购买
下载掌阅APP,畅读海量书库
立即打开
畅读海量书库
扫码下载掌阅APP

3.1 图上作业简述

3.1.1 地形有关参数计算

在计算长期中值传输损耗之前,需要确定与两站之间地形剖面有关的一些参数,这些参数往往需要图上作业,现在利用类似Google Earth这样的软件可以比较方便地得到地形剖面图。由于地形剖面是所有散射路径传输损耗预测方法的基础,所以必须严格地绘图、计算。如果软件提供的图形过于粗糙,某些关键地段图上显示不清,或者随着城市建设的变迁,地图数据库更新滞后,还应实地考察测绘以保证准确无误后才能进行下一步工作。

1.散射角 θ 计算方法一

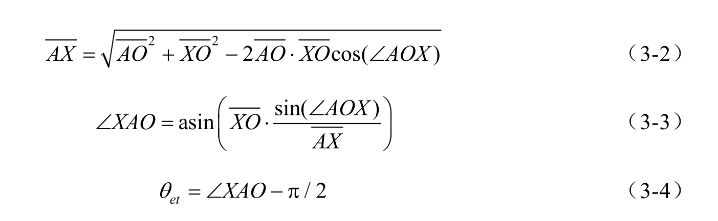
图3-1是与地形有关的参数计算图,为不失一般性,假设A、B两站均有架高,海拔高度分别是 h st h sr ,两站的大圆距离为 d ,其远方分别有障碍(山峰或高大人工建筑)X和Y遮挡,最高障碍物的海拔高度分别为 h lt h lr ,距两站的大圆距离分别为 d lt d lr 。图中下标 s 的含义为scatter或station; l 表示line-of-sight; t 表示transmitter; r 表示receiver。

θ et θ er 分别来表示两站天线波束方向和本地地平线的夹角,在图3-1中二者为负值,表示天线主波束方向俯于地平线之下,这是由于站址地势较高而障碍点“并不太高”。这种情况较少,多数地形剖面 θ et θ er 都是正值。

下面利用基本的三角公式计算 θ et θ er ,考虑站A、障碍点X和地心O组成的三角形AXO,其中的角、边的计算关系为

图3-1 与地形有关的参数计算图

其中, a 是等效地球的半径,与大气折射指数有关(比如取为8580 km);各边的单位与 a 相同,均取km。计算结果单位为rad(弧度),以下如不特殊注明,角度均为rad。地球等效半径与大气折射指数 N s 可用下式关联:

其中, a 0 是地球的实际半径,等于6370 km。

与计算 θ et 类似,在站B、障碍点Y和地心O组成的三角形BYO中可求得 θ er

θ et θ er 的简化计算公式是

其中第一项考虑的是站址和障碍点的地势差,第二项考虑的是地球曲率的影响,在后面的例子中可以看到该结果与用三角公式直接计算所得结果很相近。

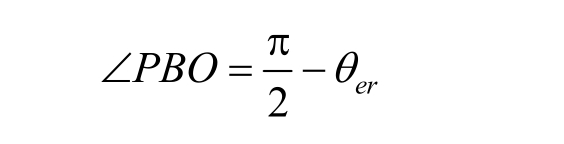
在站A、散射点P、站B和地心O组成的四边形APBO中的各角为

得到散射角(又称链路的角距离) θ 00

2.散射角 θ 计算方法二

在图3-1中, θ 00 还可表示为

α 00 β 00 分别表示两天线主波束方向与两站连线的夹角,使用这个公式的好处是它可将电波在对流层中的逐渐偏折(也就是说路径AP和PB可能不是直线)的影响计入在内,从而通过修正 α 00 β 00 得到更准确的散射角 θ 00

按三角公式可求得三角形AOB的角∠ OAB

由于前面已经求得∠ XAO ,所以 α 00

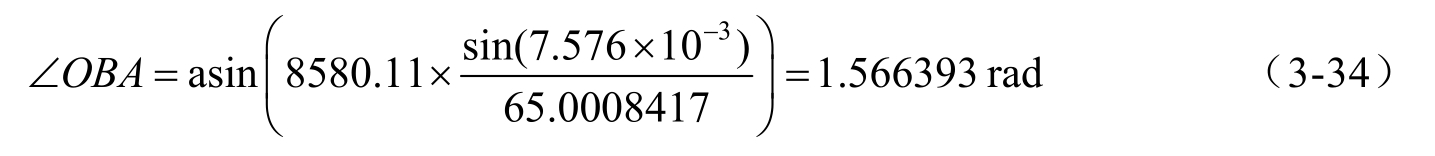
同理,可首先求得三角形AOB的角∠ OBA ,然后再利用∠ YBO 得到 β 00

(3-15)

α 00 β 00 也可用简算公式计算:

与式(3-6)和式(3-7)相似,第一项考虑的是地球曲率的影响,第二项考虑的是障碍点造成的波束抬高,第三项考虑的是两站址的地势差, a 为等效地球半径, d 为两站的大圆距离,单位同取km。

3.1.2 图上作业实例

下面举一个图上作业实例,图3-2是某条链路的地形剖面,A、B两站的海拔高度 h st h sr 分别为110 m和150 m,大圆距离65 km,在距两站7 km和25 km处分别有山峰遮挡,两山的海拔高度 h lt h lr 分别为310 m和450 m。实际图上作业时,由于站址前方可能存在多个障碍点,当它们高度相近时需要逐个计算以确定其中使得波束抬高最大的一个。

图3-2 地形剖面图实例

(1)第一种计算方法

使用式(3-1)~式(3-4)计算由于障碍物遮挡而造成的天线波束仰角比地平线抬高 θ et ,地球等效半径 a 取8580 km:

(3-21)

以及 θ er

(3-22)

(3-25)

按式(3-9)求得散射角 θ 00

如果使用简算公式,则按式(3-6)和式(3-7)求得 θ et θ er

按式(3-9)求得散射角 θ 00 如下,与式(3-26)对比后可见二者略有差异:

(3-29)

(2)第二种计算方法

首先计算 α 00 β 00 ,然后再确定散射角。根据式(3-11)~式(3-14)有

(3-30)

(3-33)

以及

(3-35)

于是 θ 00

(3-36)

若用简算公式,则按式(3-16)和式(3-17)有

相应的 θ 00 如下,这个结果也和式(3-36)相差不大:

(3-39) OF2nb6Y4upm3RzE531OvtxdXvQwTlwDvNvj5S90VkCmy7ToSMjXMXwWZQ27RpaYK

点击中间区域
呼出菜单
上一章
目录
下一章
×