购买
下载掌阅APP,畅读海量书库
立即打开
畅读海量书库
扫码下载掌阅APP

3.3 NBS-TN-101方法简介

美国国家标准局的NBS-TN-101方法是一种可以预报全球大多数气候条件下的链路长期损耗和年传播可靠度的方法,由于它考虑因素全面,计算结果具有较高可信度,因此一直被美军采用 [2,3]

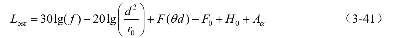
NBS-TN-101的传输损耗中值 L bsr 可按下式预报:

其中各量的物理意义和单位如下:

f ,链路使用频率,MHz;

d ,收发天线平均海拔处的大圆弧线距离,km;

r 0 ,收发天线直线距离,与 d 近似相等,km;

F ( θd ),衰减函数,由电波传播路径的几何和气候参数决定,dB;

θ ,链路角距离,大圆平面内两射线夹角,即链路最小散射角,rad;

F 0 ,散射效率因子,考虑大气层高处散射效率降低而引入的修正量,dB;

H 0 ,频率增益函数,评估地面对电波的反射作用引入的修正量,dB;

A α ,大气吸收衰减,在长距离链路、频率高于1GHz时应考虑,dB。

对于目前对流层散射常用的C频段,如果通信距离不太远(比如250 km以内),散射效率因子 F 0 的影响不大;地面对电波的反射作用 H 0 可以忽略(天线架设经常高于几十个波长);而大气吸收衰减 A α 也在1 dB以内,在频率较高时可根据频率 f 、距离 d 查表而获得。所以式(3-41)中起关键作用的是前3项,后3项的影响适当考虑即可。

3.3.1 地形有关参数的修正

前面计算链路散射角 θ 的过程是严格按照初等几何关系推导的,并未考虑电波在对流层中的逐渐偏折,虽然它的影响并不十分严重,但NBS-TN-101考虑了这个因素并进行修正。由于多数情况下直接计算物理意义直观并精度已足够,所以对这些细节不感兴趣的读者可略过下面内容。

回顾图3-1, α 00 β 00 修正之后为

(3-42)

(3-43)

式中,Δ α 0 、Δ β 0 为修正量。设在图3-1中两站的最高障碍点X、Y处波束方向与该地的地平线夹角分别为 θ ot θ or ,障碍点与散射体之间的大圆距离分别为 d st d sr ,修正量Δ α 0 、Δ β 0 θ ot θ or d st d sr 的函数。

假定地面大气折射指数 N s = 301,首先根据 θ ot θ or d st d sr 查NBS-TN-101图表可得到此时的修正量Δ α 0 (301)和Δ β 0 (301);而后,根据链路实际的 N s 再计算Δ α 0 和Δ β 0

(3-46)

(3-47)

当障碍造成的波束抬高角度不大或者链路距离不太远(200 km以内),可以不考虑Δ α 0 和Δ β 0 ,此时 α 0 = α 00 β 0 = β 00 ,并且散射角 θ = θ 00

3.3.2 衰减函数 F ( θd )

定义链路不对称系数 s

(3-48)

F ( θd )可依 θd N s s 查表获得,也可按公式计算。若 N s =301,链路较为对称( s =0.7~1), F ( θd )计算方法为

(3-49)

任意 N s 下的 F ( θd )可修正为

(3-50)

3.3.3 频率增益函数 H 0

早期的低频段(1 GHz以下)固定站常使用大型广告牌天线,由于电波波长长,天线本身的物理尺寸很大,除非利用天然的高山、悬崖等地形,否则很难将天线举高到几十个波长(请参加第8章的实例),这时需要仔细考量地面对电波的反射作用所带来的损失。对于目前常用的5GHz以上频段,波长较短、天线较小, H 0 的数值可以控制在1dB以下,故可忽略之。

NBS-TN-101计算 H 0 时首先引入了3个参量 η s r 0 r 1 :计算式(3-51)时,散射角 θ 单位为rad,大圆距离 d 单位为km, h 0 的单位为km。计算式(3-52)、式(3-53)时, λ 为波长,单位为m, h et h er 为NBS-TN-101所规定的等效天线高度,单位与波长同为m,故参数 r 0 r 1 是天线高度相对于波长的度量,并且角距离 θ 越大(通信距离越远或天线避开障碍物的仰角越高),天线架高的影响越小( r 0 r 1 越大)。

(3-51)

(3-52)

(3-53)

其中 h 0 为散射体距离两站天线连线的高度,见图3-1,它的简算公式为

(3-54)

h et h er 可按下式计算:

d lt d lr 为发、收两站到最高障碍点的视距大圆距离,注意单位应与等效地球半径 a 同取为m或km。

(1)如果 r 0 r 1 都大于20,损耗 H 0 小于0.5 dB,可以不考虑。

(2)若 η s ≥1,根据 η s r 0 r 1 查表得到两个参数 H ( r 0 )与 H ( r 1 ),此时 H 0

其中的修正项Δ H 0

且有约束:若 s >10, s =10;若 s <0.1, s =0.1;若 q >10, q =10;若 q <0.1, q =0.1;若

(3)若 ,线性内插后得到

(3-59)

3.3.4 散射效率因子 F 0

散射链路的距离越远,散射体的高度越高,大气密度越低,对于长距离链路,NBS-TN-101使用 F 0 来修正由于大气层高处散射效率降低而增加的损耗。 F 0 的计算公式如下,单位为dB:

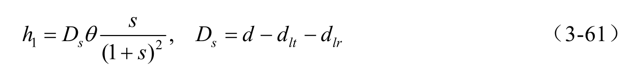
其中, h lt h lr 为发、收两站各自一侧的最高障碍点的海拔高度,参见图3-1; h 0 为散射体距离两站天线连线的高度,见式(3-54); h 1 为散射体距离发、收两侧障碍点连线的高度

d lt d lr 为两站距离各自一侧最高障碍点的大圆距离,见图3-1,它们的单位均取为km。根据对 h 0 h 1 的定义可以看出,只有长距离链路二者才有较大差别,对300 km以内的链路二者往往很接近,故 F 0 L sbr 计算结果影响不大(一般不超过2 dB)。

3.3.5 其他修正

NBS-TN-101还对其他两种情况下的传输损耗进行了修正。第一是使用大口径天线时由于效率降低而造成的介质耦合损耗,NBS-TN-101给出了一套比较复杂的公式对其估算;第二是由于特殊原因故意抬高天线波束时,由于散射角的增大引起的损耗。对 L bsr 修正之后,得到链路传输损耗的长期参考值 L sr ,对这两部分感兴趣的读者可查阅标准原文。

另外对于第一种情况应说明,介质耦合是与散射信号的快衰落特性密切相关的,信号的衰落特性不同对应的电波的播前不一致的严重程度也不同。从应用的角度看,信号相关带宽越窄的时段可能多径越多、时延展宽越大,此时介质耦合损耗可能越大。但是,此时往往是信号中值电平较高,并且频率隐分集比较充分(相应的解调门限较低)的时段,所以笔者建议应对介质耦合损耗慎重研究而不是过分夸大其影响,比如在C频段,口径2.4 m的抛物面天线(增益39 dBi)在任何时段介质耦合都可按1 dB以下考虑;在Ku频段,口径1.2 m的抛物面天线(增益43 dBi)在冬季的实际影响也只有1~2 dB。

3.3.6 传播可靠度预报

对流层散射信号的年传播可靠度是和链路所在地的气候变化密切相关的,NBS-TN-101使用了“无线电气候”的概念,它是CCIR根据气象条件及其对电波传播的影响而对全球区域的划分 [3] 。全球的无线电气候有以下几种,它们的大气折射指数 N s 的年均值和月均值年较差Δ N s 的变化特点如下:

(1)温带大陆性气候, N s 年均值为320左右,我国大部分中、西部地区多属于该气候区,Δ N s 为20~40,纬度越高 N s 年均值越小,大陆内部Δ N s 比沿海大。

(2)温带海洋性气候,典型区域是西欧、英国和美国西海岸, N s 年均值为320左右,Δ N s 比(1)小,为20~30,我国的东部沿海地区也可参考该气候。

(3)海洋温带海洋性气候,它常指前方没有遮挡的跨海的链路, N s 和Δ N s 与(2)类似并且更容易出现海上的大气波导。

(4)陆地亚热带海洋性气候, N s 年均值及其变化均较大, N s 为370左右,Δ N s 可达30~60。

(5)海洋亚热带海洋性气候, N s 年均值与(4)接近,Δ N s 变化略小。

(6)撒撒哈拉沙漠地区, N s 年均值为280,Δ N s 变化相当大,可达20~80。

(7)赤道海洋性气候,由于气候炎热、常年降雨充沛, N s 年均值达360,Δ N s 变化只有0~30。

(8)亚热带大陆性气候,典型的是低纬季风气候区,Δ N s 年均值为320,由于冬季干旱、夏季多雨,Δ N s 变化可达60~100。

散射信号年传播可靠度的预测是建立在对多条链路长年观测的基础之上的,有些地区曾建设的链路很多(如第1、2类气候区的美国和欧洲),因而观测数据丰富,预报可信度较高,而其他区域实测数据少甚至没有建设过散射链路,所以就只能以气候相近的其他链路作为参考,而如何提高预报结果准确性还待研究人员继续努力。下面简述NBS-TN-101计算传播可靠度的流程,详细的公式、图表可参阅标准原文。

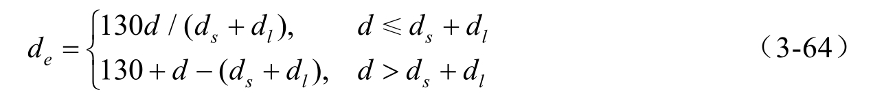
(1)根据天线架高和使用频率计算链路的等效距离 d e 。在等效地球半径 a 为9000 km的光滑球面上,设 θ s 为绕射和前向散射损耗近乎相等时的角距离,那么此时链路大圆距离 d s 等于9000 θ s ,且有

式中, f 单位取MHz。在光滑地球上,两架高天线的最大视距通信距离为

式中,天线等效高度 h et h er 的单位取m, d s d l 的单位为km。研究人员发现,当链路的大圆距离 d d s + d l 略大时传输损耗的小时中值的慢衰落最严重,NBS-TN-101人为规定链路的等效距离 d e

(2)再次考虑气候区的影响,根据链路的等效距离 d e 对传输损耗的长期参考值 L sr 进行修正,修正量为 V n ( d e ),修正后得到传播可靠度为50%时的传输损耗 L n (0.5),即50%的小时中值传输损耗都不高于 L n (0.5),

(3-65)

(3)假设接收信号功率慢衰落服从对数正态分布,那么 L n (0.5)可视为传输损耗的均值,如果根据气候区和链路特征能确定该随机变量的方差,即可求出与链路的长期传播可靠度;但是NBS-TN-101并未给出小时中值传输损耗的方差,而是直接给出了累计分布 Y n ( d e , f , q )的一组曲线,即

(3-66)

Y n ( d e , f , q )是对于等效距离为 d e 、频率为 f 的链路,当传播可靠度为 q 时所估计的传输损耗 L n ( q )与 L n (0.5)的差值。于是,根据链路所使用的频率和气候区,查阅相关图表得到 Y n ( d e , f , q )后即可进行链路长期传输损耗预报。 2HuwEuj/HptlyG/n9SwFWDvAkJaPQxCCv4TXXxNi+okBUl9djrfXaKMoj5em889H

点击中间区域
呼出菜单
上一章
目录
下一章
×