



在折现现金流估值中,最令人头疼的事情莫过于如何估计增长率。不同于能找到可靠历史数据的现金流和折现率,增长率则要求我们了解未来。在本节中,我们将探讨为什么股票和营业利润的增长率不同,并介绍估计增长率的两种标准方法(基于历史数据和使用分析师的估计值)。本节最后将阐述决定增长率的基本因素。
如同现金流和折现率一样,我们同样需要对股权收益的增长率与营业利润的增长率进行严格区分。为区别这两者,我们不妨考虑一下表2-4中显示的这张简化版利润表。
表2-4 利润表:从收入到每股收益
我们假设,该公司没有在其他公司持有少数股权,因为持有控制性股权或少数股权带来的投资收益,会在利润表中净利润项目之上增加一个项目,从而改变公司的净利润,此外,针对少数股权的投资者还形成了一个收益扣减项目。
对大多数公司来说,不同收益指标(营业利润、净利润和每股收益)的增长率往往会有所不同,这对成长型企业和转型企业尤为明显。
· 股票的发行和回购 :如果公司的股票数量保持不变,那么每股收益的增长率就应与净收益增长率保持一致。如果公司能创造超额现金流,并使用这些超额现金流回购股票,那么其每股盈利增长率就会高于净收益增长率。反之,对于为投资或收购而筹集新股权资金(发行新股)的公司,其净收益的增长率则高于每股收益增长率。
· 财务杠杆 :如果净利息费用(利息费用减利息收入)的增长率不同于营业利润的增长率,那么营业利润和净利润的增长率就有可能出现差异。当公司通过增加债务规模为其经营提供资金时,公司的营业利润增长率会高于净利润增长率。然而,如果将债务融资用于回购股票,流通股数量的减少就会导致每股收益增加。
· 经营杠杆 :营业利润的增长可能会与收入增长相去甚远,这主要是因为某些营业费用是固定的,而其他营业费用则是可变的。在总成本中,固定成本比例越高(相对于经营杠杆率越高),营业利润增长率相对于收入增长率就会越高。
实际上,当被问及估计增长率时,分析师首先需要问的问题就是:“哪个项目的增长率?”如果我们的任务是估计营业利润的增长率,那我们就不能使用每股收益的增长率。
在估计增长率时,分析师往往会把目光不由自主地转向过去,这不难理解。实际上,他们就是把最近的收入或利润增长率作为衡量未来增长的预测指标。但是在我们深入探讨这种做法之前,还有必要补充一点:基于以下诸多原因,同一公司的历史增长率可能会带来不同的估计值:
· 盈利指标 :正如我们曾提到的那样,即便对同一家公司,特定时间段内的每股收益、净利润、营业利润和收入增长率也可能会有很大差异。
· 分析的时间段 :对于已存续很长时间的公司,如果我们将时间段锁定在10年而不是5年,那么,其增长率会有很大不同。
· 平均化的方法 :即使采用相同的盈利指标和分析的时间段,我们得到的增长率依旧有可能不同,因为它还取决于我们计算价值所采用的方法。举例来说,我们可以计算每个时间段的增长率,再对各时间段的增长率进行平均,得出算术平均值。或者,我们也可以只采用某个指标在期间开始和结束时的数值,计算该指标的几何平均值。对收益波动较大的公司而言,后者得到的增长率数值可能完全不同于前者得到的结果。
至于如何对历史增长率进行最合理的估计,唯一的标准就是它能否对未来增长做出合理预测。遗憾的是,针对这种关系的研究往往只能得出如下结论:
·历史增长和未来增长之间的关联性非常孱弱。
·递减效应不可忽视——随着公司的成长,其增长率必然会大幅下降。
·从事周期性或大宗商品行业的企业,必然要经历成长周期,在享受了高增长阶段之后,低增长阶段会不请自来。
如果说历史增长并不是未来增长最有效的预测指标,那么我们还可以通过其他手段来预测未来增长。我们可以借鉴那些比我们更了解公司的人——追踪公司多年的股票分析师或是公司的管理人员,并采用他们对增长率做出的估计。从有利的方面来说,这些预测所依赖的信息基础应好于我们所掌握的信息。毕竟管理者应该更清楚,他们将在自己的企业中投入多少资金,以及这种投资可能给他们带来的收益是多少。股票分析师拥有丰富的行业经验和可靠的信息渠道,因而掌握了更多、更好的信息。但这也会带来消极的一面,无论是公司的管理者还是股票分析师,都不可能对未来持有完全中立、客观的态度;管理人员更有可能高估企业的增长能力,而分析师也难免会有自己的偏见。此外,分析师和管理者都有可能被当下的市场情绪所左右,导致他们倾向于在繁荣时期高估增长,在衰退时期低估增长。与历史增长指标一样,研究显示,无论是分析师的预测还是管理层的预测,都不能很好地对未来增长进行预测。
如果我们不能借鉴历史或是信赖管理者和分析师的预测,那我们该如何估计增长率呢?答案就在于公司内部的基本面,因为只有基本面才是最终决定增长率的根源。在本节中,我们将考虑两个方面的增长源泉——旨在扩大业务规模的新增投资以及针对现有投资效率的改进。
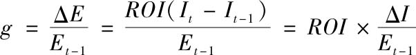
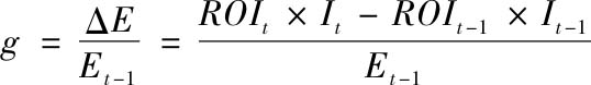
增长的分解 认识盈利增长率最好的方法,就是把它分解成若干组成部分。我们将E t 定义为第t期的收益,I t 代表第t期开始时已完成的全部投资,ROI t 为这些投资的收益率。于是,我们可以将E t 改写为:
随后,从第t-1期到第t期的收益变动额ΔE,可以表述为如下公式:
增长率以ΔE和E t-1 来表示:
不妨只考虑最简单的情景,即投资收益率保持稳定,在各期间维持不变(即ROI=ROI t =ROI t-1 )。于是,这家公司的收益增长率为:
换句话说,公司的增长率完全是两个变量的函数——新增投资的收益率(ROI)以及收益中投入转换为新增投资的比例
。
但更普遍的情景是,投资收益在不同时期是持续变化的。在这种情况下,我们可以将预期增长率表述为:
上述公式基于这样一个假设:第t期新增投资的收益率等于该期现有投资的收益率。事实上,我们可以让上述公式进一步回归现实。假如我们让新增投资的收益率(ROI 新,t )不等于现有资产的收益率(ROI 现有,t ),那么,对预期增长率就可以做如下表述:
在这个等式中,第一项反映了新增投资的增长,它等于这些投资的边际收益乘以收益中用于新增投资的比例。第二项反映了投资收益对现有资产投资收益率变化的影响,我们将这个部分称为效率增长(efficiency growth)。投资收益率的提高(提高效率)将带来额外的收益增长,而效率下降(对应于投资收益率的下降)则会减少收益增长。
来自新增投资的增长 虽然投资和投资收益率属于最常见的术语,但如何定义它们还取决于我们强调的是股权收益还是营业利润。在考虑股权收益时,我们强调的是来自投资的股权部分,其收益率对应于股权收益率。但是在考虑营业利润时,我们关注的则是总投资,因此,收益率就对应于资本收益率。在本章开始时介绍的现金流定义中,我们将投资变化确定为再投资,而对再投资的衡量标准则是变化的,依赖于被折现的现金流。在股息折扣模型中,再投资被定义为留存收益(所有没有作为股息支付的收益)。而在股权(公司)自由现金流模型中,再投资则是按股权再投资率(再投资率)定义的。
在所有针对基本面增长的估计中,核心都是资本收益率或股权收益率的估计。表2-5汇总了以现金流为基础的每一项指标的输入参数。
表2-5 衡量投资及投资收益率的指标
采用投资和投资回报率的会计指标是传统的做法。因此,股权账面价值、已投入资本的账面价值和会计利润面值均可用于计算资本收益率和股权收率益:
在上述两个指标中使用会计数据,存在的问题已被诸多研究所证实。因为会计上对重组费用、费用摊销和资本化的处理方式均会影响最终结果。
最后一个需要考虑的问题是边际收益率和平均收益率之间的差异。需要提醒的是,我们用来计算新增资本增长所采用的投资收益率,应该是仅靠这些投资取得的收益率,也就是说,它是边际收益率,而现有资产的收益率则是已有投资组合的平均收益率。在估值中,尽管我们对这两个数字采用相同的数值,但它们在实务中可能会有所不同。
效率增长 对很多鲜有投资机会的成熟型企业来说,新投资带来的增长潜力是有限的。这些公司很难维持较高的再投资率,因而也难以通过再投资取得较高的资本收益率。但如果能提高现有资产的收益率,这些公司依旧可以维持可观的增长率。相反,如果现有资产的收益率下降,就有可能导致收益增长率下降。因此,如采用不同的收益指标,我们可以将效率增长表述为表2-6所示的形式。
表2-6 收益效率增长的决定因素
在对公司进行估值时,效率增长创造的价值完全是一笔意外之财,因为这种增长无须增加任何投资成本。在通过新投资实现的增长中,增长创造的正效应必然要受到再投资成本的抵消,而通过提高效率带来的增长,则是通过改善现有资产收益率提高增长率,不会给现金流带来不利影响。因此,我们经常不难看到,那些试图增加公司价值的分析师,总会以效率论为远超过按基本面估值的增长率寻找借口。
虽然效率增长的潜力始终存在,但我们到底能在多大程度上利用这种增长,归根到底还要给出某些常识性的制约条件:
·和业绩优异的企业相比,资本(股权)收益率较低的成熟型企业往往拥有更大的效率增长潜力。之所以这样说,是出于如下两个原因。首先,相比于那些业绩已经远超行业水平的企业,资本收益率远低于行业平均水平的企业显然有更大的改善空间,因而也是它们最现实可行的方案。其次,和资本收益率处于较高水平时相比,改善收益能力在低资本收益率情况下带来的影响要大得多。如果一家公司的资本收益率从5%提高到6%,那么由效率带来的同期增长率为20%。另外,如果公司的资本收益率从25%提高到26%,那么企业同期因效率改善而带来的增长率仅为4%。
·只能以效率提高来解释有限期间内的增长。毕竟,任何公司都不可能永远地处于无效或低效状态。不管效率多么低下,一旦得到解决,公司就必然会在新增投资的基础上恢复可持续增长。在折现现金流估值模型中,这种制约会产生实实在在的结果:虽然我们可以用效率和新增投资来解释高增长时期的增长,但只能用新增投资来解释永续增长(体现于终值的计算)。
具体企业的增长既有可能来自新增投资,也可能源于效率的提高,但归根到底,增长都需要投入。不能因为我们喜欢公司的管理者或是希望提高公司价值,就毫无依据地为这家公司赋予更高的增长率。
要预测未来的增长率,合理的起点就是估计3M公司历史上的收益增长率。考虑我们对收益的不同定义以及所用时间段的不同,我们在图2-9中给出了针对3M公司的历史收益增长率的不同估计结果。
需要提醒的是,我们所得到的历史收益增长率相去甚远。2008年9月,分析师估计未来5年年均每股收益增长率为8%~9%。
但是从基本面上来看,考虑到目前原本已很高的资本收益率和股权收益率,3M公司似乎不大可能在效率增长方面大展宏图,但关键就在于对新资产的再投资。这种再投资与新增投资的高资本收益率相互叠加,共同带来了可观的增长率。表2-7采用我们为3M公司估计的再投资及收益特征,总结了股息、非现金净利润和税后营业利润的增长情况。
图2-9 3M公司的历史收益增长率
表2-7 股息、净利润和税后营业利润:基于基本面的考量 (%)
请注意,上述结果已非常接近对3M公司上一年度再投资率和资本收益率的估计。但我们大幅改变了未来几年的股权再投资率,以反映该指标在2003~2007年的历史平均水平。与此同时,我们还出于同样的原因下调了非现金股权收益率。