



这里的管理人是指子基金的管理人,毫无疑问,管理人评价是最关键的环节,因为 FOF 的收益取决于子基金的管理人的管理能力。那么,到底哪些才是需要重点考察的指标呢?《世说新语》中有一句话,“小胜靠智,大胜靠德”,这句话不管在投资领域,还是在实体领域,抑或在人生轨迹中,笔者认为都是非常正确的。
选择 FOF 的子基金管理人,最根本的一点是要求大家赚钱的理念是一致的,就是做投资、做资产管理、做策略组合,依靠概率来赚钱,而不是赚炒作、讲故事、吹泡沫的钱。管理客户的资金,基金管理人的价值观和品德与业绩一样重要,甚至比业绩还重要。这就像一幢楼的地基一样,只有在坚实的地基上才能建造出稳固的大楼。做事先做人,这个道理在任何行业、任何人的人生中都是最重要的,没有这个,不要谈其他。
2015年的一波牛市给私募基金大发展创造了一个非常好的环境,但是很多根本没亲自做过投资的人开始发行私募产品募集资金替客户做投资。这很可怕,这些人觉得可以趁机入市,赚了就值了,没赚做不下去了也没什么损失。这种投机的心态本身就反映出管理人的基本价值观有问题,是不负责任的。
私募机构的一个角色是资产管理人,另一个角色是个人创业者。第一个角色相对容易跟踪,但第二个角色才是体现人性根本之所在,其中包含了这家私募核心成员的人品、价值观、宽容度、合作精神、分享精神,正是这些才能造就他形成一个什么样的第一个角色的展示。要看几个核心的合伙人是基于什么走到一起的、创业过程中是怎么磨合的,因为团队的稳固才是出色的业绩产生的基础。在作为一家私募机构的同时也属于创业者,深知其中的各种艰辛和考验人性之处。比如某家擅长量化投资的公司,A合伙人盗用了B合伙人写的模型后把B合伙人赶走;某主动管理型从事宏观对冲的私募,在其交易团队中,从事宏观对冲的核心人员集体离职导致业绩下滑。这种案例在私募基金行业比比皆是。这些都是普通投资人,甚至金融业内的人士都不一定跟踪得到的重要变化。这些变化对业绩有着相对长期、深远的影响,当出现这种现象的时候,绝不是等一等,给他们时间,他们就能改善业绩的。
个人合伙创业和大家原来所在的公募、券商资管等平台有大集团股东背景的时候是完全不同的,现在私募的核心人物大多是其公司的大老板,能在原来公募的平台上做出出色的业绩,未必能够管理好一家公司或一支投研团队。这些都是需要重点考量的内容。另外,一些管理人做私募成名后,管理的资金规模逐步增大,除了考虑他及他的团队投资管理的规模边界、投资方向的边界,更重要的是考察他在个人财富得到巨大增长后是不是仍旧视投资为他最感兴趣的事业,是不是公司就变得程序化、商业化了。有些已成名的基金经理已经慢慢地分心去投资影视公司、互联网公司等,这些不是说一定不好,但要看他的精力在往哪方面转移,这些也对二级市场的产品业绩有巨大的影响。所以,投资跟所有的行业一样,只有发自内心的喜欢,才能够既在艰难的时候坚持度过,又在富贵的时候依然坚持。这些也是投资人无法观测的内在因素。
“管理人的品质、赚钱的根本逻辑”是非常重要的根本,这个基础如果是偏的,那么无论他取得过怎样优秀的业绩,也是无法持续的,或者说这不是私募机构敢要的,因为里面蕴含了巨大的潜在风险,这种风险一旦爆发,对客户而言就是毁灭性的,绝不是市场简单地短期下跌20%那么简单的。在本质价值观、价值理念一致的基础上,再去寻找投资策略、投资研究方法、对选择标的的偏好等不同风格的人进行投资,从而分散风险。
资产管理在本质上是一种信托关系,所谓信托,就是“因为信任,所以托付”。有这样一句话:财产关系是仅次于婚姻关系的重要的人与人的关系种类。既然客户将财产委托给你,你自然应该信守承诺、恪尽职守,这中间最关键的就是“遵守契约”。在一般的基金合同条款中,都有一项“风控条款”,里面严格限定了各种风险管理的规则,如预警线、清盘线、仓位控制、净敞口控制、黑名单等。这些风控条款从根本上保证了基金产品可能的损失范围。管理人应该严格遵守契约条款,哪怕在出现业绩波动,甚至遭遇投资人巨大不信任压力的时候,也应该坚守。
有一位业内的期货私募大佬,曾经连续5年在各类期货比赛中获得优秀的名次。在发行了阳光化产品后,由于市场风格不配合,净值损失了30%左右。也许是因为来自客户的压力过大,或者自己的情绪压力过大,某天他对行情进行分析后,认为PVC有大幅下跌的可能,于是调集了多个账户的资金,重仓做空PVC。不幸的是,市场并未如愿下跌,而呈暴涨之势。他的产品在一天之内被打破清盘线,不但劣后级的投资人损失殆尽,优先级的投资人也遭遇了重大损失。
根据契约中的风控条件,该期货私募大佬重仓做空 PVC 的操作属于违背契约的行为,但无论是该公司的风控总监还是托管机构,都无法制止他的违约行为,最终造成了不可挽回的巨大损失。
投资人购买基金份额的全部依据就是一份基金合同,管理人应该严格遵守基金合同中的各种约定,哪怕是在市场不利、业绩不理想的情况下也不能动摇,这是管理人应该遵守的最基本的道德。如果连最基本的道德都可以违背,那么还有哪个投资人敢将资金委托给你呢?
所以管理人最重要的品质就是:遵守契约!
选择一位私募基金管理人,其实选择的是他的投资管理能力。投资管理能力不仅在于策略的开发和配置,更在于他们对其认为真正好的东西合理坚持的能力和卖出时点的判断能力。很多投资者经常听身边的人夸赞自己说选择了一只好股票,赚了多少多少,可是然后呢?这只股票获利多少你会卖出?卖出之后你投资什么?这样的成功基于什么?这样成功的概率有多大、可复制性有多强?你敢把所有的可投资资产全仓投入吗?这些都是投资管理能力的体现。
在选择了一位子基金管理人后,通常情况下,决定赎回或放弃的最重要的原因是定性的,而不是定量的。这就跟基金经理选择是否重仓买入一只股票一样,事前的深入研究是最好的风控。在投资之前,需要从定量、定性角度对该子基金管理人进行多维度的考察和观测,慎重决策。而在投资之后,只要这个基金管理人的基本面未曾发生重大变化,那么投资人需要给他们时间,即使有短期的回撤,也是需要承受的。当然,频繁的沟通交流和跟踪观察是必不可少的。每个季度投资人需要对所有子基金的业绩进行详细的归因分析,分解它的业绩贡献是由哪些因子组成的、投资动作是否存在变形等。投资人需要看重的是基本面是否发生重大变化,包括投研团队是否有重大变动、核心投资人员的稳定性、投资理念的一致性、管理规模是否超出能力边界等。
统计数据能告诉投资人这位基金经理过去是什么样的、他管理的基金呈现出什么特征,但是不能告诉投资人这样的业绩是由什么组成的、是偶然还是必然、未来是不是可持续、他真正的投资风格是什么、这位基金经理是真的擅长这种风格还是凑巧。
通过数据,还需要细致分析业绩背后的组成。投资人需要进一步细化分析收益率的来源,分阶段获取数据进行交叉重叠分析。例如,某基金经理在过去6~7年这个管理周期内,中间有一轮巨大的牛市,虽然总收益率看起来比较惊人,但是如果把牛市阶段除去,就会发现他的年化收益率比之前低了很多。这时候就要判断他在熊市阶段跌了多少比例。比如2008年,市场跌了70%,这个人只跌了20%,结合他的整体业绩,说明他对回撤控制得很好;但是2012年和2013年他的业绩增长幅度很小,说明他的投资风格不属于小盘股的风格。最终投资人需要判断在什么样的市场环境下适合配置这个人的产品,配置他的产品在自己的整个投资组合中需要起到什么样的作用。
关于回撤,也经常会有投资者询问某只子基金的回撤达到多少,FOF基金就会马上赎回。这不能一概而论,量化指标的意义不是机械地根据它做出决策,而是给决策者进行决策提供一个参考。当风控流程是子层短期跌幅过大时,需要马上了解原因,探究大幅下跌的原因究竟是什么,然后才能做出是否调整的判断。笔者曾经配置的一只子基金大比例投资了某家上市公司,之后该公司停牌,停牌期间遭遇了股灾3.0,按照指数收益法对停牌股票进行估值,这个子层产品出现了基金净值短期较大幅度的下滑。深入沟通后了解到,他们对该上市公司有着长期、深入的研究和跟踪,非常有信心在中长期有不俗的表现,笔者最终选择继续持有。到了2016年下半年,该公司业绩爆发,股价也节节攀高。如果仅仅依靠量化指标,则这个时候赎回是非常不明智的,因为后来该公司业绩爆发所带来的大幅增长你将永远享受不到。
一个专注投资的人,其根本理念和原则反复无常是一件非常可怕的事情。只有研究非常深入,他们才能坚持度过其标的持有周期中比较痛苦的阶段。透过数据,投资人需要判断基金经理的投资逻辑是什么、与他的投资行为是否相符、是否真正做到了知行合一。比如,有的基金经理宣称自己是价值投资者,通过精选个股来获取超额收益。但是,通过仔细梳理真实交易数据,投资人会发现该基金经理过于频繁地调整仓位,换手率极高,平均持股时间也比较短。显然,这位基金经理属于“言行不一者”。又如,有些基金在某一年突然发生了风格飘移,仓位控制、行业偏好等都发生了重大变化。虽然变化不一定是坏事,但风格飘移往往意味着风险,投资人需要更多的时间对这位基金经理的新风格进行观察和确认。
在2015年年底股指期货受到限制之后,大量做经典阿尔法策略的对冲基金开始做多策略配置,也开始研发CTA、趋势类策略,但到了2016年年底,这些多策略的对冲基金表现得并不尽如人意。曾经有一位管理了很大规模阿尔法类的对冲基金经理来找笔者交流,说要转型做CTA,笔者当时建议他可以采用配置的方式,将多余的资金委托给专业的 CTA 基金经理去打理。但他没有接受笔者的意见,而是从期货公司招了几位交易经理从事CTA策略的投资,结果在2016年的黑色系行情中做反了方向,一周损失了15%的净值,将原先阿尔法策略一年的收益损失殆尽。当笔者听到这个消息的时候,完全不意外,对于CTA这种风险很大的策略,一些交易多年的CTA基金经理尚且战战兢兢、如履薄冰,一个以前对 CTA 完全不懂的门外汉,随便招几个新人就想在这个风险巨大的领域轻松盈利,怎么可能呢?CTA是一个非常专业的投资领域,合约价值的计算、杠杆的设定、仓单的分析、交割制度的研究等,和股票领域完全是两回事,如果这么轻松就可以盈利,就不符合市场规律了。
其实在实体经济领域,我们也观察到了这种现象,很多成功的企业受不了诱惑,进行多元化发展,其中真正成功的寥寥无几。做投资也是一样的,笔者一直不赞同子基金做多策略,因为多策略配置应该是 FOF 母基金的事情,子基金应该专注于某个细分的策略。比如,在2015年年底股指期货受限后,经典阿尔法策略遭遇瓶颈,但仍然可以研究更多的阿尔法策略,如事件驱动阿尔法、择时阿尔法、风格轮动阿尔法等。从公司层面来看,发展多策略配置,丰富产品线,自然是没有问题的。但是作为FOF 配置的子基金,笔者认为仍应将单策略研究到极致。现在到处都在讲工匠精神,其实在投资领域最需要的也是工匠精神。
“母基金要分散,子基金要专注”,这才是成功的FOF分工策略。
做完管理人的评估,接下来就要做策略的评估,其中最关键的就是分类评估。笔者是专注于套利策略的,但是经常有投资人将笔者的策略和那些做股票的相比。其实不同策略类型的收益风险特征是不一样的,怎么能只用收益率这个唯一指标来衡量呢?
目前对于策略的分类标准也很混乱,不同评级机构的指标体系都不一样。美国证监会将投资策略主要分为相对价值、宏观因素和事件驱动三大类。在2.3节中也将策略根据“收益率、风险度、资金容量”三要素的特点分为三类,恰好对应美国证监会所分的三大类。这就叫作“投资不可能三角”。
传统的策略分析基本上是从收益率和风险两个维度去考虑的,国内的评级机构更多地只看收益率,完全忽略风险因子。笔者认为,一个策略的核心因子有三项:收益率、风险度、资金容量。从这三个因子的组合来看,共有8种类型的策略,如表1.13所示。
表1.13 策略类型
但是,并不是上述8种类型的策略都会存在的,下面详细分析。
几乎每个投资人的理想策略都是收益极高、风险几乎没有、随时可以开放。但是很遗憾,这种策略是不存在的。一旦有这样的策略存在,大量资金一定会涌入该策略,从而造成收益率大幅度降低,或者市场容量大幅度降低,从而转变为低收益/低风险/高容量策略,或者高收益/低风险/低容量策略。
比如,在2015年市场狂热的时候,股指期货相对于指数出现严重升水,带来了超过15%年化收益率的无风险套利机会。当时笔者正在某大型央企任职,于是调集了大量资金来进行这种无风险套利操作。据笔者所知,当时除笔者外,还有数百家机构、基金都在从事这种交易,总资金规模达上千亿元。果然,仅仅过了两个月,这种升水大幅度消失,并且在国家对金融市场加强监管之后,股指期货长期处于贴水状态,大量从事期现套利策略的对冲基金最终只能放弃这种类型的操作。
随着移动互联时代的发展,信息交流越来越畅通,这就使得中国的资本市场有效性大大提高,以前一个很简单、很容易赚钱的策略,很快就会有大量资金涌入,从而迅速将收益率抹平,回归平均收益率。
这不符合人性,因为任何人承担了高风险,追求的都是高收益。如果是高风险/低收益的策略,那么是没有人愿意长期从事该策略交易的,投资者会大量撤出,从而使得该策略的市场收益率变大,也就是该策略会转化为高风险/高收益/高容量策略。从短期来看,可能存在这种情况;但从长期来看,投资者一定会离开这个市场。利润之所以变薄,是因为竞争太激烈。当大量投资者离开之后,还留在市场中的投资者自然就会获得巨大的利润。
在高收益/高风险的情况下,投资者肯定会选择高容量的策略来使自己的绝对收益最大化,所以该策略也会遭到淘汰。由于采用该策略的投资者变少,从而使得该策略的容量变大,最终转化为高收益/高风险/高容量策略。
在低收益/低风险的情况下,投资者肯定会优先选择高容量的策略来使自己的绝对收益最大化,所以该策略也会遭到淘汰。由于采用该策略的投资者变少,从而使得该策略的收益变大,最终转化为高收益/低风险/低容量策略。
从图1.23中可以看出这几种不存在的策略之间的转化过程。
图1.23 不同策略的转化
随着投资者的涌入和撤出,最终留下的长期有效的策略只有三种。
这种策略属于类固定收益率策略,如银行理财、货币基金、债券及各种对冲套利策略。这种策略的代价是牺牲“收益率”,目前国际上主流的对冲基金基本上以追求这种收益为主要特征。在美国证监会的分类中,这种策略叫作“相对价值策略”。
这种策略也是主流基金所采用的策略,即投机型策略,包括一级市场的天使投资/创投/风投和二级市场的各种单边投机策略,他们的高收益来自承担了高风险,这也是传统的资本资产定价模型(CAPM)中所揭示的原理。这种策略的代价是“牺牲风险”。在美国证监会的分类中,这种策略叫作“宏观因素策略”,也就是我们通常所说的“择时策略”。
这种策略主要利用市场的缺陷去盈利,各种制度套利都属于这种类型的策略,如高频交易、困境证券等。这种策略是以“牺牲容量”为代价的,所以这种类型的策略一般很少会发行产品,就算发行了产品,一旦规模扩大也会停止开放。在美国证监会的分类中,这种策略可以统称为“事件驱动策略”。
所以,任何投资策略只能进行“收益、风险、容量”中两项的优化,必须牺牲其中的一项,这就是“投资不可能三角”。我们所有的策略分类和分析都必须基于这个基本的经济学原理进行,否则就没有任何意义。
由此得出结论:高收益率的策略,要么承担较高的风险,要么牺牲资金规模,二者必居其一。这也就解释了为什么在国内的私募圈中,流星很多,恒星几乎看不到。
资产配置是 FOF 的核心功能之一。根据国外的研究,长期以来,理财产品收益的90%来自正确的资产配置,而不是交易。
在现代投资管理体制下,投资一般分为规划、实施和优化管理三个阶段。投资规划即资产配置,它是资产组合管理决策制定步骤中最重要的环节。对资产配置的理解必须建立在机构投资者资产和负债问题的本质、对普通股票和固定收入证券的投资特征等多方面问题的深刻理解基础之上。此外,资产管理还可以利用期货、期权等衍生金融产品来改善资产配置的效果,也可以采用其他策略实现对资产配置的动态调整。不同配置具有自身特有的理论基础、行为特征和支付模式,并适用于不同的市场环境和客户投资需求。
FOF作为资产配置的一种模式,也必须遵循资产配置的主要规律。传统的资产配置是在股票、债券等具体的产品中进行选择和择时的,而 FOF 则是在不同的策略中进行配比的。但是在选择具体的策略之前,首先要考虑的是到底是哪类资产的策略。是股票类资产的策略,还是债券类资产的策略,抑或商品期货类资产的策略?
资产配置是投资过程中的重要环节之一,也是决定投资组合相对业绩的主要因素。据有关研究显示,资产配置对投资组合业绩的贡献率达到90%以上。一方面,在半强势有效市场环境下,投资目标的信息、盈利状况、规模,投资品种的特征及特殊的时间变动因素对投资收益都有影响,因此资产配置可以起到降低风险、提高收益的作用。另一方面,随着投资领域从单一资产扩展到多资产类型、从国内市场扩展到国际市场,其中既包括在国内与国际资产之间的配置,也包括对货币风险的处理等多方面内容,单一资产投资方案难以满足投资需求,资产配置的重要意义与作用逐渐凸显出来,可以帮助投资者降低单一资产的非系统性风险。
从实际的投资需求来看,资产配置的目标在于以资产类别的历史表现与投资者的风险偏好为基础,决定不同资产类别在投资组合中所占的比重,从而降低投资风险,提高投资收益,消除投资者对收益所承担的不必要的额外风险。也就是说,随着资产类别的组合方式日益多样化,在同等风险的情况下,全球投资组合应该能够比严格意义上的国内投资组合带来更高的长期收益,或者在风险水平降低的基础上提供相似的收益。反之,当投资者因为受到对投资项目的限制而减少投资机会时,他们只能运用该限制范围内的狭义市场投资组合,其投资选择机会必然受到限制,长期收益与风险状况也将受到不利的影响。
从表1.14中可以看出富豪会选择配置比普通人更高比例的对冲基金、更高比例的私募基金,显然这个配置是偏好风险的。另外,通常普通人的风险投资比例是0,而富豪的这一比例是2%。但是经济学原理告诉我们,要想获得高收益率,就要承担较高的风险,这也就解释了为什么富有的人越来越富有。
表1.14 2012年全球富豪的资产配置组合
续表
数据来源:HFR,星潮FOF整理
资产配置要考虑的一些基本因素如下。
(1)影响投资者风险承受能力和收益需求的各项因素,包括投资者的年龄或投资周期、资产负债状况、财务变动状况与趋势、财富净值、风险偏好等。
(2)影响各类资产的风险收益状况及相关关系的资本市场环境因素,包括国际经济形势、国内经济状况与发展动向、通货膨胀、利率变化、经济周期波动、监管等。
(3)资产的流动性特征与投资者的流动性要求匹配的问题。
(4)投资期限。投资者在有不同到期日的资产(如债券等)之间进行选择时,需要考虑投资期限的问题。
(5)税收考虑。税收结果对投资决策意义重大,因为任何一个投资策略的业绩都是由其税后收益的多少来进行评价的。
资产配置的具体流程如下。
1)明确投资目标和限制因素
通常需要考虑到风险偏好、流动性需求和时间跨度要求,还需要注意实际的投资限制、操作规则和税收问题。比如,货币市场基金就常被投资者作为短期现金管理工具,因为其流动性好、风险较低。
2)明确资本市场的期望值
这一步非常关键,包括利用历史数据和经济分析,要考虑投资在持有期内的预期收益率。专业的机构投资者在这一步具有相对优势。
3)明确资产配置组合中包括哪几类资产
一般来说,资产配置的几种主要资产类型有货币市场工具、固定收益证券、股票、不动产和贵金属(黄金)等。
4)确定有效资产配置组合的边界
找出在既定风险水平下可获得最大预期收益率的资产配置组合,确定风险修正条件下投资的指导性目标。
5)寻找最佳的资产配置组合
在满足投资者面对的限制因素的前提下,选择最能满足其风险收益目标的资产配置组合,确定实际的资产配置战略。
资产配置是一个综合的动态过程,投资者的风险承受能力、投资资金都会不断地发生变化,所以对不同的投资者来说,风险的含义不同,资产配置的动机不同,最终选择的组合也不同。
资产配置在不同层面有不同含义,从范围上看,可分为全球资产配置、股票债券资产配置和行业风格资产配置;从时间跨度和风格类别上看,可分为战略性资产配置、战术性资产配置和资产混合配置;从资产管理人的特征与投资者的性质上看,可分为买入并持有策略、恒定混合策略、投资组合保险策略和动态资产配置策略。
1)买入并持有策略
买入并持有策略是指在确定了恰当的资产配置比例,构造了某个投资组合后,在诸如3~5年的适当持有期内不改变资产配置状态,保持这种组合。买入并持有策略是消极型长期再平衡方式,适合有长期计划水平并满足于战略性资产配置的投资者。
买入并持有策略适用于资本市场环境和投资者的偏好变化不大,或者改变资产配置状态的成本大于收益时的状态。
2)恒定混合策略
恒定混合策略是指保持投资组合中各类资产的固定比例。恒定混合策略假定资产的收益情况和投资者偏好没有大的改变,因而最优投资组合的配置比例不变。恒定混合策略适合风险承受能力较稳定的投资者。
如果股票市场价格处于震荡、波动状态之中,那么恒定混合策略取得的结果就可能优于买入并持有策略取得的结果。
3)投资组合保险策略
投资组合保险策略是在将一部分资金投资于无风险资产从而保证投资组合的最低价值的前提下,将其余资金投资于风险资产并随着市场的变动调整风险资产和无风险资产的投资比例,同时不放弃资产升值潜力的一种动态调整策略。当投资组合价值因风险资产收益率的提高而上升时,风险资产的投资比例也随之提高;反之则下降。
因此,当风险资产的收益率上升时,风险资产的投资比例也随之上升。如果风险资产的收益率继续上升,则投资组合保险策略将取得优于买入并持有策略的结果;而如果收益率转而下降,则投资组合保险策略取得的结果将因为风险资产投资比例的提高而受到更大的影响,从而劣于买入并持有策略取得的结果。
4)动态资产配置策略
动态资产配置策略是根据资本市场环境及经济条件对资产配置状态进行动态调整,从而增加投资组合价值的一种积极战略。大多数动态资产配置策略具有如下共同特征:
(1)一般是建立在数据分析工具基础上的量化配置过程。这些分析工具包括回归分析、优化决策等。
(2)资产配置主要受某种资产类别预期收益率的客观测度驱使,因此属于以价值为导向的过程。可能的驱动因素包括在现金收益、长期债券的到期收益率基础上计算股票的预期收益率,或者按照股票市场股息贴现模型评估股票实际收益率的变化等。
(3)资产配置规则能够客观地测度出哪种资产类别已经失去市场的注意力,并引导投资者进入不受人关注的资产类别。
(4)资产配置一般遵循“回归均衡”的原则,这是动态资产配置中的主要利润机制。
自上而下的资产配置是国内投资者在进行投资决策时极易忽略的环节,也是目前国内资产管理机构面对终端投资者需求缺失的一环。而在中国股市暴涨暴跌、周期鲜明的大背景下,基本正确的资产配置显得尤为重要。
FOF基金相较其他基金最大的优势在于对资产配置的把握。一般的基金在标的市场品种选择上投入大量精力,在深挖个股等战术性策略上做得很成功,然而,有限的精力导致普通基金在战略性策略上存在软肋。FOF基金首先解决的就是在各个标的市场上的资产配置,即大类资产配置;其次解决的是在各个标的市场上的类别资产配置,如股票是投资价值股还是成长股、债券是企业债还是政府债;最后选出各细分下优秀的基金。明确的分工让 FOF 基金管理人和各子基金管理人能够在各自专业的领域发挥专长,做出尽可能准确的投资判断。
(1)大类资产配置定方向。FOF基金在产品设计阶段就需要通过宏观分析预判确定资产配置策略,不仅包括当前市场环境下的资产配置方案,而且包括市场环境变化时资产配置调整的方式。大类资产配置通过将资金分配于股票、债券、银行存款、房地产等领域,锁定一部分风险,定下FOF基金的整体基调。
(2)类别资产定题材。类别资产是介于大类资产与具体标的之间,按照风格、性质划分的各类资产。一般而言,从长期来看,同类资产的投资收益会趋同,不同类资产的投资收益会分化。按照此规律,一旦类别资产配置确定,FOF基金就能基本锁定部分期望收益,因此,类别资产配置成为 FOF 收益的又一重要来源。类别资产配置确定的是大类资产下的方向。一般而言,类别资产配置的重要性还体现在其与大类资产配置之间的牵制上,在大类资产配置激进时需要类别资产配置有一定的防御性,而在大类资产配置保守时可在下层配置激进的类别资产。
(3)具体品种看逻辑。虽然同一细类下的基金业绩会趋同,但基金的风格本身并不是固定不变的,基金投资的标的可能会随着市场环境的变化脱离类别资产配置的目标。例如,在股市持续上涨的行情下,基金经理可能会增加小盘成长股的比重,从而使整个基金的风格发生偏移。同时,基金业绩也有相当大的偶然因素,只关注历史收益率容易产生误判,因此还需要分析其背后的投资逻辑是否稳定一致,其业绩是否有可靠的投资行为作为支撑。
毫无疑问,风险管理是 FOF 必须关注的核心要素,贯穿于管理人评价、资产配置、产品设计的整个环节。从实际运作来看,风险管理一般分为事前风控、事中风控和事后风控三大块。
风险平价(Risk Parity)策略通过平衡分配不同资产类别在组合风险中的贡献度,实现了投资组合的风险结构优化。通过风险平价配置,投资组合不会暴露在单一资产类别的风险敞口中,因而可以在风险平衡的基础上实现理想的投资收益。
传统的大类资产配置方法是建立在资产的基本分类、回报率和波动水平之上的。这种方法看似将风险分散,但由于不同资产类别的风险水平不同,反而会造成风险的不均衡。尤其在重大风险事件来临的时候,投资组合往往极其脆弱。
举一个例子:一个50%股票和50%债券的投资组合看似进行了分散化投资,但并没有带来实际的好处。一方面,由于股票的风险远远大于债券的风险,因此,50%的股票可能贡献了整个组合绝大部分的风险。当股票市场出现大幅波动时,整个组合将会在股票的主导下随行情大幅波动。另一方面,由于债券的收益率很低,导致组合的预期收益率随债券的加入大幅降低。这样来看,虽然投资者选择了两个相关性很低的资产构建组合,但结果却是在风险和收益率两端都没有讨得便宜。
如何避免这种悖论的出现?钱恩平博士提出,如果给予债券合理的杠杆,使其波动水平与组合中的股票资产的波动水平相当,那么债券的预期收益率与预期波动率都会增大。在持有该组合时只要赌对一边行情,就会产生可观的收益。从这个角度来看,尽管债券部分的风险被加大,但整个组合的风险却没有被某类资产所支配,反而起到了有效分散风险的作用。
风险平价策略以资产类的风险贡献为出发点,在配置中追求资产的风险权重平等,而不是传统配置策略中的金额权重平等,如图1.24所示。
图1.24 风险平价原理图
风险平价策略在逻辑清晰的同时也具有很强的可操作性。从图1.25中可以看出,桥水全天候基金是风险平价策略的成功典范。1970—2015年,桥水的全天候投资策略实现了12%的年化收益率,以及7%的年化超额收益率。相比于传统的股债60/40配置,全天候策略获得了年化3%的超额收益率。
图1.25 桥水全天候基金的走势图
数据来源:Bridgewater,星潮FOF整理
有关风险平价的详细讨论,参见第8章。
一般在子基金的合同中都会约定风险控制条款,来控制具体交易过程中的风险头寸等。管理人的风控人员需要实时监控这些指标,使其严格遵守契约的规定;托管机构一般也会在盘后进行相关风险头寸的计算,并和管理人进行核对。对于对冲基金产品来说,进行风险头寸计算的常用指标有如下几个。
1)风险敞口
风险敞口是指没有对冲过的裸头寸,这种头寸会受到市场涨跌的影响,从而成为FOF资产中亏损的来源,当然,也会是增强收益的来源。一般来说,风险敞口定义如下:
风险敞口=ABS(股票多头价值+期货多头合约价值-期货空头合约价值)/基金资产净值
在没有融资的情况下,股票多头价值等于所有股票的市值之和;如果有融资,则还要乘以杠杆比例。
期货因为天生是有杠杆的,所有的交易者都采用保证金交易,所以期货的风险头寸就是合约价值=期货价格×合约乘数。
举一个例子:某只子基金的净值是1000万元,其中有400万元股票头寸多头, 3手沪深300股指期货空头持仓(当前沪深300股指期货价格为3000点,每点300元),20手螺纹钢多头持仓(当前螺纹钢价格为2500元/吨,10吨/手),则可以计算出
股票多头价值=400万元
螺纹钢期货多头合约价值=2500×10×20=50(万元)
股指期货空头合约价值=3000×300×3=270(万元)
风险敞口=ABS(400+50-270)/1000=18%
2)单品种持仓
很多业内的私募,特别是民间高手,往往喜欢重仓持有消息股票,这种操作手法虽然有可能收益很高,但是风险也极大。所以在 FOF 基金配置中,一般要对这种策略进行单品种持仓的限制,因为业内由于过于重仓持有股票而遭遇巨大亏损的例子比比皆是。
例如,2016年7月8日,中国证监会新闻发言人张晓军表示,证监会对欣泰电气欺诈上市一事启动强制退市程序,对欣泰电气及17名现任或时任董监高实施行政处罚,对两名相关责任人采取终身禁入措施。根据相关规定,深交所将在证监会对欣泰电气做出行政处罚之后启动退市程序。并且欺诈发行暂停上市后不能恢复上市,创业板无重新上市安排,证监会继续加大监管力度,对上市公司、控股股东及相关主体侵害中小投资者利益的行为进行严厉打击。
曾经获得私募冠军的创世翔投资彻底踩雷,后者在欣泰今次停牌前,大笔增持欣泰的股份高达10%,2亿多元投资打水漂,旗下的产品被强制清盘。2016年7月底,创世翔创始人将手中股份全部转让,曾经的私募大佬败走重组股。这就是单品种持仓过于集中的最大风险。
3)黑名单
黑名单就是对一些有可能产生重大风险的品种,从一开始就从交易列表中剔除。随着量化模型的发展,各种各样的风险模型被开发出来,但是定性的风控分析依然不可或缺。有些投资品种并不需要量化模型,仅仅依靠人的经验,就足以得出其风险巨大的结论。一般来说,主要有以下几类黑名单。
(1)风险性黑名单。一般在基金合同中会约定很多风险巨大的品种是不允许投资的,比如ST类股票、新三板的股票等。
(2)流动性黑名单。流动性黑名单主要针对一些流动性很差的品种,一旦买入这种类型的交易品种,则将面临无法出局的风险,比如日成交量小于100万元的股票,或者进入交割月份的商品期货等。
(3)制度性黑名单。设定制度性黑名单主要是为了防止利益输送,比如某个机构用客户的钱买入与其关联公司的股票,为其他产品抬轿子等。这种限制一般包括:不得购买银行理财产品;不得购买与管理人关联公司的股票;不得开展担保、抵押等业务。
当 FOF 组合的子基金配置完成之后,就进入等待收益的阶段,同时也是风险暴露的阶段,包括市场风险、信用风险、流动性风险和操作风险等。市场风险是指因为股票价格、利率、汇率、商品价格的变动所带来的风险,是投资者面临的最直接风险,往往也是其他风险的导火索。规避这种风险最常用的方法就是VaR模型。
VaR是用来衡量市场风险的主要工具之一。VaR,英文为Value at Risk,通常被翻译为“风险价值”。
1)什么是VaR
直观地说,VaR代表未来收益的分位点。定量地看,对于一个资产组合(或者一个公司或部门),假设在未来一段时间内的收益额为X。由于未来情况的不确定性,X可视为一个随机变量。假设它的分布函数为F(x)=P(X≤x),那么置信水平为p的VaR为:
此表达式中的负号是将VaR转换为正值,更符合日常的表述。换一个角度看:
这意味着,如果一个FOF组合报告它的日VaR为1000万元,置信水平为95%,那么在接下来的一天,它亏损超过1000万元的概率为5%,平均每20天发生一次。
VaR值对应两个参数:一个为时间范围,指VaR所评估损益对应的期限,一般为1日、1周或者10天;另一个为置信水平,通常使用95%和99%,分别表示亏损超出VaR的频率为每20天一次和每100天一次。对于国际投资者来说,还需要指定VaR结果的货币类型。
2)VaR起源的市场背景
VaR的使用起源于金融市场发展中的几个重要特征。
(1)新的市场形势使得风险越来越大。随着金融市场的发展,不同地区和不同市场之间的相关性变得更加复杂,金融产品高杠杆的使用会带来小概率的黑天鹅事件,从而造成巨大的损失。
(2)衍生品市场的壮大使得传统的风险衡量方法受到限制。在VaR模型被普遍使用之前,市场上常用的风险衡量方法有敏感性分析、止损、名义金额、风险敞口等。其中敏感性分析是最高级的,相关指标包括权益类产品的Beta、利率产品的基点价值、期权等衍生品的Greeks指标等。
传统的风险管理方法没有考虑到市场之间的差异,也很难考虑其相关性,这使得传统方法无法对风险进行汇总。相较而言,VaR是一个综合考虑杠杆、敏感程度、市场差异、相关性的风险度量结果。
(3)监督机构的推动。1997年,SEC 规定上市企业必须公布其衍生品投资的量化评估指标,大多数银行采用了VaR模型。在从1999年开始实施的《巴塞尔协议II》中,VaR成为衡量市场风险的推荐方法。在国内,在中国银监会颁布的《实施新资本协议相关指引征求意见稿》里明确规定了采取内部模型法必须使用VaR模型。事实上,现在国际知名投资银行和商业银行都在年报中披露VaR,大多数机构在日常风险管理中也使用VaR,VaR成为衡量市场风险的事实标准。
3)VaR计算技术的变迁
VaR在数学上的思路很早就出现了,但从20世纪80年代才开始被金融界所接受。最早有据可查的是一些量化交易柜台,如Bankers Trust使用类似VaR的思路来控制风险。在当时,其定义和名称与现在不同,同时也没有在不同交易柜台之间汇总。
20世纪80年代和90年代初,一些公司陷入困境,因为不同部门会无意中持有本质上相同的资产,使得公司整体在某些风险上的暴露比想象中大得多。由于各个交易柜台已经开始计算各自的VaR,所以某些公司试图汇总全公司的风险。当时,摩根大通的CEO在每天收盘后15分钟即收到公司当天的汇总风险报告,即著名的“4:15报告”。
需要注意的是,随着业务规模越来越庞大,为了适应越来越复杂的资产和风险类型,风险模型也越来越复杂,同样的软件已经做不到在这么短的时间内生成风险报表。
1994年,摩根大通公布了Risk Metrics Technique Documents,详细描述了其算法技术,这也是VaR的第一次不再局限于Quant圈子的公开亮相。两年后,摩根大通将Risk Metrics研究部门分立成一家独立的公司,即RiskMetrics Group,其旗下的软件Risk Manager一直是计算VaR的标杆。2010年6月,RiskMetrics Group被MSCI Barra收购。
MSCI Barra收购RiskMetrics Group后,将网站riskmetrics.com并入了msci.com。原来定期更新、关于VaR的最好的参考文献之一的Risk Metrics Technique Documents就此在网络上消失,是一件悲惨的事情。
除产品风险外,对于子基金的管理人,还需要考虑其经营风险,主要包括如下几类。
1)技术系统
技术是所有对冲基金最重要的一个环节,比如管理期货,就是一类建立在技术交易上的策略,由于其庞大的交易规模,如果没有技术支持,则是无法运作的。虽说系统是从第三方购得的,但是系统的选择、运用、维护都是由公司内部决定的,所以将其归为混合风险。值得一提的是,技术系统不局限于软件,还包含硬件。
对冲基金主要使用的软件程序包括客户关系管理、基金会计、投资组合管理、数据保存和电子通信监控系统。员工可以通过主经纪商和管理人等服务方的网络通道或者其专有平台来开展每日的对接工作。并且大部分基金现在都有专用的机房和专门的冷却系统。另外,投资者需要知道公司的硬件网络设计是不是同时考虑到现行需求,并且是能够升级完善的。如此调查的目的在于了解对冲基金内部是对技术要求有一定的认识,还是盲目地依赖第三方机构。比如,投资者应该去了解对冲基金运用的是哪个网络拓扑结构。如果是总线网络,就可以问为什么不用环形网络。即使你在这方面并不专业,但是通过这些问题会让你知道这家公司是否是经过思考做出这个决定的。而且现在很多对冲基金有发电设施支持方案,这些内容将在接下来的“业务持续性和灾后恢复能力”板块中进行详细阐述。近来,对冲基金的信息安全问题越来越受到重视。
为了防止雇员将信息泄露到公司外部,对冲基金也采取了很多技术安全措施。他们通常使用访问限制密钥卡来限制权限较低的员工获取信息,有的公司还会使用眼睛扫描和指纹识别设备来进行进一步的信息保护。从软件的角度来说,许多对冲基金通过电子监控系统时时监督员工的网络活动、邮件收发和个人交易活动。比如邮件收发,公司会同时监督邮件的内容和文件收发的类型。这些监控系统还可以拓展到远程访问设备(类似于手机)。另外,现在很多公司都禁止使用外部硬件设备,如磁盘驱动器,就是为了防止员工将信息带出公司。有的公司会将员工进入过公司的哪些系统看过哪些文件等情况记录下来,这样一来,如果信息文件缺失或者落入了竞争者手里,就能查明谁最后看了这些文件。虽说这看起来有点偏向阴谋间谍论,但是对这些资产波动动辄上亿美元的公司来说,信息就是金钱。
通常情况下,在大型对冲基金中有一位专门的首席技术官来监管信息技术的运行。而在小型机构中,由于成本控制的需要,通常会将其外包给第三方咨询公司提供网络管理服务和技术支持,而和第三方的关系维护一般由对冲基金内部的首席运营官和首席财务官来执行。投资者在评价对冲基金的首席技术官或者第三方的时候,需要弄清楚他们不是只有在金融机构的经验,而是有在对冲基金领域的经验,这样就能够更全面地了解公司的需求并对未来发展有所计划。
2)业务持续性和灾后恢复能力
自2001年美国“9·11”恐怖袭击事件后,业务持续性和灾后恢复成了对冲基金首先需要注意的两个板块。不过这两者常常被误认为是一个东西,事实上是两个不同的概念。业务持续性指的是业务中断时对冲基金持续运营的能力;灾后恢复指的是灾后恢复到与灾前一样的能力。特别是对于那些直接参与全球市场,以及将资产配置到全球范围的对冲基金来说,拥有一项业务持续灾后恢复计划尤其重要。让我们试想一只在中国香港运作的对冲基金,现在是周五下午三点,那里发生了地震,中断了网络和电话通信。如此一来,基金无法正常交易。然而其他市场参与者并未受到影响,到了晚上可能会发现基金已经蒙受巨大的损失,但是又不能挽救,因为周末不开市。如果他们拥有一项业务持续灾后恢复计划,则有可能减少或者避免这些损失。
所谓的灾难不一定指的就是类似地震的大事件,也有可能就是某个员工不小心将咖啡洒在了服务器上。许多基金会让他们的信息技术服务第三方为他们设计并维护此项计划。为了确保他们的计划是合适的,近来有些对冲基金会找专业顾问来进行评价。这样做的好处是可以更加客观地了解整个评价体系,因为有的第三方可能只是采用了他们最熟悉的技术,而不是当前最先进的技术。
3)合规性
对冲基金会遇到许多有关合规性的问题,这部分风险可以来源于外部,比如第三方的诉讼风险,也可以来源于内部,比如合规政策的制定。通常来说,合规性由首席合规官负责监督。不过在很多对冲基金中,合规性由总法律顾问、首席运营官或者首席执行官负责监督。近年来,由于业务的需要,许多公司会同时拥有国内和国外的顾问,并且合规职能也发生了很大的变化。
在早期阶段,合规人员通常比较关注投资相关问题,以确保所有需要的法律文件都按时提交,并且对冲基金没有违反交易限制条款。而现代首席合规官会同时关注投资相关和非投资相关领域,包括人力资源、防洗钱监管及电子通信监督。一个比较有趣的例子是加利福尼亚州首席合规官的员工培训职责,多半对冲基金被要求提供防性骚扰的培训,但有的福利管理人并不负责这方面的执行工作。所以,如果没有一位出色的首席合规官,那么这项培训很容易就被忽略了,如此一来,公司是会受到监管机构的处罚的。现在许多对冲基金会使用第三方合规顾问,这类公司会提供很多服务,包括建立公司初始合规程序、协助开展合规培训等。
另外,这些公司也会向对冲基金提供会引起合同重新修订的相关建议、法律新闻和法规变动。作为投资者,我们需要了解合规文化是否在公司里被普遍认可,但这做起来有一些难度,因为许多公司虽然有明确的合规政策和流程,但是并不积极实施。所以只有通过业务尽职调查,投资者才能了解到这些基金公司是否言行一致。
4)保险
和其他公司一样,对冲基金会通过购买保险来规避特定的风险。但在现实生活中并没有一份专门的清单明确对冲基金需要规避哪些风险。保险公司通常会和对冲基金在保险费方面产生一定的冲突:一方面,保险公司能够很快迎合金融界为高净值对冲基金客户提供保障;另一方面,保险公司还没有普遍适应对冲基金的风险等级和潜在损失。投资者首先需要考虑的问题就是谁是受保人,比较典型的就是基础基金、对冲基金经理本身、普通合伙人、投资经理,以及与上述参与主体有关联的参与方。
对冲基金和相关方受保的标准类型一般为E&O(错误与遗漏责任保险)、D&O(董事及高级经理人员责任保险)、普通合伙人责任保险及雇佣责任保险。有些对冲基金并不局限于以上几类品种,他们会特别对关键人员可能引发的损失上保。投资者需要注意的是谁引起了保险的赔付,以及谁付了保险费。有些基金还会购买绑架或赎金险,其中包括敲诈勒索和超期羁押行为。赎金险在传统上是用来为前往动荡地区的个人与企业提供保险服务的。催生这种保险的关键事件是 ESL 投资公司的投资经理爱德华·兰伯特在其公司停车场里被绑架并做了两天的人质。
另外,许多对冲基金服务方也会购买责任险,以防到时不能与对冲基金达成某些条款而造成损失。投资者和对冲基金本身需要确保受保类型和保单限额应该是与公司商业模型和资产规模相匹配的。最好的实践方式是无须投资经理并使用一揽子保险单和巨额保单限额来防止任何可能引起索赔的潜在利益冲突。特别是大型对冲基金,由于禁止高额投保一些索赔并不多的保险,所以并没有规定投保种类。在保险费价格可取之前,他们会选择自我保险。投资者需要对基金是否具备足够多的风险单位用以降低风险进行分析,并将其作为财务稳定性审核的一部分。
5)董事会的独立性和监督
董事会在大多数对冲基金架构中以两种形式存在:一种是在投资管理公司;另一种是在国外。其主要职责就是监督,并且应当代表投资者的最高利益。董事会成员也分为两类:一类是全职的执行董事;另一类是非执行董事。非执行董事和对冲基金的唯一联系就是他们是董事会的一员,但也有董事兼任某个领域顾问的情形。对于投资者来说,董事会的权力和独立性是对冲基金组织架构的关键考虑因素。因为对于局外人来说,要获取对冲基金公司内部每日的运作信息是一件很难的事情,而董事会成员则可以监督公司,防止出现诈骗事件,维护投资者的利益。
不幸的是,许多对冲基金认为董事会的职责只是法定需要并对其职能有所削弱。许多对冲基金的董事会是由第三方服务机构中的高级管理层组成的,那么问题就来了:这些董事会成员的独立性如何?投资者需要了解他们是独立的、有自主权的,还是已经被基金公司所控制。为避免董事会成员形同虚设的情况发生,许多国外司法监管机构立法让其对做出的决策负责。另一个需要考虑的要素是董事会的人数。在大多数司法条款中,并没有对董事会的人数做出最小值或者最大值的限制。然而有的司法管辖地已经开始对其进行规范,比如在爱尔兰证券交易所里,在列的许多国外对冲基金就规定至少需要有两名独立的董事会成员。
比较典型的董事会成员数是3人,也可以是5人或者7人。不过人数过多容易导致低效,而只有1人或2人又太少。董事会成员的扩张和缩减可以为对冲基金监督力度的变化提供一定的依据。另外,投资者需要知道董事会成员举行会议的频率。所有董事会每年至少召开一次会议。比较频繁的会议举行意味着这是一个比较积极的董事会,这是比较好的情况。但是董事会的费用也应该被纳入考虑范畴,过高或过低的费用都应该引起投资者的怀疑。优秀的董事会成员往往应该为其付出的知识和经验得到同等的补偿。如果有人愿意以很低的价格为对冲基金提供服务,那么公司得到的也只能是低质量的服务。
当某个基金产品的业绩产生以后,需要深入研究的是该业绩产生的原因中到底有多少是运气成分,有多少是基金经理的管理能力,这就是业绩归因所要完成的工作。
运气和能力就好像速溶咖啡和咖啡伴侣一样,常伴每个投资者左右,而且加满水之后,你还不大好分清到底哪个是哪个。而对于已经实现的投资表现,无论战果如何,你同样也会好奇这样的战果究竟受什么因素的影响。Brinson和Falcher对这个问题提出了一个很好的解决思路。假设我们对自己的投资业绩的判断标准是沪深300指数,那么从我们自己的投资组合的配置上来看,组合的收益率会受到三种效应的影响。
第一种是资产配置效应。假如沪深300指数有28个行业,那么我们选择的对28个行业的投资比例(也就是权重)很显然会影响组合的收益率。第二种是个股选择效应。对于沪深300指数中的300只股票,我们会选择其中的一些股票进行投资,这部分就是我们通过选择个股获得的收益。第三种是两种效应的交互效应,即我们同时进行行业配置和行业下的个股选择而获得的收益。这样说似乎很抽象,我们来画一张简单的表。为了叙述简便,假如有一个只有3个行业的沪深300指数,我们将其作为自己的业绩基础,如表1.15所示。
表1.15 配置效应案例
可以看到,该组合从行业配置到个股选择,都和沪深300指数的设计不一致,而且很显然(或者说很幸运)获得了更高的收益率,那么这样的收益率实现究竟是源于基金经理对行业权重的调配,还是源于对行业内部股票的选择呢?这个问题一方面可以归结为基金经理投资收益的来源,另一方面可以让我们思考该基金经理究竟在股票投资的哪方面更有优势。所以我们画另一张表格,如表1.16所示。
表1.16 配置效应组合收益率分析
在表1.16所示的式子中,式(1)和式(4)就是表1.15中的结果,而式(2)和式(3)看上去就特别奇怪,好像没有什么特别的含义。但是如果我们运用简单的减法,就会发生一些有趣的事情,如表1.17所示。
表1.17 绩效归因分析
用式(2)减去式(4),实际上就是假如我们和沪深300指数一样买入300只股票,但是在300只股票所属的3个行业中投入的资金比例不同,这样式(2)和式(4)的差异就反映了我们在行业配置上的能力,即资产配置效应。类似地,用式(3)减去式(4),就是我们在和沪深300指数进行一致的行业配置的时候,因为对股票选择的不同,所以获得的收益率也不同,也就是个股选择效应。而用式(1)减去式(2)和式(3)再加上式(4),就是资产配置和个股选择同时作用的交互效应。
通过这样一个简单的计算,我们就可以像剥洋葱一样,层层深入,大致把投资收益的来源分解成不同的类型。根据表1.15中的数据,我们自己的投资组合比沪深300指数的收益率要高出3.5%,而用刚刚介绍的分析方法可以计算得到,其中资产配置效应给我们自己的投资组合所带来的收益率提升是0.2%,而个股选择效应所带来的收益率提升是2.8%。那么剩下的还没有被这两个效应解释的0.5%的收益率就是这两个效应交互作用的结果,也就是说你可能在业绩好的行业里配置了更多的钱并买到了表现更好的股票,而在业绩差的行业里配置了更少的钱并同样买到了表现更好的股票。
当然,上述方法只适合在单期中使用,在具体操作时,我们可能需要对1日、1周、1个月的投资表现进行分析,但是由于拆分了的收益率不能简单地跨期进行合并计算,因此对于更长更多的时期分析,可能会用到几何归因法或者算术归因法来对不同的效应进行计算。如果我们还需要分析自己对具体行业和具体股票的配置能力,那么还要进行细分资产的多期归因。这些方法的改进并没有脱离原始业绩归因方法的框架,我们仍然可以用直观的方式拆解出自己投资结果的来源,判断自己投资能力的优势,反思自己投资决策的安排,从而更好地对不同决策维度下的投资风险进行管理。
基金的业绩评价与归因的重要性主要用来解决三方面的问题:一是投资的结果到底怎么样?二是基金为什么会有这样的表现?三是基金的业绩来源是归因于投资经理的能力,还是运气因素占了主导?
我们可以通过基金业绩的测量、归因和评价来分别回答这三方面的问题。这些问题的答案可以提供很多有用的信息,比如基金和投资目标及范围的贴合度、基金经理的投资方式是否和宣传的一致、是否继续投资给该基金经理等。
基金业绩的测量主要是根据基金在一段时间内的资产计算回报率。通常,基金的回报率等于期末的资产减去期初的资产再除以期初的资产。但是,如果在计算周期内有大额的外部现金流流入/流出,则还要考虑这些现金流对业绩的影响。有两种方式计算回报率。一种方式是以时间为权重计算回报率。这种回报率的计算方式是:以外部现金流流入和流出的时间为分界点,将投资周期分为若干部分,分别计算投资回报率,再以几何平均的方式相连而得。这种方式不受外部现金流流入/流出的影响,在基金经理对外部现金流的流入/流出没有控制权的情况下,是对基金业绩较客观的评价方式。另一种方式是以资金为权重计算回报率,类似于内部回报率的计算方法,比较适合基金经理对外部现金流的流入/流出有控制权的情况。
基金业绩的归因是确定基金业绩来源的一种方式。基金的业绩来源可以分为三种,分别来自市场、风格和主动投资。所谓市场就是大盘指数的回报;所谓风格可以理解为基金经理自己选择的比较基准(Benchmark)和大盘指数的差异;而主动投资可以理解为基金经理对行业和个股的选择。那么,一个有效的基金经理自身的比较基准就必须满足一些特点,比如适当性、可测性、明确性和可投资性等。目前主流的比较基准有7种,分别是绝对基准、基金经理总体中位数、市场大盘指数、风格指数、多因素模型、回报基准(Returnbased)和特别定制基准。其中,回报基准就是结合多因素模型和风格指数,将模型中的参数(Exposure)换成标准的风格指标,即小盘成长、大盘价值等参数。
对于比较基准的质量,也有几种考察指标:一是系统性风险,简单来说,基准的Beta值应该越接近1越好;二是从相关性的角度考察两点,即主动投资的收益和基准风格带来的收益的相关性应该越小越好、基准风格相对大盘指数的收益和基金总的收益的相关性应该越大越好。换句话说,基金主动投资的收益应该是独立的。其他考察指标还有跟踪误差、风险特征、覆盖度、换手率等。
业绩归因可以从宏观和微观的角度考虑,宏观的业绩归因主要由投资者来完成,而微观的业绩归因则由基金经理来完成。宏观业绩归因的三种方法包括大类资产的配置、比较基准组合的回报、不同的基金经理带来的回报和外部现金流,三者呈递进关系。微观业绩归因主要由三部分组成,即行业配置带来的回报、个股选择带来的回报,以及两者之间的交互作用。
对于股票型投资基金和债券型投资基金,可以利用多因素模型进行归因评价,分别分辨出产生系统性回报的因素,以及确定基金经理主动选择的风险敞口。
基金业绩的评价用来确定基金的业绩受哪些因素的影响,通常可以利用风险调整后的收益评价指标。主要有5种指标,包括阿尔法、夏普比率、特雷诺指数、信息比率、M2法则。其中,阿尔法和特雷诺指数考察的是系统性风险;夏普比率和M2法则考察的是系统性风险和非系统性风险之和;信息比率则是主动投资回报和主动投资风险的比值。
基金的业绩评价与归因非常重要但也很有挑战性,对于基金经理的评价决定也会影响到投资的目标,是非常重要的反馈机制。合理的、客观的、有依据的分析方法能给投资者带来更有效的信息反馈。
基金评价是指通过一些定量指标或定性指标,对基金的风险、收益、风格、成本、业绩来源及基金管理人的投资能力进行分析与评判,其目的在于帮助投资者更好地了解投资对象的风险收益特征、业绩表现,方便投资者进行基金之间的比较和选择。下面将从选股能力、择时能力、跟踪误差、信息比率4个方面来衡量基金的业绩。
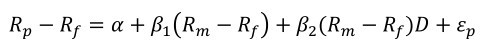
1)T-M模型
Treynor和Mauzy(1966)在CAPM的基础上建立了衡量模型。他们认为,成功的投资者如果能够预测市场收益率,就会在市场收益率高时提高投资组合的β值;反之,降低投资组合的β值。这个认识过程是一个循序渐进的过程,投资组合的收益率与市场收益率会呈现曲线的关系。在詹森指数的基础上,他们增加了一个平方项来评价基金经理的择时能力,构造了一个二次回归模型:
其中,α为选股能力指标;β 2 为择时能力指标;β 1 为基金组合所承担的系统风险;R p 为基金在各时期的实际收益率;R m 为市场组合在各时期的实际收益率;ε p 是零均值的随机误差项;R p -R f 表示基金取得的超额收益率。
Treynor和Mauzy认为,“如果β 2 大于零(且其所对应的P值小于0.05),则表明基金经理具备正的择时能力;当常数α值显著大于零(且其所对应的 P 值小于0.05)时,则表明基金经理具备选股能力;β 2 值越大,择时能力也就越强”。从模型结构来分析,(R m -R f )×β 2 为非负数,当证券市场为多头(R m -R f >0)时,基金资产组合的风险溢价(R p -R f )大于市场组合的风险溢价(R m -R f );反之,当证券市场出现空头(R m -R f <0)时,基金资产组合的风险溢价(R p -R f )小于市场组合的风险溢价(R m -R f )。
2)H-M模型
Henriksson和Merton(1981)对T-M衡量法有不同的看法。他们认为,“基金经理要么预测市场收益率高于无风险收益率,要么预测无风险收益率高于市场收益率,而无法预测差异的大小。如果基金经理希望把握时机,就会根据预测做出资产组合比例的调整,因此其转化速度将是很快的,则组合的收益率与市场收益率是线性的,并且会在做出资产配置调整时出现明显的拐点”。所以得到了一个与T-M模型类似但更为简单的方程:
其中,D是虚拟变量,当R m > R f 时,D =1,当R m < R f 时,D =0;α为选股能力指标;β 2 为择时能力指标;ε p 是零均值的随机误差项;β 1 为基金组合所承担的系统风险;R p -R f 表示基金取得的超额收益率。通过对线性方程的分析来看,“基金经理通过预测市场收益率与无风险收益率的大小来调整资产配置,改变资产组合风险的大小”。当R m >R f 时,D =1;当R m < R f 时,D = 0。所以,当管理人预测到市场变化时,就会随时改变β系数,从而“得到两条斜率不同的直线对市场超额收益率和组合超额收益率进行拟合”。经过线性回归得到相应的系数值,假如α值显著大于零,且其所对应的 P 值小于0.05,则表明基金经理具备选股能力;假如β 2 为正值,且其所对应的P值小于0.05,则表明基金经理具备择时能力。
3)信息比率
信息比率以马科维茨的均异模型为基础,可以衡量基金的均异特性,它表示单位主动风险所带来的超额收益。公式如下:
其中,IR
i
表示基金i的信息比率;
表示基金i的跟踪偏离度的样本均值;TE
i
表示基金i的跟踪误差。
信息比率是从主动管理的角度描述风险调整后的收益的,它不同于后面将要介绍的夏普比率从绝对收益和总风险角度来描述。信息比率越大,说明基金经理单位跟踪误差所获得的超额收益越高。因此,信息比率较大的基金的表现要优于信息比率较小的基金的表现。
投资者在选择基金时要考虑的一个重要因素就是基金公司能否提供一个明确的业绩预期。因此,信息比率对考察基金经理的绩效具有非常重要的意义,因为其奖励的不是绝对业绩,而是持续稳定的业绩。合理的投资目标应该是在承担适度风险的情况下,尽量追求高信息比率,而不是单纯追求高信息比率。过低和过高地承担主动性风险都不是基金经理的一种理性选择。
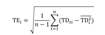
4)跟踪误差
跟踪误差是指组合收益率与基准收益率(大盘指数收益率)之间的差异的收益率标准差,反映了基金管理的风险。Ronaldj.Ryan(1998)认为,跟踪误差可以对组合在实现投资者真实投资目标方面的相对风险做出衡量,因此是一种有效的风险衡量方法。基金的净值增长率和基准收益率之间的差异收益率称为跟踪偏离度。跟踪误差则是基于跟踪偏离度计算出来的,这两个指标是衡量基金收益率与目标指数收益率偏离度的重要指标。
跟踪偏离度:
其中,TD ti 为基金i在时间t内的跟踪偏离度;R ti 为基金i在时间t内的净值增长率;R tm 为基准组合在时间t内的收益率。
跟踪误差:
其中,TE i 表示基金i的跟踪误差;TD ti 表示基金i的跟踪偏离度的样本均值;n为样本数。跟踪误差越大,说明基金的净值增长率与基准组合收益率之间的差异越大,并且基金经理主动投资的风险越大。通常认为,跟踪误差在2%以上意味着差异比较显著。
FOF 并不是大家认为的那样,只要组合几个优秀的基金产品就可以轻松赚钱的。实际上,FOF的组合涉及管理人评价、策略的分类评估、资产配置、风险管理、绩效归因等方方面面。其中资产配置又是重头戏,因为绝大多收益来自配置,而不是交易,这是学术界早就公认的研究结论。