



定制产品的开发模式是以客户的需求相似性为基础,形成一定范围内的客户需求群,并针对不同的客户群实施相应的产品设计,以最小的产品变型来快速满足多样化与个性化的客户需求。因此,如何合理有效地对客户需求进行聚类划分是正确定义和规划定制产品的前提与基础。
给定产品对象 P ,客户对该产品的需求特征 r 和 P 关于 r 的量值 v ,以有序三元组 S =( P , r , v )构成的物元定义为客户的需求物元。需求物元是对客户需求的物元描述,用以表达客户需求信息与特征。
通常,先通过市场调查、客户面谈或数据收集等方式得到客户需求初选集,初选集所包含的需求描述存在大量模糊、冗余的信息,甚至各个需求之间可能相互冲突。
假设客户需求初选集为
,其中元素
和
之间在所包含内容上可能存在以下三种关系。
(1)包容关系。如果
包含的内容是
所包含内容的子集,则称
与
是包容关系。
(2)交叉关系。如果
包含的内容与
所包含内容存在交集,则称
与
是交叉关系。
(3)独立关系。如果
包含的内容与
所包含内容无关,则称
与
是独立关系。
因此,为了减少QFD转化过程中的模糊、不明确以及冗余的信息,需要对初选集中的客户需求进行筛选。可通过需求物元的可拓变换,实现对客户需求的整理分析。假设
、
为任意两客户的需求物元,则筛选整理的相关物元变换规则如下。
(1)若
,则客户需求之间存在包容关系,可由删减变换
S
(
I
→(
S
-Δ
S
)),将被包容的需求特征去掉。
(2)若
,则客户需求之间存在交叉关系,可由分解变换
S
(
I
→(
S
1
⊕
S
2
⊕…⊕
S
n
))以及删减变换
S
(
I
→(
S
-Δ
S
))将交集部分去掉,并构建新的客户需求特征。
(3)若
,则客户需求之间为独立关系,不需作物元变换。
经过筛选处理后,得到产品
P
的客户需求特性的待选集
,此时,待选集中的任意需求特性元素
,
可能存在以下四种关系。
(1)不相关关系。如果
的满足或实现不会给
造成任何影响,则称
与
是不相关关系。
(2)正相关关系。如果
的满足或实现有益于
的满足或实现,则称
与
是正相关关系。
(3)负相关关系。如果
的满足或实现将阻碍
的满足或实现,则称
与
是负相关关系。
(4)互斥关系。如果
与
(部分或全部)不能同时被满足或实现,则称
与
是互斥关系。
在前述相关关系的基础上,对待选集中的需求特征进行进一步筛选,适当取舍具有互斥关系的需求特征,根据需要保留具有不相关关系、正相关关系和负相关关系的需求特征,最后得到筛选后的客户需求筛选集 R C ={ r 1 , r 2 ,…, r n },作为所有客户的需求物元特征。由此,可得全体客户CU={CU 1 ,CU 2 ,…,CU t }的需求物元
Γ ( S ) =S 1 ∪ S 2 ∪…∪ S t
式中, S t =( P , r , v t ), r ∈ R C 。
海明距离与欧式距离
在获得多个客户需求物元后,需要分析这些需求物元之间的差异,将其作为客户需求群细分的依据。通过客户需求物元的聚类划分,使得同一细分群体内的客户需求具有较大相似度,不同客户需求群之间的需求具有一定的差异性。为了对客户需求物元进行相似性度量,需要计算各需求物元之间的距离。由于客户需求物元的特征量值直接描述了客户对产品的量化需求,因此,从各特征量值之间的距离入手,分析可计算需求物元距离的计算方法。
通常,需求物元的特征量值有离散型和区间型两种,特征量之间的距离有点到点、点到区间以及区间到区间三种情况,因此,常用的距离计算方法(如海明距离和欧式距离)不适用于物元特征量值间的距离描述。Liem提出了一种可计算两区间距离的计算公式,具体如下。
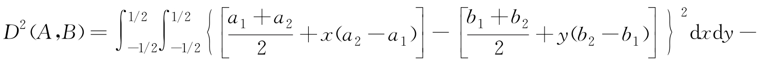
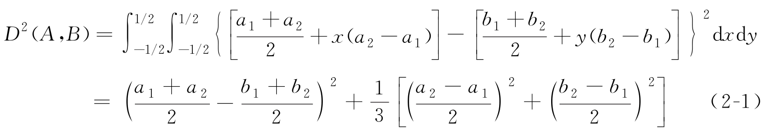
假设两区间分别为 A =[ a 1 , a 2 ], B =[ b 1 , b 2 ],其中, a 1 、 a 2 、 b 1 、 b 2 均为实数,则区间 A 和区间 B 之间的距离 D ( A , B )由下式得出:
度量空间理论规定,对于空间集 X 中的任意两点 p 、 q ,其距离函数 d ( p , q )必须满足以下条件:
(1)如果 p ≠ q ,则 d ( p , q )>0;
(2)如果 p = q ,则 d ( p , q )=0;
(3) d ( p , q )= d ( q , p );
(4)对于任意 h ∈ X , d ( p , q )≤ d ( p , h )+ d ( h , q )。
显然,式(2-1)不满足条件(2),因此,该计算公式不能作为区间型空间的距离度量函数。为此,定义区间型空间的距离函数如下。
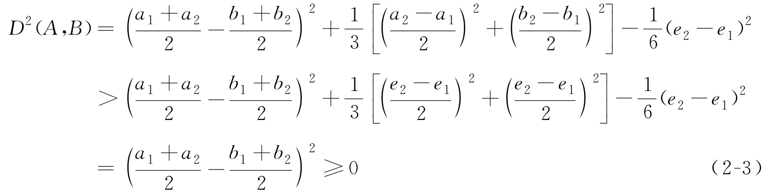
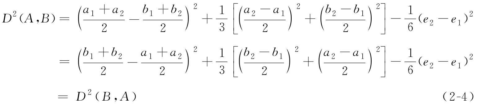
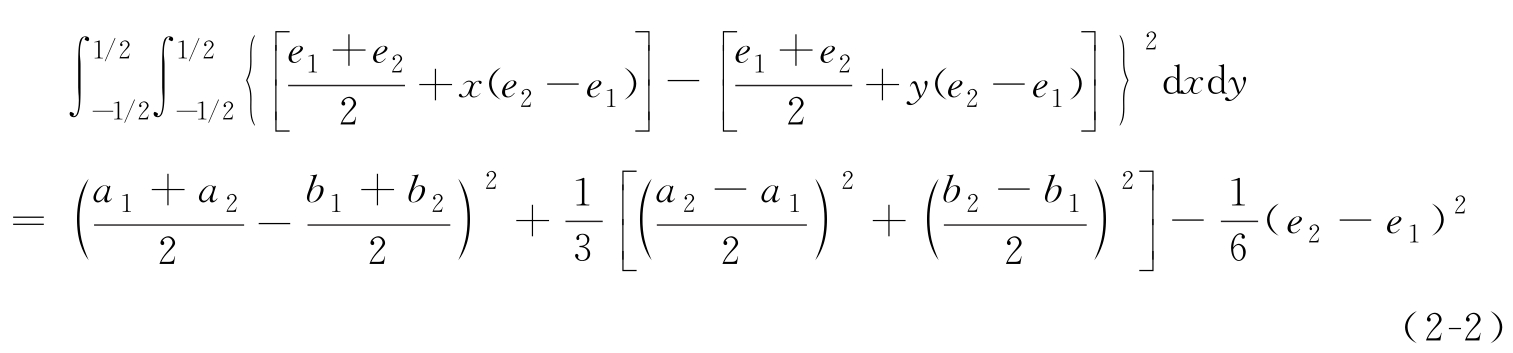
对任意两区间 A =[ a 1 , a 2 ], B =[ b 1 , b 2 ],且 A ∩ B = E =[ e 1 , e 2 ],其中, a 1 、 a 2 、 b 1 、 b 2 、 e 1 、 e 2 均为实数,它们之间的距离 D ( A , B )由下式得出:
规定,若 A ∩ B = E =∅,则 e 2 - e 1 =0。
现证明式(2-1)满足距离函数度量条件。
对于条件(1),因为 E = A ∩ B ,且 A ≠ B ,易得
a 2 -a 1 > e 2 -e 1 , b 2 -b 1 > e 2 -e 1
所以
因此,条件(1)得证。
对于条件(2),因为 A = B ,所以
a 1 =b 1 =e 1 , a 2 =b 2 =e 2
可得
D ( A , B )=0
因此,条件(2)得证。
对于条件(3),因为
所以
D ( A , B ) =D ( B , A )
因此,条件(3)得证。
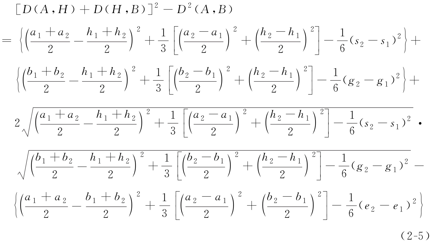
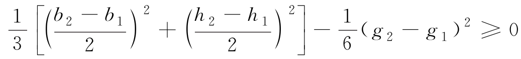
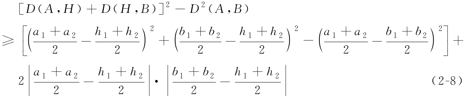
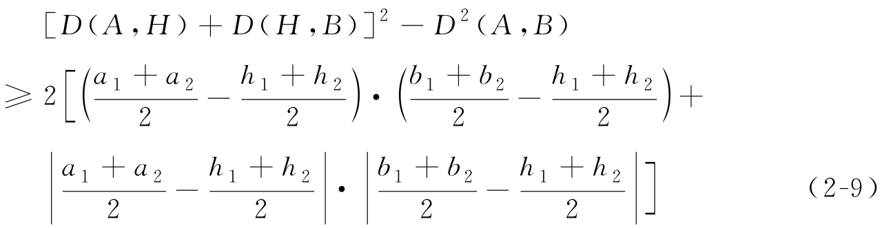
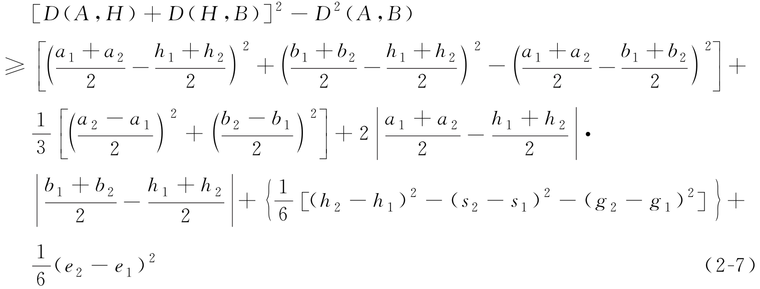
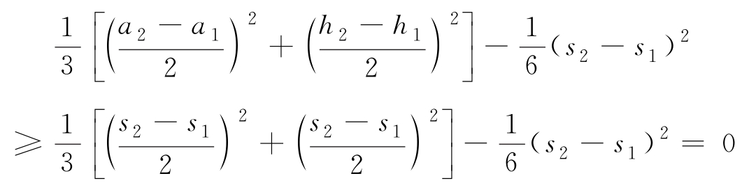
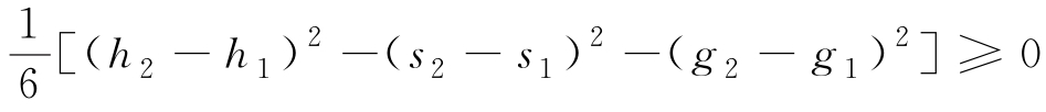
对于条件(4),不妨设空间中的任意一点为 H =[ h 1 , h 2 ], A ∩ H =[ s 1 , s 2 ], B ∩ H =[ g 1 , g 2 ],则
因为 A ∩ H =[ s 1 , s 2 ],所以 a 2 - a 1 ≥ s 2 - s 1 ,且 h 2 - h 1 ≥ s 2 - s 1 ,所以有
同理可得
所以
经化简可得
因为
,
,又因为
h
2
-
h
1
>(
s
2
-
s
1
)+(
g
2
-
g
1
),所以
则有
将上式化简后得
为便于分析,记
不妨设
,则:
若
,可得
,且
,所以有
M
≥0;
若
,可得
,且
,所以有
M
≥0;
若
,可得
,且
,所以有
M
=0。
综上情况,可得 M ≥0,则有
[ D ( A , H ) +D ( H , B )] 2 -D 2 ( A , B )≥2 M ≥0
所以 D ( A , B )≤ D ( A , H )+ D ( H , B )。
因此,条件(4)得证。
以上分析过程证明,式(2-1)满足度量空间的距离定义条件,可作为区间距离的度量公式。
此外,由式(2-1)不难看出,当 a 1 = a 2 = a 且 b 1 = b 2 = b 时, D ( A , B )=| a - b |,此时为两点之间的距离。当 A 或 B 有一个为点值时, D ( A , B )为点与区间的距离。
所有客户集为CU={CU 1 ,CU 2 ,…,CU t },其对应的客户需求物元为 S ={ S 1 , S 2 ,…, S t },需求物元的特征集为同类特征 R C ={ r 1 , r 2 ,…, r n },则客户需求物元的相似度计算步骤具体如下。
步骤1
计算需求特征距离。对任意两需求物元
S
i
、
S
j
,由式(2-1)可得其相同特征
r
k
的特征距离
。
步骤2
规范化特征距离。考虑到不同需求特征量值的量纲和可比性问题,假设所有需求物元关于特征
r
k
的最大特征距离值为
,最小特征距离值为
,则按照计算公式
,对
进行规范化处理,得到规范化的特征距离
。
步骤3
计算需求物元距离。取需求特征
r
k
的权重系数为
μ
k
,且
,则两需求物元
S
i
、
S
j
的物元距离
D
ij
可按如下方法计算:
。
步骤4 计算需求物元相似度。任意两需求物元 S i 、 S j 的物元相似度SI ij 的计算方法为:SI ij =1- D ij 。
双桥法
为了对客户需求群进行细分,采用具有较强灵活性、鲁棒性和自组织性的蚁群聚类算法,以客户需求物元为聚类对象,通过对相似客户需求信息的挖掘,形成客户需求群的最优划分方案。
蚁群算法(ant colony algorithm)是意大利学者Dorigo等于20世纪90年代初期受到自然界中真实蚂蚁觅食行为启发而提出的一种新型仿生优化算法。蚂蚁在觅食过程中,会在所经路径上释放出一种具有挥发性的物质——信息素,以此反映和传递搜索到的路径信息,不同蚂蚁个体通过感知信息素的存在及其强度来指导自己的移动方向。
仿生学家研究表明,蚂蚁更倾向于选择信息素密度较大的路径移动。相对路径越短,则一定时间内经过的蚂蚁数量越多,在该路径释放的信息素密度越大,被后续蚂蚁选择的概率就越高,由此形成一种正反馈机制:较短路径上的信息素浓度越来越大,其他路径上信息素浓度则相对较少,最终整个蚁群在这种自组织作用下搜索出巢穴与食物源间的最短路径。Dorigo的“双桥实验”形象地说明了蚁群发现最短路径的原理和机制。
蚁群算法借鉴了自然界中真实蚁群的觅食行为特点,通过将所研究的问题抽象为节点模型,将人工蚂蚁在节点间的逐步选取过程表征为解的构建过程,不断向部分解添加符合定义的解成分,从而构建出一个完整的可行解,最终在信息素的正反馈作用下逐步收敛到所求问题的最优解。
实际应用中,蚁群算法中的人工蚂蚁被赋予了如下一些性质。
(1)人工蚂蚁是借鉴真实蚂蚁觅食机理而抽象的简单智能体,能够由起始状态(空序列)独立完成可行解的构建过程,彼此之间也可通过介质相互影响。
(2)人工蚂蚁都存在信息存储器以记录当前(历史)解的路径信息及性能状态,用以参与转移概率计算、可行解构建、解决方案质量评估等过程。
(3)为人工蚂蚁引入与拟求解问题空间特征相关的启发式信息,以引导其初始阶段的搜索过程,增加算法的时间有效性。
(4)人工蚂蚁完成一个完整可行解的构建后,根据构建的解决方案更新相关联的信息素指导后续蚂蚁搜索。
具备上述特性的人工蚂蚁作为蚁群算法的基本单元协同实现具有自组织特性的寻优过程,同时也体现了蚁群算法的以下特征。
(1)分布式计算。蚁群算法将全局寻优的问题分配给每只蚂蚁去独立解决处理,然后将所有结果进行综合处理分析,即每个个体独立求解问题,因为蚁群存在大量个体也就意味着有很强的随机性,通过所有个体求得的解来进行对比分析,最终蚁群总会找到一个最优解,并不会因为某个个体死亡或者求得的解太差而影响最终结果。
(2)自组织性。蚁群中的每个个体蚂蚁都随机地搜索路径,并没有来自外部的干扰,通过蚁群走过路径上的信息素来感知路径搜索是否最优,经过一段时间后,蚁群自发地倾向于选择路径上信息素最大的路径,即最短路径。
(3)正反馈。蚁群算法的搜索是围绕着信息素进行的,由于路线距离越短,信息素越多,进而吸引越多的蚂蚁来选择这条路线,蚂蚁越多来这条路线行走,信息素又累积增加,这个过程使得算法处于正反馈状态,最终蚁群会找到最短路线。
基于以上蚁群算法的原理和特征,设计基于物元蚁群聚类算法的客户需求群划分流程如下。
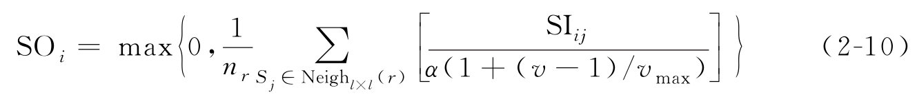
(1)客户需求群相似度。指某一待聚类客户的需求物元 S i 与其所在的一定局部范围内所有其他客户需求物元的平均相似度。客户需求群相似度的计算公式如下:
式中,Neigh l × l ( r )表示位置 r 周围的边长为 l 的正方形邻域;SI ij 为需求物元 S i 与 S j 的物元相似度; n r 为位置 r 周围邻域内包含的需求物元个数; α 为群体相似性参数; v 为蚂蚁的移动速度; v max 为蚂蚁最大移动速度。
(2)概率转换函数。指将客户需求群相似度转化为个体移动待聚类需求物元 S i “拾起”或“放下”物体的概率函数。“拾起”概率 P pick 与“放下”概率 P drop 分别为
式中
其中 λ 为调节参数。 λ 取值越大,曲线饱和越快,算法收敛速度也越快。
(3)平均聚类适度。用于反映所有客户需求物元的聚类程度。其计算公式如下:
随着聚类过程的进行,平均聚类适度也将不断变化,当其值趋于最大值时,聚类程度为最佳。
客户需求物元的蚁群聚类算法具体如下。
步骤1 初始化各参数,包括 α 、 λ 、最大循环次数 T max 、蚁群规模Num ant 、半径 l 等。
步骤2 将所有客户需求物元作为数据对象随机分布在设定的二维网格上。同时,将蚂蚁初始化为空载状态,且随机放置于网格空间中。
步骤3 蚁群在二维空间中移动,并按以下搬运规则进行拾放操作:
如果蚂蚁空载,且在当前位置发现需求物元
S
i
,则按式(2-11)计算“拾起”概率
。判断
是否大于随机数
ρ
(
ρ
∈[0,1]),若是,拾起物元
S
i
;否则,转步骤4。
如果蚂蚁负载
S
i
,且在当前位置为空,则按式(2-12)计算“放下”概率
。判断
是否大于随机数
ρ
(
ρ
∈[0,1]),若是,放下物元
S
i
;否则,转步骤4。
步骤4 随机选择网格空间中未被其他蚂蚁占据的网格作为下一站。
步骤5 判断是否每只蚂蚁已完成操作,若是,转步骤6;否则,转步骤3。
步骤6 令计数器 T = T +1,检查是否达到终止条件(平均聚类适度 ζ 收敛于最优值或达到 T > T max ),若是,转步骤7;否则,转步骤3。
步骤7 输出聚类结果,算法结束。