购买
下载掌阅APP,畅读海量书库
立即打开
畅读海量书库
扫码下载掌阅APP

2.4 散射通信的信号衰落特征

衰落是对流层散射信号最典型的特征,按衰落周期的长短可分为快衰落和慢衰落,它们具有不同的统计规律,引起的原因也不相同。快衰落现象源自于大气中的湍流、锐变层以及大气波导等引起的多径传播,表现为信号电平在分、秒或更短时间内的中值起伏变化;而慢衰落是指接收电平在较长时间间隔内的中值波动,它主要由气象条件变化引起,是2.2节介绍的散射电波传播机理的一种经年累月的长期表现。

2.4.1 快衰落

快衰落是散射信号在秒至分钟时间间隔内信号的强度变化,其特性与工作频率、通信距离等因素有关。根据2.2节,各种观点均认为散射体内存在许多随机运动的不均匀体,在电波作用下每个不均匀体相当于一个辐射源,由各个辐射源所散射的电磁能量可认为是互不相关的,从而到达接收点时的信号具有不同的振幅和相位,这些不同相位的信号分量互相干涉,使得接收点场强具有快衰落特性。

1.快衰落统计特性

一般接收机收到的信号属于“典型散射信号”的比例不低于70%,该类信号Rayleigh衰落和广义Rayleigh衰落占绝大多数,深于Rayleigh型的衰落成分比例非常低(一说为12.5%)。因此工程上将快衰落的幅度分布特性近似为Rayleigh分布是可行的。

在Rayleigh分布下,在 t 时刻接收信号的电压有效值 V ( t )的概率密度(PDF)如下,考虑到各态历经性,以下将 t 省略, V ( t )简记为 V

式中, V 的均方根值, 。有些文献使用信号包络的幅度或接收场强来描述,它与 V 的概率是同分布的,但式(2-1)中的 应替换为信号包络幅度或场强的均方根值。

接收信号 V 超过某个门限 V t 的概率由下式确定:

根据式(2-1)和式(2-2)可得信号功率的概率密度和超过某个功率 W t 的累积概率(CDF),令 W = V 2 = 为接收信号的平均功率,代入式(2-2)得到

t

假设有50%的概率(或50%的时间)接收信号功率都高于门限 W t ,即 P ( W W t )=50%,这个门限称为信号的中值 W m

若用信号功率的中值 W m 而不是均值 来表示式(2-3),即为

式(2-3)或式(2-5)常用于分析信道测试时采集的样本是否服从Rayleigh分布,分析过程为:

① 外场实验中,记录一组信号功率值(真值,不以dB表示);

② 计算该组数据的均值 (或中值 W m );

③ 设 W t 是某个信号功率的门限;显然 W t 越低,在全部样本中超出 W t 的数目越多,反之门限越高,能够超过它的样本数目越少;取 W t 等于0.1 ,根据式(2-3),如果样本符合Rayleigh分布,那么超过 W t 的样本数目应该占到全部样本数的90%左右;

④ 再取 W t 为0.2 ,同理大于 W t 的样本数目应该约占全部样本的82%;以此类推,取 W t 为0.3 ,0.4 ,…,1.5 ,对应的样本比例应为74%, 67%, …, 22%。

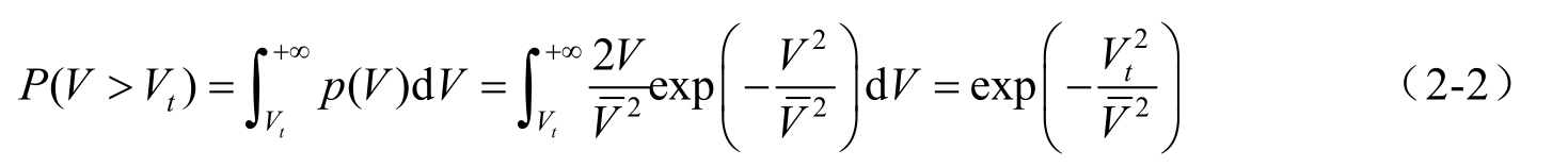
如果上面的统计大致成立,那么即可确认该时段信号的衰落情况确为Rayleigh衰落。下面举一例,某次实验10 s内自动记录100条采样数据如下(信号波形如图2-10所示,注意纵坐标不是对数坐标),采样频率为10 Hz,样点值单位为μW:

图2-10 采样信号波形示例

13、16、17、11、9、3、2、3、7、13、5、4、2、5、13、26、36、42、35、35、31、29、24、19、9、2、3、4、4、2、1、1、3、9、9、11、19、24、24、32、57、75、91、85、67、41、23、11、15、20、22、20、33、27、21、17、16、10、9、6、8、14、18、24、12、7、7、8、10、7、10、23、38、47、40、21、12、8、12、14、12、8、0、3、10、19、21、10、3、0、1、1、4、7、9、14、10、4、1、1。

经统计,平均功率 W 为17.01 μW,取 W t 分别为0.1 ,0.2 ,0.3 ,0.4 和1.5 ,即1.7, 3.4,5.1, 6.8和25.5 μW,大于0.1 ,0.2 , …,1.5 的样本数分别为92, 82, 75, 74和19个,这个比例与上述理论值基本吻合,因此可以确定信号符合Rayleigh衰落。如果取中值电平为均值电平的ln2倍,即 W m 为11.8 μW,再次统计可得大于 W m 的样本数恰为50个。另外,从图2-10中可以看到,Rayleigh型是很严重的衰落,大部分时间(63%)信号电平都在平均功率以下。

实际上本例中10 s的观测时间太短,现在常使用计算机自动记录、统计数据,观察时间应延长到几分钟才可得出准确的结论。

2.描述快衰落的主要参数

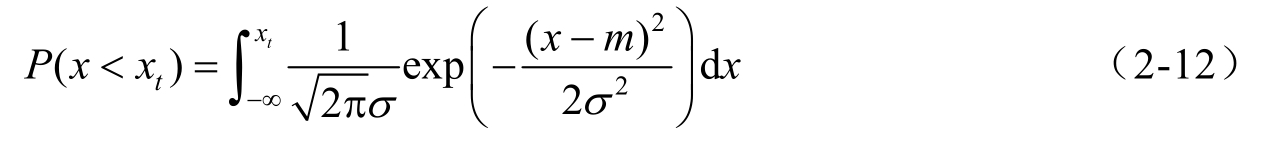
描述快衰落的主要参数有衰落深度、衰落幅度、衰落速率和衰落持续时间等 [2] 。为便于说明,下面先将图2-10中的波形用对数坐标重画,纵坐标单位为dBμW(即10 lg(信号功率/1 μW)),如图2-11所示。

图2-11 采样信号波形示例

在该图中可以找到一个门限 W t 1 ,使得90%时间接收信号功率均超过它,衰落深度 A d 定义为信号中值 W m 减去 W t 1 所得之差,单位为dB。在该图中,还可再划出一个更高些的门限 W t 2 ,使得只有10%时间信号功率超过此值,衰落深度 A a 定义为 W t 2 W t 1 之差,单位同为dB。在Rayleigh衰落情况下,衰落深度 A d 和衰落幅度 A a 分别如式(2-6)和式(2-7)所示,从图2-11中可以看到这个实测波形与理论值很吻合。

单位时间内信号电平以正向(反向也可)通过某个门限电平的次数定义为该门限上的衰落速率 f d 。在图2-11中用小圆圈标记了通过中值电平 W m 的时刻,在10 s内计11次,所以此对应中值电平的衰落速率为1.1 Hz。当然,这个样本集太小,实际应当测试数分钟才可得到更准确的值。

由于不同气候区域的气象条件多变,快衰落速率的变化范围很大。理论分析指出,快衰落速率受对流层介质运动的影响最大,介质运动愈快,快衰落速率愈大,对流层介质的运动取决于平均风速和湍流速度。此外快衰落速率还与散射角和频率成正比,并与天线方向性有关,天线方向性愈窄,快衰落速率愈小。

信号电平低于某一门限的持续时间定义为衰落持续时间,在取样时间内信号电平低于某一电平的总时间除以该电平上的衰落次数定义为该电平上的平均衰落持续时间。

2.4.2 快衰落的时间、空间和频率选择性

快衰落使得对流层散射信号的接收电平不断发生大幅波动,如不采取有效措施予以抑制,瞬时信噪比的降低将导致通信断链或误码性能严重恶化。快衰落具有明显的空间选择性、频率选择性和时间选择性,实际的通信系统正是利用信号衰落的选择特性来实现分集接收以抑制其影响的。

1.空间选择性

快衰落的空间选择性是指当天线安装在不同的位置时,信号的衰落特性不同。测试结果表明,当不同的接收点之间相距在几十个波长以上时,各点接收信号的衰落几乎是不相关的。散射信号的空间选择性,以及下面紧接介绍的频率、时间上的选择性,是关乎设备设计的几个最重要的约束条件,也是散射通信与其他恒参信道无线通信方式的根本区别。本小节先提出它们的基本概念,在第4章再对这些概念展开讨论,并且以工程设计公式进行量化。

2.频率选择性

如果发射机同时发射两个频率且频率间隔大于某一数值,接收机所收到的异频信号的衰落是不相关的,即快衰落具有频率选择性。

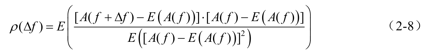
频率相关系数 ρ f )是表征信号频率相关特性的主要参数,两个不同频率的快衰落信号包络之间的相关系数可通过实验测定, ρ f )可依据下式计算 [2] :式中, A ( f )为频率为 f 的信号的瞬时幅度; E (·)为数学期望; E ( A ( f ))为频率为 f 的信号的幅度期望值(均值)。

实际上测试和计算频率相关性是考察各种分集方案的信号相关性的一个特例,其他的如,用2个天线同时接收远端站发射的同一个信号,则应测试天线摆放位置是否使得二者不相关,将信号重发2次,同样要测试时间间隔是否足够大从而保证其不相关,等等 [3] 。计算2个信号副本的衰落相关系数的通用公式为式中, A 1 i A 2 i 是对2路信号的幅度采样值,它们可能来自于不同的空间路径(即空间分集),也可能来自不同于频点(即频率分集)等。对于后者,改变两个频率的间隔Δ f 进行多组测试即可得到频率相关系数 ρ f ),式(2-9)和式(2-8)的意义实际是相同的,只是式(2-9)用多个采样值的平均代替了式(2-8)中的数学期望 E (·)。

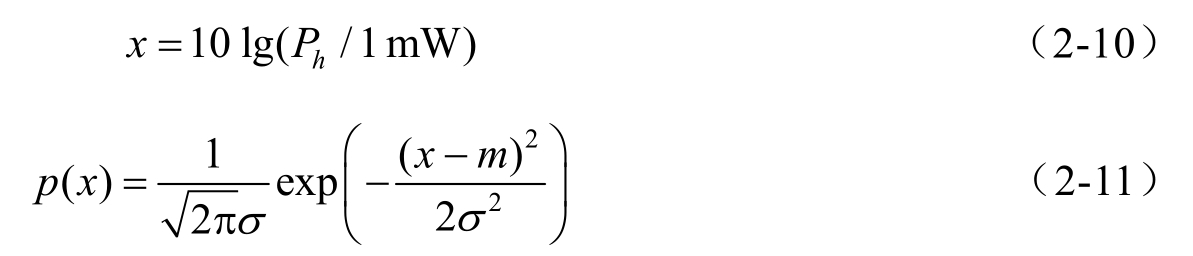
测试信道的频率相关性是一项很重要的工作,下面举一个例子说明测试过程。假设某项目中,设计通信距离为150 km,拟在射频带宽内安排2个载波实现2重频率分集。由于采用了新的频段,现需测试该通信距离上2个载波至少间隔多少兆赫兹才能使得二者基本衰落无关。利用发信设备在频率 f 1 f 2 处发射单频信号(单音双频),频率间隔1.5 MHz,一次实验中10s内自动记录了100条采样数据,2个频率的包络幅度分别如图2-12中的“信号1”和“信号2”所示(注意纵坐标不是信号功率而是幅度,单位mV),采样频率为10 Hz。

图2-12 ρ = 0.67的两个频率的信号包络幅度图

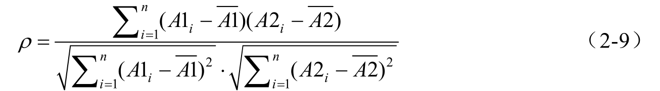
经计算,“信号1”和“信号2”的幅度均值 分别等于11.3mV、11.5mV,代入式(2-9)得到相关系数 ρ 为0.67。显然二者的相关性较强,不足以达到信号“此起彼伏”的目的,故而将 f 1 f 2 拉远至间隔6 MHz。再次测试后的包络波形如图2-13所示,再次计算相关系数 ρ 为0.24,此时二者“同起同落”的概率已很小,故可取得好的分集效果。工程设计上, f 1 f 2 之差应不小于6 MHz。直接从图形中观察也可发现,图2-12中的“信号1”和“信号2”非常相似,即其相关性很强;而图2-13中的“信号1”和“信号2”之间基本无规律,故相关性弱。

图2-13 ρ = 0.24的两个频率的信号包络幅度图

散射体的状态是时变的,间隔一定频率的2个载频的信号包络之间的相关系数也是时变的。例如,频率间隔为Δ f 的带内2路信号在某时 ρ f )为0.5,而另一时刻可能增大为0.8,这会使频率分集性能严重下降。因此,设计师在设计分集方案时不但要关注相关系数的数值,还要关注它的概率分布特性。

最后有2点说明:

(1)测试时间10 s只是为示例中的图形清晰、便于阅读,实际上至少要经历上千个快衰落周期才能有比较准确的统计结果,上面选取了衰落速率很低的1~2 Hz的样本,若无衰落速率数据,测试时长至少5分钟以上为宜;

(2)一次外场实验应有一天24小时的数据,如果要严谨的学术探讨至少应获取一年四季典型时段的多组数据才有意义,一次短时的测试结果不能说明问题,这是由散射信道的多变性决定的。

3.时间选择性

若发射机重复发射同一信号,接收机2次收到的信号副本的衰落特性不同,当副本的时间间隔超过某一数值时它的衰落也渐不相关,此即是快衰落的时间选择性。

2.4.3 慢衰落

慢衰落是指信号电平长时间的中值波动,如小时变化、日变化、月变化、年变化等。要获得几天之内一条地点固定的链路的变化规律容易,但要获得多种气候区、数月甚至几年之内的信道变化规律则需长时间的艰苦的外线测试,这项工作并非易事,但对于散射通信规模应用而言却又是必需的。

1.小时变化

图2-9已给出了华北平原上的一条C频段散射链路信噪比的小时变化情况,该链路在凌晨至日出之后信号最强,正午至午后4点信号最差,这个规律对我国大陆大部分地区都适用。散射信号的小时变化的幅度与距离有关,距离越远变化幅度越小,具体数值还与链路所处的气候区、月份和距离等因素有关。一般来讲,夏季信号电平的逐小时变化比冬季更剧烈,在气象条件急剧变化时,2个小时之间的电平变化有时可超过10 dB。

作为对比,图2-14是我国南海地区的另一条200 km的链路的小时变化,图中的2条曲线是连续两天的数据。可以看出该链路与前者有很大不同,它全天接收电平比较稳定,昼夜波动只有几个dB,并没有我国大陆和东南沿海近海常常观察到的高达20 dB以上的昼夜变化,其中一条曲线在上午6~8时电平较高是由于该时段有降雨。

图2-14 南海某链路信号电平日变化示例

该链路工作于C频段,对于降雨为16 mm/h的大雨情形,查阅无线通信相关书籍中的降雨损耗曲线可以得到此时的雨衰经验值为0.05 dB/km,如果链路的一半距离在雨区,那么总雨衰为5 dB左右。然而,链路上电平没有降低反而有所升高,这是散射通信特有的“雨增”现象。当然如果电波的交汇体处恰恰没有降雨而线路其他区段又有暴雨,也可能接收电平略有降低。但从国外文献和笔者经验,至少C频段链路没有Ku、Ka频段卫星通信那样严重的雨衰断链问题。

总之,这两个实例的对比展示了散射信号变化的复杂性,如有条件,工程设计特别是固定站设计还须以实地电测为准。

2.日变化

多数情况散射信号电平的日变化并无明显规律,这是因为每天的气象条件不同,一月之中何日出现的阴、晴、雨、雪等天气现象并不确定,当然,若用较多月份的测试数据,平均结果可能趋为平缓。

3.月变化

与日变化并无明显规律形成强烈对比的是,散射信号的月变化规律十分显著。在我国内陆和东南沿海(温带和亚热带大陆性气候区),夏季信号电平最高、冬季最低,最好的月份为6~8月,最差的月份在12月至次年2月。对目前使用最多的C频段,200 km链路年波动在20 dB以上,距离越远波动越小。在计算年传播可靠度时,以95%为例,一年之中通信质量最差(或可能发生中断)的18天常常发生在最冷的1月。

4.年变化

可以想象散射信号电平的年中值也有所不同,但由于其测试周期长,除早年低频段有一些资料,现在全国、全球范围内的可信数据缺乏。

总之,慢衰落是散射信道的另一种重要的基本属性。气候是现阶段人类无法左右的,链路的慢衰落特性一年四季、四季各时也是随之变化的。慢衰落引起散射路径传输损耗的不确定性,如何对其准确、便捷的预报以及探索有效的应对措施是工程技术人员必须解决的课题,详情请参见第3章。

下面介绍散射信号电平慢衰落(也就是链路的路径传输损耗)的概率分布。以小时中值变化为例(其他更长时段的中值与之类似),试验表明信号的功率(或场强)的小时中值 hP 服从对数正态分布。设 x h P 的dBm数, x 的概率密度函数 p ( x )的表达式如下:

x 的累积概率(CDF)为

式中, m 为很长时间(例如几天或一月内)用dBm表示的电平中值(或均值,正态分布的均值和中值相同),即 x 的期望; σ 为该段时间内用dBm表示的电平中值的标准差。 2HuwEuj/HptlyG/n9SwFWDvAkJaPQxCCv4TXXxNi+okBUl9djrfXaKMoj5em889H

点击中间区域
呼出菜单
上一章
目录
下一章
×