



2.3 传感器的基本特性 |
|
在工程应用中,任何测量装置性能的优劣总要以一系列的指标参数衡量,通过这些参可以方便地知道其性能。这些指标又称为特性指标。传感器的特性主要是指输出与输入间的关系,它通常根据输入量(传感器所测量的量)的性质来决定采用何种指标体系来述其性能。
当被测量(输入量)为常量或变化极慢时,一般采用静态指标体系,其输入与输出的关系为静态特性;当被测量(输入量)随时间较快变化时,则采用动态指标体系,其输入与输出的关系为动态特性。
线性度指输出量与输入量之间的实际关系曲线偏离直线的程度,又称非线性误差。可用式表示:
(2-6)
式中,
——输出量与输入量实际曲线与拟合直线之间的最大偏差;
——输出满量程值。
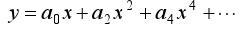
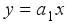
。传感器的静态模型有三种特殊形式(见图2-7)
(1)理想的线性特性[见图2-7(a)]
(2-7)
(2)仅有偶次非线性项[见图2-7(b)]
(2-8)
(3)仅有奇次非线性项[见图2-7(c)]
(2-9)
图2-7 三种特殊形式的特性曲线
灵敏度是传感器静态特性的一个重要指标。其定义是输出量增量
与引起输出量增量
的相应输入量增量
之比。用
S
表示灵敏度,如式(2-10)所示,它表示单位输入量的变化所引起传感器输出量的变化。很显然,灵敏度S值越大,表示传感器越灵敏,如图2-8所示。
(2-10)
图2-8 灵敏度
对线性传感器,灵敏度就是其静态特性的斜率;非线性传感器灵敏度是一个变量,只能表示传感器在某一工作点的灵敏度。
重复性指输入量按同一方向进行全程多次测试时,所得特性曲线不一致的程度(见2-9)。
(2-11)
迟滞特性表明传感器在正向行程和反向行程期间,输出—输入特性曲线不重合的程度(见。对于同一大小的输入信号
x
,在
x
连续增大的行程中,对应某一输出量y
i
,与在
x
连图2-10)续减小的行程中,对应输出量为
y
d
,
y
i
和
y
d
二者不相等,这种现象称为迟滞现象。在整个测量范围内产生的最大滞环误差用
表示,它与满量程输出值的比值称为最大滞环率:
(2-12)
图2-9 重复性
图2-10 迟滞特性
分辨率指传感器在规定的范围所能检测输入量的最小变化量。阈值是使传感器的输出端生可测变化量的最小被测输入量值,即零点附近的分辨率。
稳定性指在室温条件下,经过相当长的时间间隔,传感器的输出与起始标定时的输出之的差异。
漂移指在外界的干扰下,输出量发生与输入量无关的、不需要的变化。漂移包括零点漂和灵敏度漂移。零点漂移和灵敏度漂移又可分为时间漂移和温度漂移。时间漂移是指在规的条件下,零点或灵敏度随时间的缓慢变化;温度漂移为环境温度变化而引起的零点或灵度漂移。
静态误差指传感器在其全量程内任一点的输出值与其理论输出值的偏离程度。求静态误差时,把全部校准数据与拟合直线上对应值的残差看成是随机分布,求出其标准偏差
,取
或
值即为传感器的静态误差。或用相对误差表示:
(2-13)
也可以由非线性误差、迟滞误差、重复性误差这几个单项误差综合而得,即
(2-14)
如图2-11所示,用一只热电偶测量某一容器的液体温度 T ,若环境温度为 T 0 ,把置于环境温度之中的热电偶立即放入容器中(若T>T 0 )。在动态的输入信号情况下,输出与输入之间的差异即为动态误差。
图2-11 热电偶测温过程