



1.4 噪声及其处理方法
本节将介绍噪声及其处理方法,内容包括噪声的定义及表示、固有噪声电平、噪声/失真链、信噪比定义及表示和信号的提取方法。
一般采集信号都含有噪声信号分量。信号处理技术经常被用来消除或者衰减噪声。在大多数情况下,将噪声看作是加性的(可叠加的),这样就可以通过线性滤波技术来处理噪声信号。数字信号处理的主要任务之一就是从采集的信号中将所感兴趣的信号分离出来。有些情况下,很容易滤除噪声,如信号加噪声与一些信号特征明显不同。如果语音信号被一种低隆隆声的信号频率混合,则可以直接滤除它。
在感兴趣的信号与噪声信号非常相似的情况下,就不能直接地滤除噪声了。例如,一种语音信号与另外一种语音信号混杂,则提取出想要的信号就非常困难。通常从一个信号中滤除噪声要求了解一些信号和噪声的基本特征,如频率范围、典型的功率电平等。
噪声和失真之间有着本质的区别。噪声通常是给干扰信号起的名字,在多数情况下是可加性噪声。使用信号处理技术可以处理这种噪声的影响,而且可以尝试使用线性滤波或其他技术来衰减噪声,进而提高信噪比;失真是由一些发生在信号获取或处理的非线性过程中所引起的,通常在失真发生之后没有办法处理。
下面对可加性噪声进行进一步的说明。考虑一个被麦克风接收的声音信号s(t)与一个附近的声音噪声源n(t)混杂,将这种接收机录制下来的合成信号表示为y(t),最简单的可加性噪声应该表示为
稍微复杂一些的可加性噪声可以表示为
这里由于声波传输路径,将噪声衰减了A倍。
更实际的可加性噪声可以表示为
该式表示噪声通过多个路径到达接收器。
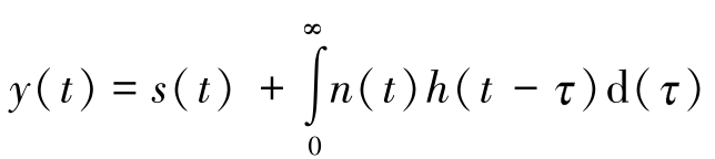
在更通常的形式下,接受到的信号表示为
这里,h(t)是噪声源到接收机的声音通道的冲激响应。因此,尽管可以很准确地知道发射的噪声源,但是为了滤除噪声,仍然需要掌握声音传输路径的响应特性。
一个时域含有噪声的正弦波,如图1.4(a)所示。在频域中可以认为这个信号具有一个固有噪声电平,如图1.4(b)所示。
图1.4 含有噪声的正弦信号
固有噪声电平限制了获取真实信号的能力。如果含有噪声的信号,其功率低于固有噪声电平的噪声功率,则很难观察到该信号。但这并不意味着不能通过信号处理恢复该信号。例如,频谱扩展接收机的输入可能有一个很明显的低于固有噪声电平的信号,但接收机解扩过程的噪声压缩技术将能够恢复信号。
一个数字移动通信的实现结构,如图1.5所示。从图1.5中可知,不同的噪声和失真叠加在这个系统中。数字信号处理的任务就是要将叠加在通信系统中的噪声/失真减少到最小,同时对其他源的衰减降到最低。下面给出该系统中噪声和失真的产生机理。
图1.5 典型移动通信系统
(1)环境噪声。来自车辆引擎的噪声和风噪声等。可以使用DSP算法、线性滤波或者自适应滤波器来处理麦克风的噪声。在接收机处,可以使用线性或自适应滤波器,以及有源噪声控制来提高信噪比。
(2)量化失真。量化失真或者噪声由ADC产生。为了提高信号质量,理论上应尽量使用位数较多的ADC,但实际上需要使用尽量少位数的ADC来降低对带宽的要求。对于一个较低位数的ADC而言,为了改善信号质量,可以使用量化噪声成形技术,或者混响技术。
(3)语音编码/压缩噪声。为了保持低的带宽需求,需要压缩语音信号。通过压缩语音信号,可保持信号的质量和信号的完整性,但需要接受某种程度的失真或保真度。
(4)调制。调制和解调过程将产生不同程度的噪声和失真,这取决于调制的方式,以及所用的滤波技术。
(5)大气/多路径噪声。当传输电磁波信号时,由于存在信号反射和其他用户的干扰等问题,将产生一定程度的噪声。因此,希望选择更好的数字编码方案来抑制噪声。
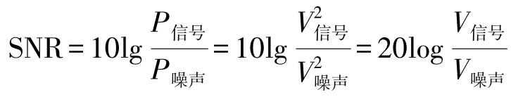
信噪比的计算方法是,取线性信号功率与噪声功率之比的对数,再乘以10,其单位为分贝(dB)。信噪比(Signal-Noise Ratio,SNR)表示为
对于一个低质量的电话线而言:
对于一个磁带而言:
分贝的表示形式有许多形式,并且每个形式都有特殊的定义。通常dB的含义是隐含的,而不是显式表示的。特别是对声音信号有很多种不同的定义,如dBA、dBm、dB SPL或dB HL。
(1)dBm单位表示相对于1mW的分贝数。dBm和W之间的关系是10lg(功率值/1mW)。对于40W的功率,按dBm单位进行折算后的值应为10lg(40W/1mW)=10lg(40000)=10lg4+10lg10000=46dBm。
(2)分贝单位为dB,加权后可以用dBA表示。以“A”加权声级度为例,在将低频率及高频率的声压级值加在一起之前,会根据公式降低声压级值。声压级值加在一起后所得数值的单位为分贝(A)。经常使用分贝(A)是因为这个指标更能准确地反映人类耳朵对频率的反应。量度声压级的仪器通常都带有加权网络,以提供分贝(A)的读数。
(3)dB SPL是声音强度的物理单位即声音真实的强度级别,表示为
式中,I表示以每平方米瓦特数(W/m 2 )作为单位的声音强度;I ref 是指10~12W/m 2 的参考强度,可近似为1000Hz频率下所能听见声音的门限值。
此外(更直观地使用声“压”电平这个名字),SPL可表示为测量得到的声音压强和参考压强的比率,即
式中:
强度与压强的平方成正比,即用对数测量声音是由于人类听力高达的线性范围,也出于对听力对数特性的考虑。正是因为听力的对数特性,声压电平增加6dB实际上并不会使响度扩大两倍。例如,强度110dB和116dB之间的差别要比40dB和46dB之间的差别大得多。听力受损的门限值大约是120dB。
值得注意的是,标准的大气压强在101300N/m 2 左右,一只小昆虫的腿施加的压强大约为10N/m 2 。所以,耳朵和其他声音测量设备用于测量极其微小的压强变化。
(4)dB HL是听力学界广泛应用的声音强度单位。即
处理模拟信号是为了提取出有用的信息,尽一切可能将噪声去除。对从电极得到的心跳信号(EGC)电压进行放大和滤波,然后滤除供电线路中50Hz的交流噪声。
可通过麦克风录制语音,通过设置低音和高音控制(低通和高通滤波器)去除噪声分量。
处理信号的主要目的是去除噪声,或者提高信噪比。这里理解噪声和失真的区别显得很重要。信号中的失真通常是由非线性引起的,并且没有直接的方法去除它们。解决失真问题的关键在于确保使用高质量的电子元器件。在信号处理中,将使用一系列的技术从信号中去除噪声,包括数字滤波、频域技术、自适应数字滤波检测理论和匹配滤波。