购买
下载掌阅APP,畅读海量书库
立即打开
畅读海量书库
扫码下载掌阅APP

4.2 正数表示方法

本节将介绍正数的表示方法,内容主要包括正整数的表示和正小数的表示。

4.2.1 正整数的表示

下面将介绍不同进制正整数的表示方法:

(1)对于一个4位十进制数7531,用10的幂次方表示为

7×10 3 +5×10 2 +3×10 1 +1×10 0

(2)对于一个5位二进制数10101,用2的幂次方表示为

1×2 4 +0×2 3 +1×2 2 +0×2 1 +1×2 0

该二进制数等价于十进制数21。

(3)对于一个3位八进制数327,用8的幂次方表示为

3×8 2 +2×8 1 +7×8 0

该八进制数等价于十进制数215。

(4)对于一个4位十六进制数13AF,用16的幂次方表示为

1×16 3 +3×16 2 +A×16 1 +F×16 0

注:A等效于十进制数10,F等效于十进制数15。

该十六进制数等价于十进制数5039。

推广总结:

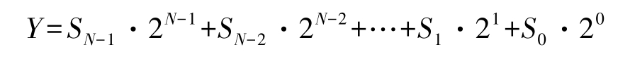
(1)对于一个 N 位的2进制数,最低位为第0位,最高位为第 N -1位,其计算公式为

img

其中:

S i 为第 i 位二进制数的值,取值为0或者1;

②2 i 为第 i 位二进制数所对应的权值;

Y 为等效的十进制数。

(2)对于一个 N 位的八进制数,最低位为第0位,最高位为第 N -1位,其计算公式为

img

其中:

S i 为第 i 位八进制数的值,取值范围为0~7;

②8 i 为第 i 位八进制数所对应的权值;

Y 为等效的十进制数。

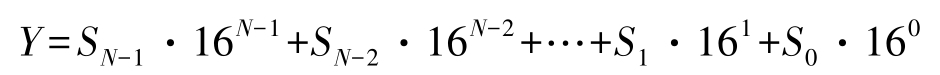
(3)对于一个 N 位的16进制数,最低位为第0位,最高位为第 N -1位,其计算公式为

img

其中:

S i 为第 i 位十六进制数的值,取值范围为0~9和A~F;

②16 i 为第 i 位十六进制数所对应的权值;

Y 为等效的十进制数。

从上面的表示方法,可以得到一个重要的结论,即不同进制的数,其实就是数字和对应的权值相乘,然后进行相加得到的结果。

4.2.2 正小数的表示

前面介绍了不同进制正整数的表示方法,对于不同进制的正小数,又该如何表示呢?

(1)对于一个三位十进制小数0.714,用10的幂次方表示为

7×10 -1 +1×10 -2 +4×10 -3

(2)对于一个五位二进制小数0.10101,用2的幂次方表示为

1×2 -1 +0×2 -2 +1×2 -3 +0×2 -4 +1×2 -5

其等效于十进制小数0.65625

推广总结:

对于一个 N 位的二进制小数,最高位为第0位,最低位为第 N -1位,其计算公式为

img

其中:

S i 为第 i 位二进制小数的值,取值为0或者1;

②2 -( i +1) 为第 i 位二进制小数所对应的权值;

Y 为等效的十进制小数。

从上面可以看出,二进制正整数和二进制正小数的区别在于,二进制正整数的权值为整数,而二进制正小数的权值为小数。

注:对于一个即包含整数,又包含小数的二进制数来说,就是将整数部分和小数部分分别用正整数二进制计算公式和正小数二进制计算公式表示。 Nl4jDDqFe0XpUW1FPrRkc1pxNYZQfJUKTqrF8ziOytou3qSV1aEGzTPt6/WXzWDA

点击中间区域
呼出菜单
上一章
目录
下一章
×