



5.1 CORDIC算法原理
坐标旋转数字计算机(Coordinate Rotation Digital Computer,CORDIC)算法可以追溯到1957年由J·Volder发表的一篇文章。20世纪50年代,在大型计算机中实现移位相加受到了当时条件的限制,所以使用CORDIC算法变得非常有必要。到了20世纪70年代,惠普公司和其他公司生产了手持计算器,许多计算器使用一个内部CORDIC单元来计算所有的三角函数(那时计算一个角度的正切值需要大约1s的延迟)。
20世纪80年代,随着高速度乘法器和带有大存储量的通用处理器的出现,CORDIC算法变得无关紧要了。然而,对于各种通信技术和矩阵算法而言,仍然是需要执行三角函数和均方根等运算的。
在21世纪的今天,对于FPGA而言,CORDIC一定是在数字信号处理应用中(如多输入多输出(MIMO)、波束形成和其他自适应系统)计算三角函数的必备技术。
在xy坐标平面内将点(x 1 ,y 1 )旋转θ角度后到达点(x 2 ,y 2 ),如图5.1所示,其关系用下式表示:
其中,坐标x 1 和y 1 与x 2 和y 2 满足下面的关系,即
其中,R为半径。
图5.1 圆坐标系旋转
将上述过程称为平面旋转、向量旋转或者线性(矩阵)代数中的吉文斯旋转。
上面的方程组可写成矩阵向量的形式:
例如,一个90°的相移表示为
一个45°的相移表示为
通过提取公共因子cosθ,式(5.2)可写成下面的形式:
如果去除cosθ项,则得到伪旋转方程式:
旋转的角度是正确的,但是x与y的值增加1/cosθ,如图5.2所示。由于1/cosθ>1,所以模的值变大。
图5.2 伪旋转描述
例如,在R=1时,(x
1
,y
1
)=(0.34,0.94),经过45°旋转后,(x
2
,y
2
)=(0.91,0.43)。然而,对于伪旋转而言,
,则
表示为
并不能通过适当的数学方法去除cosθ项。然而,随后发现去除cosθ项可以简化坐标平面旋转的计算操作。
CORDIC算法的核心是伪旋转角度,其中tanθ=2 -i ,故方程可表示为
CORDIC算法中,每个迭代i的旋转角度(精确到9位小数)如表5.1所示。
表5.1 CORDIC算法中每个迭代i的旋转角度(精确到9位小数)
这里,把变换改成了迭代算法。将各种可能的旋转角度加以限制,使得能够通过一系列连续小角度的旋转迭代i来完成对任意角度的旋转。旋转角度遵循法则tan(θ i )=2 -i ,乘以正切项则就变成了移位操作。
前几次迭代的形式为:第1次迭代旋转45°,第2次迭代旋转26.6°,第3次迭代旋转14°等。
很明显,每次旋转的方向都影响最终要旋转的累积角度。在-99.7°≤θ≤99.7°的范围内,可以旋转任意角度,满足法则的所有角度的总和
。对于该范围之外的角度,可使用三角恒等式转化成该范围内的角度。当然,角度分辨率的数据位数与最终的精度有关。13次的迭代结果如表5.2所示。
表5.2 13次的迭代结果
旋转13次后,旋转向量增量为
因此,最终伪旋转向量的长度应该除以1.6467602,也就是乘以常数(1/K n )=0.60725941。更进一步,推广:
当n→∞时,K n =1.6467602;n→∞时,1/K n =0.60725941。
在前面提到,所有CORDIC角度的和趋向于99.7°,读者很容易想到,如果旋转角度大于99.7°,如124°,如何处理该问题呢?
根据式(5.3)可知,那是90°旋转时横坐标和纵坐标之间的关系。因此,通过90°旋转和CORDIC操作,在360°范围内可以实现任何期望的角度旋转。使用90°旋转用于保证向量在CORDIC算法的收敛区域内,如图5.3所示。
图5.3 处理大于收敛区域角度的方法
例如,将一个向量以顺时针方向旋转124°。首先,通过一个简单的象限操作将向量旋转90°,然后使用CORDIC旋转剩余的(124°-90°=34°)角度,如图5.4所示。
图5.4 一个向量旋转124°的处理过程
从图5.3可知,当一个向量位于第二象限时,则可以通过顺时针旋转90°进入第一象限的收敛区域;当一个向量位于第三象限时,则可以通过逆时针旋转90°进入第四象限的收敛区域。
对于FPGA而言,通过向量的x坐标和y坐标的MSB(符号位)就可以判断出该向量位于第几象限。
(1)当向量位于第一象限时,(x) MSB =0,且(y) MSB =0。
(2)当向量位于第二象限时,(x) MSB =1,且(y) MSB =0。
(3)当向量位于第三象限时,(x) MSB =1,且(y) MSB =1。
(4)当向量位于第四象限时,(x) MSB =0,且(y) MSB =1。
注 :象限映射操作隐含说明实际上的CORDIC操作要求在-90°~+90°范围内,而不是前面所说的-99.7°~+99.7°范围内。
对于每次迭代而言,前面所示的伪旋转现在可以表示为
式(5.7)中,符号d i =±1,它是一个判决算子,用于确定旋转的方向,即顺时针旋转或逆时针旋转。
在这里引入第3个方程,将其称为角度累加器,用于在每次的迭代过程中追踪累加的旋转角度:
式(5.7)和式(5.8)为圆周坐标系中用于角度旋转的CORDIC算法的表达式。例如,初始的输入为0°,当旋转+45°、-26.6°、-14°、+7.1°、-3.6°后,角度累加器将保持每次迭代后的值,如表5.3所示。
表5.3 每次迭代后z的值
CORDIC算法提供了两种操作模式,即旋转模式和向量模式。工作模式决定了控制算子d i 的条件。在旋转模式中,将一个输入向量旋转一个期望的角度;在向量模式中,将一个输入向量旋转到x轴。
注 :本章的后续部分还将介绍在其他坐标系中如何使用CORDIC算法,通过使用这些坐标系可以计算更多的函数。
1.旋转模式
在旋转模式中选择:
也就是d i 取决于z i 的符号。旋转的目标是使 z i →0。经过n次迭代后得到:
假设任意起始点的坐标为(x 0 ,y 0 )=(0.9,-2.1),并且期望旋转的角度z 0 为52°,具体的迭代过程如表5.4所示,旋转过程如图5.5所示。
表5.4 任意点的迭代过程
图5.5 一个向量旋转52°的旋转过程
此外,通过设置下面的条件:
可以计算cosz 0 和sinz 0 。因此,输入x 0 和z 0 (y 0 =0),然后通过迭代使z i+1 趋近于0。
当z 0 =30°时,计算sinz 0 和cosz 0 的迭代过程如表5.3所示。从表5.3中可知,该迭代过程遵循式(5.7),角度变化的过程如图5.6所示。从表5.3中可知:
表5.5 当z 0 =30°时,计算sinz 0 和cosz 0 的迭代过程
图5.6 角度变化的过程
2.向量模式
在向量模式中选择:
目标是使
经过n次迭代后,用下式表示:
通过设置x 0 =1和z 0 =0来计算arctany 0 。
当y 0 =2并且x 0 =1时,计算arctan(y 0 /x 0 )的过程如表5.6所示。
表5.6 当y 0 =2并且x 0 =1时,计算arctan(y 0 /x 0 )的过程
从表5.6可知,z 8 =63.4°≈arctan(2)。
此外,从式(5.11)可知,CORDIC算法的向量模式可以得到输入向量的幅度(模)。当使用向量模式旋转后,向量就与x轴重合。因此,向量的幅度就是旋转向量的x值。幅度结果由K n 增益标定,即表示为
本节将介绍线性坐标系下的旋转模式和向量模式。
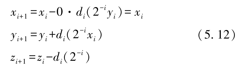
1.旋转模式
线性坐标系下的旋转模式如图5.7所示,迭代过程表示为
图5.7 线性坐标系下的旋转模式
在旋转模式下,选择d i =sign(z i ),使得z i →0。n 次迭代后得到:
该等式类似于实现一个移位-相加的乘法器。
从式(5.13)可知,对于乘法计算而言,将y 0 设置为0。
2.向量模式
在向量模式下,选择d i =-sign(x i y i ),使得y i →0。经过n 次迭代后,用下式表示:
这个迭代式可以用于比例运算。当只使用除法运算时,将z 0 设置为0。
注 :在线性坐标系中,增益固定,所以不需要进行任何标定。
本节将介绍双曲线坐标系下的旋转模式和向量模式。
1.旋转模式
双曲线坐标系下的旋转模式如图5.8所示,迭代过程表示为
图5.8 双曲线坐标系下的旋转模式
在旋转模式下,选择d i =sign(z i ),使得z i →0。n 次迭代后得到:
在双曲线坐标系下旋转时,伸缩因子K
n
与圆周旋转因子有所不同。双曲伸缩因子
可表示为
且当n→∞时,
。
从式 (5.16) 可知,当设置
和y
0
=0时,可以得到cosh z和sinh z的值。
2.向量模式
在向量模式下,选择d i =-sign(x i y i ),使得y i →0。经过n次迭代后,用下式表示:
从式(5.18)可知,当设置x 0 =1,且z 0 =0时,可以计算arctanhy 0 。
注 :双曲线坐标系下的坐标变换不一定收敛。根据文献,当迭代系数为4,13,40,k,3k+1…时,该系统是收敛的。
根据三角函数之间的关系,可以通过CORDIC算法的计算得到下面的函数值:
从前几节内容可以看出,在圆周坐标系、线性坐标系和双曲线坐标系下,CORDIC算法的表达式相似。因此,可以给出一个通用的表达式,然后通过选择不同的模式变量就可以得到CORDIC算法的通用公式。其通用公式表示为
式(5.20)中,e i 用于在给定的旋转坐标系内确定迭代i次所给出的旋转初角。对于圆坐标系而言,e i =arctan(2 -i ),μ=1;对于线性坐标系而言,e i =2 -i ,μ=0;对于双曲线坐标系而言,e i =arctanh(2 -i ),μ=-1。
注 :对于圆坐标系而言,当n→∞时,最大的角度为99.7°;对于线性坐标系而言,当n→∞时,最大的角度为57.3°;对于双曲线坐标系而言,当n→∞时,最大的角度为65.7°。