



3.3.1 各级导线(网)测量宜采用全站仪进行。导线测量的主要技术要求应符合表3.3.1的规定。
表3.3.1 导线测量的主要技术要求
注:1
n
为测站数;
2 当附合导线长度小于规定长度的1/3时,导线全长的绝对闭合差不应大于13cm。
3.3.2 导线(网)的布设应符合下列规定:
1 导线(网)作为首级控制网时,应布设成环形网;作为加密网时,可布设成单一附合导线或多结点导线网;
2 导线宜布设成近似直伸形状,相邻边长之比不宜超过1∶3;当附合导线长度超过规定时,应布设成结点网形;结点与高级点、结点与结点间的导线长度不应超过规定长度的70%;
3 对不存在通视条件的GNSS点、三角点,进行一级、二级导线加密时,不宜采用两起算点之间单线附合形式,可布设结点导线网。
3.3.3 导线(网)点位的选定应符合下列规定:
1 点位应选在稳固可靠,视野开阔,便于安置仪器的地方;
2 相邻点之间应通视良好;视线与障碍物的距离,四等不宜小于1.5m,一级、二级不宜小于0.5m;
3 相邻点之间视线应避开发热体和强电磁场;
4 相邻点之间的视线倾角宜符合表3.3.3的规定;
表3.3.3 相邻点之间的视线倾角
5 应充分利用已有点位,并使所选点位构成图形良好。
3.3.4 导线点应埋石,个别点位可采用刻石、钢钉的方法设置。
3.3.5 水平角观测应采用方向观测法。观测时,当一个测站的方向数不多于3个,可不归零。当测站上方向总数超过6个,可分两组观测,每组不应少于两个共同方向(其中一个为共同零方向),两组共同方向角值之差不应大于本等级测角中误差的2倍。分组观测最后结果,按等权分组观测进行测站平差。
3.3.6 水平角方向观测法的技术要求应符合表3.3.6的规定。
表3.3.6 水平角方向观测法的技术要求
3.3.7 各测回间应配置度盘,并按下列公式计算度盘变换角:
式中: σ ——变换角;
m ——测回数。
3.3.8 水平角观测时,仪器对中误差不应超过2mm,气泡中心位置不应偏离中心1格。
3.3.9 全站仪的补偿器无法正常工作或超出补偿器的补偿范围时,应停止观测。
3.3.10 水平角观测误差超限时,应在原来度盘位置进行重测,并应符合下列规定:
1 一测回内2C互差或同一方向值各测回较差超限时,应重测超限方向,并联测零方向;
2 半测回归零差或零方向的2C互差超限时,应重测该测回;
3 本测回重测方向数超过总方向数的1/3时,该测回应重测。重测测回数超过总测回数1/3时,该测站应重测。
3.3.11 水平角的观测值应取各测回的平均值作为测站成果。
3.3.12 全站仪测距的标称精度应按下式表示:
式中: m D ——测距中误差(mm);
a ——标称精度中的固定误差(mm);
b ——标称精度中的比例误差系数;
D ——测距边长度(km)。
3.3.13 各等级导线使用全站仪测距的技术要求应符合表3.3.13的规定。
表3.3.13 全站仪测距技术要求
注:一级、二级测距可用往、返测各一测回代替往测二测回。
3.3.14 全站仪测距限差应符合表3.3.14的规定。
表3.3.14 全站仪测距限差
注:1 一测回的含义是照准目标一次,读数3次;
2 往返测较差应将斜距归算到同一水平面上方可进行比较;
3 测边时应根据具体情况,可采取不同时间段观测代替往返观测。
3.3.15 测距作业应符合下列规定:
1 测距应在成像清晰和气象条件稳定时进行;
2 测站对中误差和反光镜对中误差不应大于2mm;
3 视线距离地面或障碍物应大于1.3m,当反光镜前后有干扰时,应采取相应措施;
4 视线应避开强电磁场干扰的地方,宜离开高压线5m以外;
5 不宜顺、逆光观测,严禁将仪器照准头对准太阳;
6 测距过程中,视线被遮挡出现粗差时,应重新启动测量;
7 观测值超限时,应重测整测回;观测数据分群时,应分析原因,并采取相应措施重新观测;
8 气象仪器的采用:温度计宜采用通风干湿温度计,气压表宜选用高原型空盒气压计。温度计应悬挂在离开地面和人体1.5m以外阳光不能直射的地方,且读数精确至0.2℃;气压表应平置,指针不应阻滞,且读数精确至50Pa。
3.3.16 测距边的倾斜改正可用两端点水准测量的高差、三角高程测定的高差或采用观测的垂直角进行倾斜改正。
当采用对向三角高程测定高差时,高差 h 的限值不应超过按下式计算的数值:
式中: h ——三角高程测量高差;
S ——测距边边长(m);
T ——测距边要求的相对中误差分母。
垂直角的观测和对向观测高差较差的要求,可按本标准第4.4.5条的规定执行。
3.3.17 独立计算水平距离时,应符合下列规定:
1 测量的斜距,需经气象改正和仪器的加、乘常数改正后才能进行水平距离计算。
2 当求得两点间高差时,水平距离应按下式计算:
式中: D ——观测边的水平距离(m);
S ——经气象、加常数、乘常数改正后的斜距(m);
h ——测距仪与反光镜之间的高差(m)。
3 当观测垂直角时,水平距离应按下式计算:
式中: S ——经气象、加常数、乘常数改正后的斜距(m);
α ——垂直角观测值;
f ——地球曲率与大气折光对垂直角的改正值,不论仰角或俯角, f 恒为正值;
k ——当地的大气折光系数;
R ——地球平均曲率半径(m)。
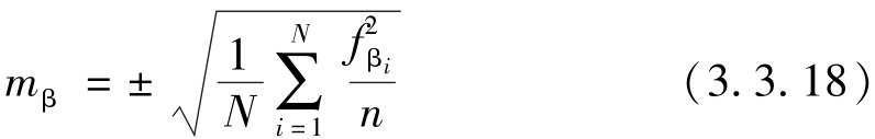
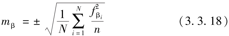
3.3.18 导线(网)水平角观测的测角中误差应按下式计算:
式中: m β ——导线(网)测角中误差(″);
f β i ——附合导线或闭合导线环的方位角闭合差(″);
n ——计算 f β i 时的测站数;
N ——闭合环及附合导线的总数。
3.3.19 测距边的精度评定可按公式(3.3.19-1)、公式(3.3.19-2)、公式(3.3.19-3)计算;当导线(网)中边长相差不大时,可按公式(3.3.19-4)计算导线(网)的平均测距中误差。
1 单位权中误差:
式中: μ ——单位权中误差(mm);
p i ——各边距离测量的先验权;
σ D ——测距的先验中误差,可按测距仪的标称精度计算;
d i ——各边往、返测距离的较差;
n ——测距边数。
2 任一边的实际测距中误差:
式中: m D i ——任一边的实际测距中误差(mm);
p i ——第 i 边距离测量的先验权。
3 网的平均测距中误差:
式中: m D ——平均测距中误差(mm);
d i ——各边往、返测距离的较差;
n ——测距边数。
3.3.20 测距边水平距离的高程归化和投影改化计算应符合下列规定:
1 归算到参考椭球面上的边长应按下式计算:
式中: D 0 ——归化到参考椭球面上的边长(m);
D p ——测距边水平距离(m);
H m ——测距边高出大地水准面的平均高程(m);
h m ——测距边所在地区大地水准面对于参考椭球面的高差(m),可由相应测区高程异常图中查得;
R A ——参考椭球体在测距边方向法截弧的曲率半径(m)。
2 归算到高斯平面的边长应按下式计算:
式中: D g ——归化到高斯平面的边长(m);
y m ——测距边两端点近似横坐标的平均值(m);
Δ y ——测距边两端点近似横坐标的增量(m);
R m ——参考椭球面在测距边中点的平均曲率半径(m)。
3 归算到任意高程面上的边长应按下式计算:
式中: D H ——任意高程面上的测距边长度(m);
D P ——测距边的水平距离(m);
——测距边两端点仪器中心和反光镜中心高出任意高程面的高度平均值(m);
R A ——参考椭球体在测距边方向法截弧的曲率半径(m)。
3.3.21 导线网应采用严密平差的方法。平差时,可按本标准第3.3.18条、第3.3.19条中的方法计算中误差 m β 和 m D i ,也可用数理统计等方法求得的经验公式来估算先验中误差的值,并用以计算角度及边长的权。
3.3.22 当采用简化平差时,精度评定可相应简化。
3.3.23 内业计算及成果的数字取位应符合表3.3.23的规定。
表3.3.23 内业计算及成果的数字取位