



协调世界时(UTC)是一种修正过的原子时。卫星的状态以及跟踪卫星的观测数据都使用UTC作为输入、输出的时间参数。引入UTC原因是国际原子时(TAI)秒长(或SI秒长)比世界时(UT1)秒长要短,导致这个差别的原因有二。
(1)SI 秒长定义时,与当时的 UT1秒长存在误差,并且随时间累积。1967年,原子时秒长定义为9 192 631 770铯原子跃迁时长,这一秒长相当于1850年前后的平均UT1秒长。如果当初定义数值为9 192 631 997,则目前平均7、8年才有一次闰秒发生。
(2)因为潮汐影响,地球自转速率长期变慢。UTC的秒长和TAI相同,并通过闰秒使得它和UT1保持一致(|UT1−UTC|<0.9s)。
考虑到闰秒不可预测,而且对现代通信和卫星系统造成很大的影响,IAU成立了专门的工作组来研究重新定义UTC的可能性。2012年国际电信联盟(ITU)投票是否取消闰秒,但并没有做出最后的决议,而是将这一问题推迟到2015年继续讨论。中国的意见是保留UTC系统和闰秒。从1972年7月开始,所有闰秒都是正闰秒(即+1s),最近一次发生闰秒是在协调世界时2012年7月1日0时,此时TAI和UT1之差已变为35s。从1999年开始,闰秒大约3年才发生一次,这表明地球自转变慢的趋势在逐渐变缓。
从协调世界时UTC开始,世界时UT1可以写为
其中dUT1是IERS公报中UT1−UTC的近似值。而TT可以通过下面的公式得到
该式中∆AT=TAI−UTC是整数(适用于1972年以后,之前∆AT并非整数),随着闰秒的引入而改变。
地球自转角ERA的表达式为
其中T u =JD UT1 −2451545.0。(2.11)式对地球的岁差—章动模型并不敏感,因此,即使岁差—章动模型有所改进,地球自转角的表达式也不必进行修正。
与地球自转角不同,格林尼治真恒星时GST是从真春分点起量的,它与ERA的关系可以写为
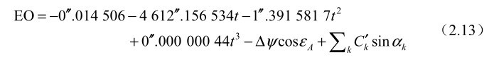
其中EO称为零点差,与岁差—章动在中间赤道上的分量有关。根据IAU 2006/2000A岁差—章动模型,零点差的表达式(包含在1975~2025年之间,所有大于0.5µas的项)为
其中t是从J2000.0起算的儒略世纪数,参数α
k
和振幅
可以从IERS规范2010的表5.2e中得到。(2.13)式中的∆ψ cosε
A
是经典的赤经章动,即二分差;而∑
k
C'
k
sinα
k
为赤经章动的补充项(EECT),主要包含了岁差和章动的交叉项,使得GST达到微角秒的精度。GST中的多项式部分,就是与IAU 2006岁差理论相符的格林尼治平恒星时(GMST)的表达式。
这里“格林尼治”的确切含义应该是指包含地心、天球中间极CIP以及地球中间零点TIO的平面。CIP可以认为是地球自转轴(等价于真天极),其位置由岁差—章动模型决定;而TIO可以认为是在中间赤道上,固定于经度为0度的点。严格地说,TIO的位置与极移有关,而经度λ应该是从TIO起量,然后再利用λ计算当地的真恒星时(LST)和平恒星时(LMST)。
经度λ以角秒为单位,可以表达为
其中的λ G 和φ G 是当地的地理经度和纬度,x p 和y p 是CIP在地球参考系(ITRS)中的坐标,即极移的两个分量。
基于地球自转系统时间尺度的转换关系如图2.2所示。
图2.2 基于地球自转系统时间尺度的转换关系