



在模拟量控制中,A/D转换和 D/A转换是必不可少的环节。当模拟量通过 A/D转换器转换成数字量后,数字量和模拟量之间存在一定对应关系,这种对应关系称为转换标定。同样,当数字量被转换成模拟量后,它们之间的对应关系也称为标定。标定是指转换前后的两种量的对应关系,这种对应关系一般用函数关系曲线或表格来表示,所以标定又称为输出-输入特性、I/O特性、输出特性等。
图1-27所示为三菱FX 2N PLC的模拟量输入模块FX 2N -4AD的标定图示(仅画出其中两种标定关系)。
图1-27 FX 2N -4AD标定
由标定图示,可以得到下面一些信息。
1)模拟量和数字量之间的函数关系
由图中可以看出,不论是电压输入还是电流输入,输出数字量和它们呈线性关系,而电压输入还是正比例关系。
2)输入模拟量和输出数字量的量程范围
标定不但规定了输入和输出的转换关系,同时还给出了输入和输出的最大、最小模拟量范围。图中电压输入为-10~+10V,转换数字量为-2000~+2000;电流输入为4~20mA,转换后数字量为0~1000。
3)分辨率
标定还显示了对模拟量转换的分辨率。这里的分辨率是指单位数字量所表示的最小模拟量的值。分辨率的计算公式是:分辨率=最大模拟量÷最大数字量。
例如,图1-27(a)所示的最大模拟电压为 10V,转换后最大数字量为 2000,则分辨率=10V/2000=5mV。同样,图1-27(b)所示的分辨率为20mA/1000=20μA。
分辨率5mV的含义是只有当电压变化达到5mV时,数字量才增加1。换句话说,模拟量50~54mV转换成数字量都是10,达到 55mV才为11。转换后的数字量所表示的模拟量都是5mV的整数倍。
标定变换有两种情况:一种是用新的线性标定代替原来的线性标定,三菱FX 2N 的模拟量模块属于这种情况;另一种是用非线性关系代替原有的线性标定。这里仅讨论第一种情况。
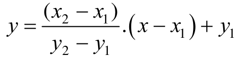
由代数知识可知,只要知道直线上任意两点的坐标( x 1 , y 1 ),( x 2 , y 2 ),根据二点式直线方程公式就可写出过这两点的直线方程表达式。
如果想把原来的直线 L 1 变换成 L 2 ,如图1-28所示。最基本的方法是,找到直线 L 2 的两个坐标点,再代入上述公式得到L 2 的直线方程。
在PLC中,知道直线L的表达式后,把该直线编制成运算程序,然后每输入一个 x 值就会通过运算得到一个 y 输出。在程序中, x 1 、 y 1 、 x 2 、 y 2 都要占用一个存储器,如果要变换标定,则要重新输入4个存储器值。为了减少重新输入的值,可以把其中的两个点的 x 值固定不动,这时只要重新输入两个 y 值,就可以确立一个新的线性关系式了,如图1-29所示。L 1 的两个点是 A ( x 1 , y 1 ), B ( x 2 , y 2 )。要把标定 L 1 变换成新的标定 L 2 ,则只需要重新设置 y 1 和 y 2 的值即可。
图1-28 标定变换示意图(一)
图1-29 标定变换示意图(二)
三菱 FX 2N 模拟量模块就是根据这个原理进行标定变换的。图1-30所示为三菱 FX 2N -4DA的标定。
定义:零点——数字量为0时的模拟量值。
增益——数字量为1000时的模拟量值。
在进行具体标定变换时,只要将新的零点和增益的值送入相应的存储器,标定就已经进行了变换。
【例1】如图1-30所示,图中L 1 为某模拟量输出模块的输出标定。L 2 为进行标定变换后的新标定。试通过对标定的分析,指出原来的标定零点与增益是多少?变换后的零点与增益是多少?
图1-30 FX 2N -4AD标定
根据两点式直线方程,可推导出L 1 、L 2 的方程式为
分别用 x =1000代入,得: y 1 =5V, y 2 =6.25V
所以,原来的标定时 L 1 的零点为 0,增益为 5V;变换后的标定时 L 2 的零点为 5V,增益为6.25V。