购买
下载掌阅APP,畅读海量书库
立即打开
畅读海量书库
扫码下载掌阅APP

2.7 散射通信的信道模拟仿真技术

首先回顾一下图2-9中的例子,为了测试这条链路24小时之内的接收电平变化,在收、发两端分别使用了2台1 kW的高功率发射机,由2台12 kW的发电机组交替供电。如果频繁地使用类似的设备进行外场试验,无论是资金投入还是人员保障都很不可行。为了鉴定设备的性能,通常也要在实际链路上进行长时间的测试,一旦发现问题,为了复现出现问题时的信道条件只能长时等待,这也会造成人力物力的极大浪费,影响科研周期。另外,如果有几种设计方案备选,外场试验时根本无法保证测试条件完全相同,更不能人为改变衰落速率、时延功率谱等参数,这样就无法快速地对各方案做出孰优孰劣的判断。

为解决这个问题,早年美国的罗姆空间发展中心(RADC)、英国的马可尼通信系统公司(MCSL)、国内的机械电子工业部54所等厂家纷纷研制了专门针对对流层散射信道的模拟器 [7] ,提高了设备的研发速度。

在移动通信发展起来之后,国外的知名仪器厂商如罗德施瓦茨(R&S)、思博伦(Spirent)、安捷伦(Agilent)等相继针对移动通信系统推出了性能完善的信道模拟器。2.6节已经比较了散射信道和移动通信信道的特点,得出了二者之间的相似性,事实上二者的模拟仿真也非常相似,所以这些新型仪器完全可用于散射信道的模拟。

目前的信道模拟器无论是带宽、覆盖频段还是信道模型都在不断进步,特别是将以往的模拟电路数字化之后,模拟信道不稳定的问题完全得到解决。这类仪器的可设置参数通常有:

(1)工作频率和带宽;

(2)信道模型(或时延功率谱),如径数、衰落规律、时延;

(3)多普勒频偏;

(4)多通道工作时的相关系数;

(5)高斯噪声功率或信噪比;

(6)检测输入功率、设置并校准输出功率。

尽管已有仪器可供利用(读者通常也没有自制仪器的需求),但是因散射信号的复杂性,下面还要补充一下其信道模拟的原理,此外下文将导出几个非常重要的公式和结论,几乎所有的散射通信设备(而不仅是测试仪器)都利用了这些原理,这也是理解第5、6两章通信波形设计的重要理论基础。

2.7.1 频率选择性慢衰落信道的抽头延迟线模型

散射信道是一种频率选择性慢衰落信道,这里所谓“慢衰落”是指,存在一个较短的时间间隔信道响应可视为稳定不变,期间接收机已经收到了成千上万的符号从而能对它们按固定的信道响应解调。模拟这种信道的常用方法是抽头延迟线模型。

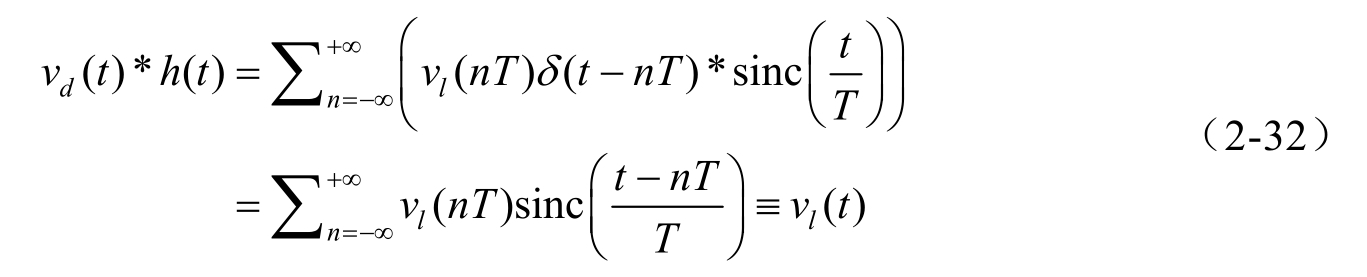
首先回顾一下数字信号处理技术中带限信号的离散采样点内插表达式。假设发射机输出的射频信号为 v ( t ),载波的角频率为 0 ω ,如果 v ( t )带限于带宽 B v ( t )对应的复基带信号为 v l ( t ),那么 v l ( t )带限于 B /2。现在用理想脉冲串 s ( t )对 v l ( t )采样,采样频率“刚好”满足奈奎斯特采样定理,脉冲串的周期为 T ,采样结果为 v d ( t ),那么有下式:

理想脉冲串 s ( t )的傅里叶变换 S (j) ω 还是一个脉冲串,

v l ( t )、 v d ( t )的傅里叶变换分别是 V l (j ω )、 V d (j ω ),那么 V d (j ω )是 V l (j ω )和 S (j ω )的卷积,即

其中*是卷积运算符,即对连续信号脉冲采样后得到的离散信号的频谱是原信号频谱的周期延拓,延拓周期为2π/ T 。那么,如果对信号 v d ( t )使用一个低通滤波器滤除它的周期延拓部分,则可恢复原信号 v l ( t )。设滤波器为理想低通滤波器,它的频率响应 H (j ω )为

低通滤波器的时域表达式为

由于式(2-26)又可写成如下形式

于是低通滤波后的结果,即式(2-30)和式(2-31)的卷积为

式(2-32)说明这种滤波实际上是一种“理想内插”,sinc(( t - nT )/ T )是理想内插函数,这样得到了信号 v l ( t )用“离散采样点内插”描述的一种表达式 [8] ,这个过程如图2-16所示。

图2-16 带限信号的离散采样点内插表示

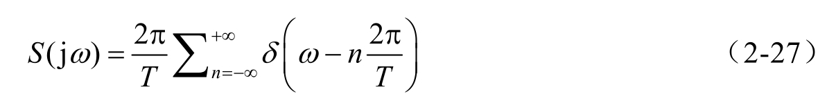
现在计算信号 v l ( t )经过信道后的输出,根据傅里叶变换的时移特性,式(2-32)的傅里叶变换能写成下式:

假设信道在时刻 t 0 开始的一个短时间段内的瞬时频率响应为 C (j ω ; t 0 ),对应的冲激响应为 c ( t ; t 0 ),在这个“基本不变”的时段内信道无噪输出为 y ( t ),那么 y ( t )的傅里叶变换 Y (j ω )为

再次利用傅里叶变换的时移特性得到 y ( t )为

其中的常数 T 只影响信道的恒定增益。由于在 t 0 时刻 c (0 T ; t 0 ), c (1 T ; t 0 ), c (2 T ; t 0 ), …都是常数,因此可将信道表示成系数为 c ( nT ; t 0 )、间隔为 T =1/ B 的抽头延迟线,如图2-17所示。

图2-17 频率选择性慢衰落信道的抽头延迟线模型

信道的抽头延迟线模型是解释第5章将要介绍的“线性调频”波形的理论基础之一,它也很直观地说明了散射高速通信时码间干扰产生的原因。

根据图2-17设计的信道仿真器包括如下几个关键部分:

(1)间隔为 T =1/ B 的宽带延迟线;

(2)符合信道统计特性的抽头系数发生器,生成 c ( nT ; t 0 );

(3)使延迟线抽头输出和系数 c ( nT ; t 0 )相乘的多个乘法器及输出合路器。

2.7.2 散射信道模拟器的原理

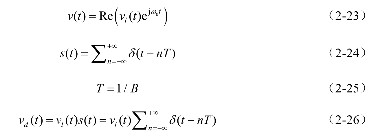
在2.3节已经从通信的角度将散射信号分为典型散射信号、大气波导信号和近似波导信号3类,后2种情形电平高、幅度相对稳定,解调容易,而第一种情形信号损伤严重,是信道模拟器重点模拟对象。

典型散射信号是窄带带限的,当用抽头延迟线模型来模拟时,它的抽头系数幅度应服从Rayleigh分布、相位服从均匀分布,这些抽头形成一个稳定的、衰落不相干的许多路径的连续集。图2-18是散射信道模拟器的原理图。其中,每个抽头由2个噪声源输出同相支路和正交支路的高斯噪声,复高斯过程的幅度服从Rayleigh分布,相位服从均匀分布。图中的变带宽低通滤波器用于控制衰落速率,一般由一组超低频滤波器切换构成。每个插头均有一个衰减器,这些衰减器用于控制各径的输出功率,最终形成符合实际需要的信号时延功率谱。

图2-18 散射信道模拟器原理图

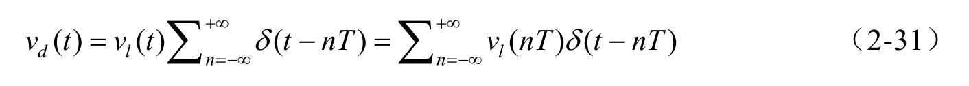
早期的信道模拟器由模拟电路实现,它的缺点是 [9]

(1)抽头延迟线的时间间隔固定,当模拟的信号带宽变化时不易调整,并且模拟延迟线的温度特性不好,影响系统工作稳定性;

(2)90°移相器存在移相误差,如果信号带宽很宽,频率高低两端的移相误差更大,这会造成信号额外的相位失真;

(3)需要多个(组)变带宽滤波器和合路器、衰减器等模拟器件,系统复杂。

随着数字信号处理技术的发展,传统信道模拟器的上述缺点被克服,图2-19是一种数模混合的模拟器的原理图。该图中信号首先被下变频到基带,原来在某个固定频率上所做的延迟、正交移相和模拟分/合路操作都改在基带进行,只要修改频率综合器的输出,就可大范围调整被模拟信号的载频频率。它的工作原理是,模拟的复基带信号经ADC采样数字化后进入抽头延迟线,按照设定的多径数目、时延功率谱形状实现衰落起伏,延迟线的各个抽头的输出由2个加法器合路。合路信号由DAC重新转化为模拟基带信号,最后基带输出被上变频到所需载频上。

图2-19 散射信道模拟器的数字实现

这种数字化的信道模拟器延迟线、噪声源、低通滤波器和衰减器等部件均在单片FPGA中实现,因而仿真模型修改简单、重配快捷,无论是系统的可靠性还是体积重量等指标都得到提高。由于现在一般无自制仿真设备之必要,故对其原理的讨论到此为止。 2HuwEuj/HptlyG/n9SwFWDvAkJaPQxCCv4TXXxNi+okBUl9djrfXaKMoj5em889H

点击中间区域
呼出菜单
上一章
目录
下一章
×