



4.3.1 各等级水准网的主要技术要求应符合表4.3.1的规定。
表4.3.1 水准网主要技术要求
注:1 水准网的结点与结点、结点与高级点间的路线长度不应超过表中规定的70%;
2
L
为路线长度(km);
3
n
为测站数。
4.3.2 水准测量各等级的观测限差要求应符合表4.3.2的规定。
表4.3.2 水准测量观测限差要求
注:使用数字水准仪观测、双摆位自动安平水准仪时,不计算基、辅分划读数差。使用数字水准仪只有视线最大长度、前后视距差、前后视距累积差、检测间歇点高差之差等限差要求。
4.3.3 水准测量各等级读数和计算取位应符合表4.3.3的规定。
表4.3.3 水准测量读数和计算取位
4.3.4 水准测量对准仪 i 角的检校应符合下列规定:
1 水准作业开始后的一周内,应每天检校一次 i 角,若 i 角每天保持在10″以内,以后可每隔15d检校一次;
2 用于二等水准测量的仪器的 i 角不得大于15″;
3 用于三等、四等水准测量的仪器的 i 角不得大于20″。
4.3.5 水准尺的米间隔平均真长与名义长之差应符合下列规定:
1 线条式铟瓦标尺不应大于0.15mm;
2 区格式木质标尺不应大于0.5mm;
3 条形码尺不应大于0.1mm。
4.3.6 水准测量的观测方法应符合下列规定:
1 二等水准测量应采用单路线往返观测。同一测段的往返测应分别在上午和下午进行。在日间气温变化不大的阴天和观测条件较好时,部分里程的往返测可同在上午或下午进行,但里程的总站数,不应超过该区段总站数的30%。往测时,奇数站观测顺序为后-前-前-后,偶数站为前-后-后-前。返测时,奇、偶测站和往测时偶、奇测站观测顺序相同。
2 三等水准测量采用中丝法读数进行往返观测;当使用DS 1 类型仪器和铟瓦标尺进行观测时,可采用光学测微法进行单程双转点观测。两种方法每站观测顺序均为后-前-前-后。
3 四等水准测量采用中丝读数法,观测顺序为后-后-前-前。水准路线为附合或闭合环时采用单程测量。水准支线应进行往返观测或单程双转点观测。
4 使用自动安平水准仪的操作程序与一般水准仪相同,但在一个测站上不应两次调焦。
5 使用数字水准仪观测时,首先应设置仪器的基本参数(如高程单位、数位、观测日期、时间等),输入测量限差参数(如视距、视线高、测站高差之差等)。激活记录模式后,应输入测量附加信息和注记。选择测量模式,应输入测线编号和起始点高程值。然后将仪器对准条形码标尺,成像清晰后开始测量。对标尺的测量顺序在二等水准测量时和一般水准仪观测顺序应相同。在三等、四等水准测量时,可选择符合相应等级观测精度要求的一种测量模式。
4.3.7 水准测量的转点尺承可采用尺桩和尺台,用于二等水准测量的尺台重量不应小于5kg。
4.3.8 水准测量成果的重测和取舍应符合下列规定:
1 凡超出本标准第4.3.1条与第4.3.2条规定限差的结果均应重测;
2 本站观测限差超限应重测;迁站后发现时,应从水准点或间歇点开始重测;
3 测段往返测高差不符值超限,应就可靠性小的测程进行整测段重测;当重测的结果与同方向原测结果的不符值未超限,且其中数和反向原测结果亦未超限时,应取中数作为该单程的高差结果;当同向超限时,应取重测结果;当该单程重测后仍超限时,应重测量一单程;当出现同向不超限、但异向超限的分群现象时,应具体分析,采取有效措施(如选择有利的观测时间、缩短视距等)再进行重测,达到符合限差要求;
4 当每千米高差的偶然中误差 M Δ 和每千米高差全中误差 M W 、区段往返测高差不符值、附合路线或环线闭合差超限时,应认真分析,先选择路线上可靠性较小的一些测段进行重测。
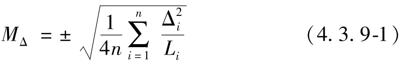
4.3.9 水准测量的内业计算应符合下列规定:
1 平差前每条水准路线若分测段进行计算时,应按往返测高差较差计算每千米水准测量高差的偶然中误差, M Δ 的绝对值不应超过本标准表4.3.1规定的各等级每千米高差全中误差的一半,每千米高差的偶然中误差 M Δ 按下式计算:
式中: M Δ ——每千米高差的偶然中误差(mm);
Δ i ——水准路线测段往返测高差不符值(mm);
L i ——水准测段长度(km);
n ——往返测的水准路线测段数。
2 每条水准路线应按附合路线和环形闭合差计算每千米水准测量高差全中误差,且应按下式计算:
式中: M W ——每千米水准测量高差全中误差(mm);
W i ——闭合差(mm);
L i ——计算各 W 时,相应的路线长度(km);
N ——附合路线或闭合路线的个数。
3 高山地区受地形起伏和重力异常的共同影响,二等、三等水准测量与国家水准点(正常高系统)附合时,除应进行正常位水准面不平行改正外,还应加入重力异常的归算改正。
4 各等级水准网的计算,应采用严密平差。
4.3.10 水准测量使用的计算机记录、计算程序必须经鉴定合格才能使用。
4.3.11 平差计算的输出成果应包括水准网图、起算数据、观测数据和各点高程成果表。平差后的精度评定应包括每千米高差全中误差、最弱点高程中误差。
4.3.12 水准网的复测周期宜5年一次,也可根据油气田开发建设的需要和地面形变的速率大小而定。