



设有两个曲面S和S h ,如果S上的任意点P在S h 上都有一点P h 与之对应,而且对应点的连线PP h 是S和S h 的公法线,PP h 的长度h是一定的,即S和S h 之间的距离h处处相等,我们就称S和S h 是等距曲面,如图1-14所示。
图1-14 等距曲面
设S的方程为r=r(u,v),则其等距曲面S h 的方程为
其中h变动时可得到一系列等距曲面,因而h称为等距参数。
下面求等距曲面的主方向和主曲率。
设t为S上沿主方向的单位切矢量,若令ds为S上沿这个方向的曲线弧长的微分,则由式(1-28)可得
对于等距曲面S h 来说,ds只是一般参数的微分。根据罗德里克定理,对于曲面S有
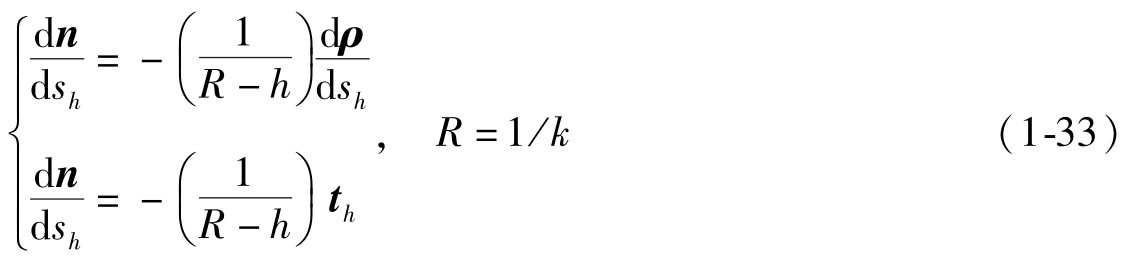
其中,k为曲面S在P点的沿主方向t的主曲率,将式 (1-30) 代入式 (1-29),得
另外,若令ds h 为曲面S h 沿t方向曲线弧长的微分,则
由式 (1-31) 可得
,代入式 (1-32),有
比较式 (1-32)、式 (1-33) 可以看出
式 (1-34) 表明:等距曲面S和S h 在对应点有相同的主方向t;若S上点的主曲率为k=1/R,则S h 上对应点的主曲率为