



图1-27(a)所示电路能运用欧姆定律及电阻器的串、并联方法,进行化简、计算电路中的3个电流,称为简单电路。图1-27(b)中有3个电阻器,2个电源,看似很简单,可是不能直接用电阻器串、并联化简,以及欧姆定律求解,这样的电路称为复杂电路
分析复杂电路要用基尔霍夫定律。基尔霍夫定律是分析和计算电路的基本定律,它包括电流定律和电压定律。为了便于讨论,先以图1-27(b)为例介绍几个有关复杂电路的术语。
图1-27 简单电路和复杂电路
(1)支路:电路中流过同一电流的一个分支称为一条支路,即每条支路只可确定一个电流。如图1-27(b)中有3条支路。其中,含有电源的支路称有源支路,不含电源的支路称无源支路。
(2)节点:三条或三条以上支路的连接点称为节点。如图1-27(b)中就有2个节点,即A、B。
(3)回路:由若干支路组成的闭合路径,其中每个节点只经过一次,这条闭合路径称为回路。如图1-27(b)中就有3个回路。即ABDCA,ABFEA,CDFEC。
(4)网孔:网孔是回路的一种。内部不另含有支路的回路称为网孔。如图1-27(b)中就有2个网孔,即ABDCA,ABFEA。
基尔霍夫电流定律,简写为KCL,又称节点电流定理。是反映电路中连接在同一节点的各支路电流间的约束关系。根据电荷守恒定律及电流的连续性原理,KCL定律可表述为:在电路中,任何时刻,流入一个节点电流之和等于流出该节点电流之和。
对图1-27(b)中的节点A,应用KCL则有
将上式可改写成
写出一般式子,为
基尔霍夫电流定律的另一种说法:任何时刻,对任意节点所有支路电流的代数和等于零。
在式(1-42)中,流入节点的电流前取“+”号,流出节点的电流前取“-”号,而电流是流出节点还是流入节点均按电流的参考方向而定。
基尔霍夫电流定律也可以把它推广运用于电路的任一假设的封闭面。因为对一个封闭面来说,电流仍然是连续的,所以通过该封闭面的电流的代数和也等于零,也就是说,流出封闭面的电流等于流入封闭面的电流。
基尔霍夫电压定律,简写为KVL,又称回路电压定理。是反映电路中对组成任意回路的所有支路电压之间的相互约束关系。表述如下。
在电路中,任何时刻,沿着任一个回路绕行一周,所有支路电压的代数和恒等于零。用数学表达式表示为
在写出式(1-43)时,先要任意规定回路绕行的方向,凡支路电压的参考方向与回路绕行方向一致者,此电压前面取“+”号,支路电压的参考方向与回路绕行方向相反者,则电压前面取“-”号。
在图1-27(b)中,对回路ABDCA,应用KVL,有
对回路ABFEA,应用KVL,有
KVL通常用于闭合回路,但也可推广应用到任一不闭合的电路上。如果一个闭合节点序列不构成回路,例如,图1-27(b)中的节点序列ABDCA,若在节点AB之间没有支路,但节点AB之间有开路电压U AB ,KVL同样适用于这样的闭合节点序列,即有
电路中任意两点间的电压是与计算路径无关的,所以,基尔霍夫电压定律实质是两点间电压与计算路径无关这一性质的具体表现。
分析复杂电路主要依据欧姆定律及基尔霍夫定律。
支路电流法是电路分析的最基本的方法之一。它以支路电流为未知量,直接应用KCL和KVL,分别对节点和回路列出所需的方程式,然后联立求解出各未知电流。
支路电流法分析计算电路的一般步骤如下(设电路有b条支路,n个节点):
(1)在电路图中选定各支路(b条)电流的参考方向,设出各支路电流。
(2)对独立节点列出(n-1)个KCL方程。
(3)通常取网孔列写KVL方程,设定各网孔绕行方向,列出b-(n-1)个独立KVL方程。
(4)联立求解上述b个独立方程,便得出待求的各支路电流。
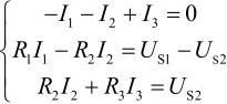
【例1.10】 图1-28所示电路中,U s1 =130V、R 1 =1Ω为直流发电机的模型,电阻性负载R 3 =24Ω,U s2 =117V、R 2 =0.6Ω为蓄电池组的模型。试求各支路电流和各元件的功率。
图1-28 支路电流法举例,例1-10
解:以支路电流为变量,应用KCL、KVL列出方程(网孔取顺时针绕行方向)
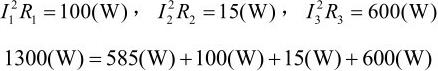
解得I 1 =10A,I 2 =-5A,I 3 =5A。
I 2 为负值,表明它的实际方向与所选参考方向相反,
这个电池组在充电时是负载。
U S1 发出的功率为
U S2 发出的功率为
即U S2 吸收功率585W。各电阻器吸收的功率为
功率平衡,表明计算正确。