



本节将对“一带一路”沿线国家的工业和信息化发展水平展开评估,并选取一些国家,对其资源禀赋、优势产业、贸易环境、劳动力环境等方面进行分析,在此基础上探讨我国与这些国家在工业和信息化领域展开合作的可行性和新模式。
从工业化视角看,“一带一路”的推出表明一个和平崛起的大国的工业化进程正在产生更大的“外溢”效应。中国将与“一带一路”沿线国家通过政策沟通、设施联通、贸易畅通、资金融通、民心相通的“互通互联”,实现工业产能合作及信息产业各方面的更广、更深层次的区域经济合作,从而促进“一带一路”沿线国家产业升级、经济发展和工业化水平进一步提升,这对世界工业和信息化进程的推进意义巨大。因此,全面评价“一带一路”沿线国家的工业和信息化发展实力,有助于明确各国的综合实力及其优势、劣势,为有关部门和企业提供参考。
本书以工业和信息化领域为研究对象,选取工业和信息化的基本数据作为评价指标,重点分析了“一带一路”沿线各国的工业和信息化的综合实力和发展潜能。
1.摸清沿线国家工业和信息化发展现状
从客观数据出发,对“一带一路”沿线国家的经济增长、产业竞争力、信息化发展、基础建设、生产效率等相关情况进行具体、深入统计和评估,有助于了解“一带一路”沿线国家工业和信息化发展现状,为中国政府和企业相关部门提供决策依据。
2.评估与沿线国家合作的风险
“一带一路”工业和信息化发展指标体系的构建,对于探讨工业和信息化领域法律法规监管、货币融通、劳动力波动、政治环境、外贸和支付等方面的风险是极其必要的,可为相关部门和企业在“一带一路”实施中规避风险提供参考。
3.推动“一带一路”的研究进程
“一带一路”作为我国政府近年来的重点工作之一,学术界也给予了高度关注。围绕“一带一路”展开的研究成果层出不穷,建立“一带一路”沿线国家的工业和信息化发展指标体系可进一步完善相关领域研究体系,补充“一带一路”沿线国家的工业和信息化领域的研究内容。
本书主要测算了“一带一路”沿线的埃及、波兰、俄罗斯、泰国、土耳其、新加坡、印度、捷克等国家的工业和信息化发展情况,涉及南亚、东南亚、中东欧、中亚等地区。
“一带一路”工业和信息化发展指标体系是综合反映“一带一路”沿线国家工业和信息化发展水平的评价体系。在指标体系构建过程中,选取了具有代表性和科学性的相关指标,根据指标间的逻辑关系建立了科学分层的指数结构,使指标体系能够更加全面、科学、客观地反映“一带一路”沿线国家的工业和信息化发展情况。
在指标体系构建和测量过程中,采取了3种评分方法:指标权重设计和定性指标评分采用德尔菲法;定量指标采用无量纲化处理;对数分布及其他不均匀分布的指标,采用栅格法,依据实际数值划分若干个区间进行分档打分。在各指标的得分基础上,采用线性加权方法计算得到每个测算对象的总得分。
“一带一路”沿线国家工业和信息化增长指数和发展指数,依照由基础而产业、由产业而创新、最终实现工业和信息化协同发展的产业发展思路,基于工业增长、竞争力、创新、效率、信息化、基础设施6个分指标,赋权加总构建而成,这是一套能充分反映工业和信息化发展水平的多级指标体系。
为全面反映“一带一路”沿线各国的工业和信息化发展情况,并科学合理地衡量其增长程度,构建了“一带一路”工业和信息化增长指标体系。
1.指标体系结构
“一带一路”工业和信息化增长指标体系由工业增长、制造业竞争力、科研创新力、工业劳动效率、信息化建设、基础设施概况6个分指标加权平均而成,如表1-1所示。
表1-1 “一带一路”工业和信息化增长指标体系
2.指标赋权
采用专家打分的方法决定分指标和重要指标的权重。评分委员会由来自各界的专家、学者组成,主要包括中国社科院、北京大学、中国人民大学等科研院所和高校及相关行业协会的专家,以及工业和信息化领军企业的高管等。
首先,根据专家打分结果,对“一带一路”工业和信息化增长指标体系各分指标进行赋权。其中,“工业增长”分指标权重为25%,“制造业竞争力”分指标权重为15%,“科研创新力”分指标权重为15%,“工业劳动效率”分指标权重为25%,“信息化建设”分指标权重为10%,“基础设施概况”分指标权重为10%。然后,对各一级指标权重按照专家打分再分解,进而得出二级指标实际权重,结果如表1-2所示。
表1-2 “一带一路”沿线国家工业和信息化增长指标体系权重
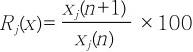
3.数据标准化方法
采用百分比的方法对数据进行标准化,以某一个国家的某项指标2011年原始数据为基准(标准化为100),后续年份的指标数值除以基准的原始数据乘以100进而得出某一个国家某项指标该年的数值。采用这一标准化方式可直观地感受到该国各项指标的增长幅度和增长潜力,公式如下:
式中,R j (x)——某国某个指标的数值;
x——某国;
j——某指标;
n——年份。
为全面反映“一带一路”沿线各国工业和信息化发展的对比情况,并科学合理地衡量其在世界工业和信息化产业中的经济地位,本节还构建了“一带一路”工业和信息化发展指标体系。
1.指标体系结构
“一带一路”工业和信息化发展指标体系由经济增长、制造业出口竞争力、科研创新力、工业劳动效率、信息化建设、基础设施概况6个分指标加权平均而成(见表1-3)。
表1-3 “一带一路”沿线国家工业和信息化发展指标体系
2.指标赋权
采用专家打分的方法决定分指标和重要指标的权重。评分委员会由来自各界的专家、学者组成,主要包括北京大学、中国人民大学、中国社科院等高校和科研院所及相关行业协会的专家,以及工业和信息化领军企业的高管等。
首先,根据专家打分结果,对“一带一路”工业和信息化增长指标进行赋权。其中,“经济增长”分指标权重为25%,“制造业出口竞争力”分指标权重为15%,“科研创新力”分指标权重为15%,“工业劳动效率”分指标权重为25%,“信息化建设”分指标权重为10%,“基础设施概况”分指标权重为10%。然后,对各一级指标权重按照专家打分再分解,进而得出二级指标实际权重,结果如表1-4所示。
表1-4 “一带一路”沿线国家工业和信息化发展指标体系权重
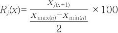
3.数据标准化方法
采用百分比的方法对数据进行标准化,以所有国家2011年最大值与最小值之和的平均值为基准(标准化设为100),其他所有指标数值除以基准的原始数据乘100,进而得出各国某项指标的数值。采用这一标准化方式可直观地感受到该国各项指标的优势和劣势,显著体现其在世界各国中的地位和竞争力。
式中,R j (x)——某国某个指标的数值;
x——某国;
j——某指标;
n——年份;
x max ——最大值;
x min ——最小值。
(1)工业增加值增长率(%):采用世界银行数据库中的原始数据进行标准化测算。
(2)人均GDP:人均GDP=GDP/人口数,以此公式进行测算。
(3)制造业各类产品国际市场占有率:制造业各类产品国际市场占有率 = 某国某类产品出口总额/世界该类产品贸易总额,原始数据来源于世界银行数据库的制造业出口总额和制造业进口总额两项指标。
(4)贸易竞争力指数:贸易竞争力指数=某国某类产品净出口额/某国某类产品贸易总额,原始数据来源于世界银行数据库的制造业出口总额和制造业进口总额两项指标。
(5)制造业出口总额:采用世界银行中制造业出口总额的原始数据进行测算。
(6)创新能力指数:采用The Global Information Technology Report中的 Capacity for Innovation指标的原始数据。该指标为1~7,1表示十分欠发达,7表示根据国际标准非常发达、高效。
(7)劳动生产率:劳动生产率 = 工业增加值/就业人数,原始数据来源于世界银行数据库中工业增加值(美元)、工业就业人口比例、就业人口总数3项指标。
(8)互联网普及率:采用世界银行数据库中互联网普及率的原始数据进行测算。
(9)人均带宽:采用The Global Information Technology Report中的Internet Band Width指标进行测算,单位为kb/s。
(10)移动互联网覆盖率:采用The Global Information Technology Report中的Mobile Network Coverage指标进行测算,单位为%。
(11)电子商务应用程度:采用The Global Information Technology Report中的Business-to-Consumer Internet Use指标进行测算,该指标为1~7,1表示十分欠发达,7表示根据国际标准非常发达、高效。
(12)人均发电量:人均发电量 = 总发电量/人口数,原始数据来源于世界银行数据库的发电量和人口总数两项指标,部分数据存在缺失的可从The Global Information Technology Report中查找进行补充。
(13)港口基础设施质量(WEF):采用世界银行数据库中港口基础设施质量(WEF)指标进行测算,该指标为1~7,1表示十分欠发达,7表示根据国际标准非常发达、高效。
(14)人均铁路里程:人均铁路里程 = 铁路总千米数/人口数,单位为千米。