



最简单的金融工具往往是最有效的。今天的1美元比未来的1美元更有价值,这是一个很直观的道理,对大多数人来说,他们无须利用模型和数学公式就能理解。基于现值原则,我们可以准确计算未来1美元的价值,并可比较不同阶段的现金流。
为什么未来现金流的价值会低于当前相类似的现金流的价值?原因有三:
1.人们更愿意在当前消费,而不是把钱留在未来消费。
2.通货膨胀会降低现金在未来的购买力。未来1美元的购买力不及当前1美元的购买力。
3.承诺性现金流在将来未必会兑现。这种等待是有风险的。
对未来现金流进行调整以使其反映这些因素的过程被称为贴现,而这些因素的价值则会反映在贴现率中。贴现率可以视做预期实际收益(反映消费偏好)、预期通货膨胀(挤占现金流的购买力)和与现金流相关的不确定性溢价的合成体。
通过贴现,未来现金流可以转换为当前的现金流。就类型而言,现金流可以分为5种:简单现金流、年金、增长年金、永续年金和增长永续年金。
简单现金流是将来某一特定时期内的单笔现金流。通过贴现,现金流可以转换为当前的美元(或现值)。如此一来,使用者便可对不同时间点的现金流进行比较。现金流现值的计算方法为:
由此可见,计算10年后1000美元的现值,若贴现率为8%,则:
在其他条件不变的情况下,未来1美元的价值会随着时间的推移而不断减少,而你对获得这1美元的不确定性也会日渐增加。
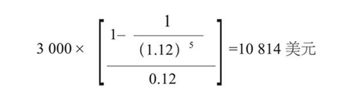
年金是指在一个固定期限内定期产生的固定现金流。你可以通过贴现计算每一笔现金流的现值,然后将所得数字相加,你也可以用下面这个方程式进行计算:
为进一步说明,我们假定,你可以以10000美元现款购买一辆汽车,也可以采用分期付款的方式,分5年还清,每年年底支付3000美元。如果贴现率为12%,那么分期付款计划的现值就是:
从现值来看,现款交易的成本要低于分期付款计划的成本。
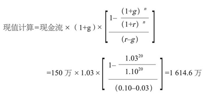
增长年金是指,在特定时期内以固定利率增长的现金流。假设你有一座金矿,去年一年产生的现金流为150万美元,而且预计在接下来的20年间还会继续产生现金流。假定现金流的增长率为3%,而基于你对这些现金流的不确定性,贴现率为10%,那么该金矿中黄金的现值为1614.6万美元,以下为现值计算的等式和现金流。
你也可以计算每一笔现金流的现值,然后再将所得数字相加,其总和是一样的;该值会随着增长率的上升而增加,同时也会随着贴现率的上升而减少。
永续年金是指定期持续产生的固定现金流,其现值为现金流除以贴现率。对永续年金来说,最常见的例子就是永续债券,即持续支付固定利息(或息票)的债券。
一笔每年支付60美元息票的永续债券,如果贴现率为9%,那么其价值为:
增长永续年金是指有望有固定增长率持续增长的现金流。永续年金的现值可以表示为:
虽然增长永续年金和增长年金存在一些共同之处,但由于增长永续年金是持续存在的,所以其增长率也会受到限制。要使方程式成立,增长率必须低于贴现率,但一个更为严格的条件是,该增长率必须低于经济的名义增长率,因为没有任何一项资产的现金流的增长速度会永远快于经济的增长速度。
举一个简单的例子。假设你正在评估一只前一年股息为2美元的股票,且你期望这些股息能以每年2%的速度持续增长;考虑到它的风险,你对这笔投资所要求的回报率为8%。基于这些输入数据,你可以利用永续增长模型来评估该股票:
对于所有的金融资产来说,这些现金流都是最根本的基石。债券、股票或房地产最终都可以分解为不同的现金流。如果你可以折现这些现金流,那么就可以评估所有的资产。