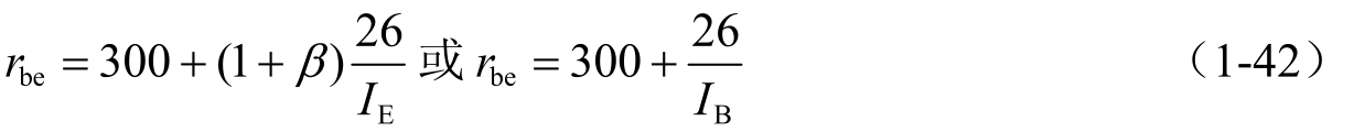
对交流信号来说,从输入端看进去,晶体管的发射结可等效为一个电阻 r be ,称为晶体管的输入电阻。它的值在选定了合适的静态值以后,可以用以下的经验公式进行估算,即

式中, I B I E (单位均为mA)都是静态值。

由式(1-42)可见, r be I B I E β 有密切的关系。如果已知 I B I E I E I C )和 β ,就可以计算出 r be 的值。一般 r be 的值约为几百欧到几千欧。常用的小功率晶体管,当 I E =1~2mA时, r be 约为1kΩ左右。

必须指出的是, r be 是动态电阻,是对变化的信号表现的电阻,所以又称为交流电阻,只能用它对变化的信号进行计算,而绝不能用它来计算直流值。

在实际应用中,常用放大电路的微变等效电路分析,如图1-24所示。根据放大电路的微变等效电路和图1-22中的元器件参数,即可求出放大电路的电压放大倍数 A u 、输入电阻 r i 和输出电阻 r o

图1-24 微变等效电路图

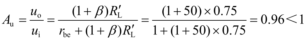
(1)计算电压放大倍数 A u

根据微变等效电路,放大电路的电压放大倍数为

式中,“-”号表示输出电压与输入电压反向;等效负载电阻

代入元器件参数后可得

由于 ,所以接入负载电阻后,电压放大倍数将减小。 R L 越小,放大倍数越小。

(2)计算输入电阻 r i

当信号电压加到放大电路的输入端时,放大电路就是信号源的负载。负载的等效电阻也就是放大电路的输入电阻 r i (也就是从输入端看进去的交流等效电阻),即

从微变等效电路图中可以求得 r i = R B // r be r be

由前边计算可得 r i =1kΩ。

输入电阻的大小会影响放大电路接收信号的能力。如果放大电路的输入电阻较小:一方面将从信号源索取较大的电流,从而增加信号源的负担;另一方面,经过信号源内阻和输入电阻的分压,实际加到放大电路的输入电压就较小。所以,通常希望放大电路有较高的输入电阻。

(3)计算输出电阻 r o

由微变等效电路可见 r o R C =4kΩ。

r o 越大,带负载时的电压降也越大,输出电压降低,也就是放大电路带负载的能力差。因此,希望放大电路有较小的输出电阻,以得到稳定的输出电压。

共发射极电路具有较大的电压放大、电流放大和功率放大倍数,输入电阻小,而输出电阻大,参数相对适中。所以,一般只要对输入电阻、输出电阻和频率响应没有特殊要求的地方均常被采用。因此,共发射极电路被广泛地用做低频电压放大的输入级、中间级和输出级。

1.8.2 共集电极放大电路

共集电极放大电路如图1-25所示。从图中可见,它与前面介绍的电路不同,从基极输入信号,从发射极输出信号,集电极作为输入信号和输出信号的公共端。因为它的输出端是从发射极引出的,所以又称为射极输出器。

1.共集电极电路的特点

(1)共集电极电路输入电阻高、输出电阻低,电压放大倍数小于1。由于具有这些特点,故常被用做多级放大电路的输入级、输出级或作为隔离用的中间级。

图1-25 共集电极放大电路

该电路作为测量放大器的输入级,可以提高测量的精度并减小对被测电路的影响。例如,一个有内阻的待测电压,这个内阻可能预先不知道或者经常发生变化。显然,只要把测量放大器的输入电阻大大提高,保证输入电阻总是比待测电压的内阻大许多倍,那么测得的结果与待测电压基本相等,只有这样,在把测量放大器接到被测电路上以后,才不致改变被测电路原来的工作状态。

其次,如果放大器推动的是一个变化的负载,为了在负载变化时保证放大器的输出电压比较稳定,就要求放大器具有很低的输出电阻才行,这时,可用射极输出器作为放大器的输出级。

(2)共集电极电路虽然没有电压放大作用,但有电流和功率放大作用。

(3)共集电极电路输出电阻小,约为几欧到几十欧,比共发射极放大电路的输出电阻要小得多。输出电阻越小,当负载变化时,输出电压变化就越小,也就是带负载能力越强。

2.共集电极电路的作用

综上所述,由于共集电极电路具有输入电阻大、输出电阻小的特点,在电子电路中得到了广泛的应用。在测量仪表中,常用它来作为输入级,主要是因为它的输入电阻很大,被测电路信号流入的电流很小,对被测电路工作情况影响很小,从而提高了测量的精度。在多级放大电路中,常用它来作为输出级,主要是它的输出电阻小,当负载变化时,输出电压仍很稳定。有时将共集电极电路接在两个共发射极电路的中间。对前级而言,它的高输入电阻可以提高前级的负载电阻,从而提高了前级的电压放大倍数;对后级而言,它的低输出电阻正好与输入电阻小的共发射极放大电路相配合。这就是射极输出器的阻抗变换作用。这个中间级又称为隔离级或缓冲级。

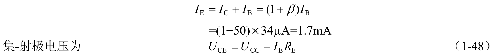
3.参数计算

(1)静态计算

在输入信号为0时,静态工作点的计算公式为

将图1-25中的元器件参数代入式(1-46)后得( β =50)

将图1-25中的元器件参数代入式(1-47)后得

将图1-25中的元器件参数代入式(1-48)后得

(2)动态计算公式

在输入端加上输入信号时的计算公式为

将图1-25中的元器件参数代入式(1-49)后得

式中, r be =300Ω+(1+ β )26/ I E Ω=1080Ω≈1kΩ。

共集电极电路输出与输入同相位,电压放大倍数为正值。

将图1-25中的元器件参数代入式(1-50)后得

式中,

将图1-25中的元器件参数代入式(1-51)后得

1.8.3 共基极放大电路

共基极放大电路如图1-26所示。共基极放大电路的突出特点在于它具有很低的输入电阻,使晶体管结电容的影响不显著,因而频率响应得到很大改善。所以这种接法常常用于宽频带放大器中。另外,由于输出电阻高,共基极电路环可以作为恒流源。

图1-26 共基极放大电路 GyMkmEk3sqOaWmUGLZxFY10lRfFZG69sKYel4E9NK84B9Y2p9G1AnlcnEJS2XgIO

点击中间区域
呼出菜单
上一章
目录
下一章
×