购买
下载掌阅APP,畅读海量书库
立即打开
畅读海量书库
扫码下载掌阅APP

三、计算题

1 假定某人2016年的年收入正好达到30万。从2014年开始,价格指数100,2016年价格指数125。月收入8000以下不收税,8000到20000百分之五,20000以上10%。2016年名义收入纳税多少?实际收入纳税多少?政府税收因为通货膨胀增加了多少? [南京大学2019研]

解: (1)由题可知,月收入为:300000/12=25000(元);

2016年每月纳税额为:T=(20000-8000)×5%+(25000-20000)×10%=1100(元);

全年纳税额为:1100×12=13200(元)。

(2)以2014年为基期,2016年剔除通货膨胀因素后的实际月收入为:(300000/1.25)/12=20000(元)。

剔除通货膨胀因素后的每月纳税额为:T=(20000-8000)×5%=600(元)。

剔除通货膨胀因素后的全年纳税额为:600×12=7200(元)。

通货膨胀导致政府收入年增加额为:13200-7200=6000(元)。

2 总需求Y=700+0.5M/P,总供给Y=(P-P e )+1000,假设初始时P=P e ,求:

(1)若货币供给从600上涨到720,且被预期到,则均衡价格、均衡产出将如何变化?

(2)若没有被预期到,则短期均衡价格和均衡产出如何变化,长期均衡价格、均衡产出为多少?[南京大学2018研]

解: (1)初始时P=P e ,则由总供给方程得出Y=1000。将Y=1000和M=600代入总需求方程,得到P=1。

货币供给增长后,由于货币供给的增长已被预期到,所以P=P e ,由总供给方程得知Y=1000,与货币供给增长前相同。将M=720,Y=1000代入总需求方程,得出P=1.2,上涨了20%。

(2)①短期内,预期价格为原值1。联立总供给和总需求方程:Y=700+0.5×720/P,Y=P-1+1000。解得:P=1.1992,Y=1000.1992。

②在长期,实际价格与预期价格相等,由(1)得均衡价格为P=1.2,均衡产出为Y=1000。

3 假设某国的社会总生产函数为:Y=K θ (αL×E) 1 θ ,其中K代表着资本存量,L是总人口,E是劳动生产率,α是劳动参与率,其中0<α≤1,1/2<θ<1。需要额外注意的是在该国,只有αL人口是劳动力。

该国的储蓄率为s,资本折旧率为δ,人口的增长速度为n,劳动生产率的增长率为g,其中0<s<1,0<δ<1。定义每个效率工人的资本为k=K/(αL×E)。

(1)计算稳态时的每个效率工人的资本表达式。

(2)为了获得黄金规则下的每个效率工人的资本,对应的储蓄率应该为多少?

(3)假设该国当前经济处于稳态,由于该国实施延迟退休的政策,使得劳动参与率提高。请分析该政策对该国稳态时每个效率工人的资本以及总产出的影响,并用图形来表示每个效率工人的资本和总产出增长速度随着时间变化的趋势。[中山大学2019研]

解: (1)由题可知:Y=K θ (αL×E) 1 θ ,y=Y/L,k=K/L。

稳态时,Δk=sf(k * )-(n+g+δ)k * ,而稳态时Δk=0,所以sy * =(n+g+δ)k *

即:sY * =(n+g+δ)K *

s(K * θ (αL×E) 1 θ =(n+g+δ)K *

s[(αL×E)/K * ] 1 θ =(n+g+δ)

而每个效率工人的资本为:k * =K * /(αL×E)。将其代入上式可得:

k * =[s/(n+g+δ)] 1/ 1 θ ,其中0<s<1,0<δ<1,0<1-θ<1/2。

(2)资本的黄金律条件为:MPK=δ。

Y′=[K θ (αL×E) 1 θ ]′,为了达到黄金律稳定状态,需要储蓄率sg。

(3)劳动参与率提高后,αL×E提高,参加劳动的劳动人口增加。由于0<1-θ<1/2,(αL×E)>0,所以k也增加,即稳态时每个效率工人的资本都增加了。

图5 稳态的人均资本和产出

从图5可以看出,每个效率工人的资本增速不变,但总产出增速放缓。

4 假定某经济的社会消费函数为C=300+0.8Y d (其中Y d 为可支配收入),私人投资I=200,税收函数为T=0.2Y。求:

(1)如果均衡收入为2000,那么政府购买是多少?政府预算盈余是多少?

(2)政府购买不变,如果将税收提高到T=0.25Y,均衡收入的变化量是多少?[山东大学2019研]

解: (1)三部门经济收入恒等式为Y=C+I+G,即:Y=300+0.8(Y-0.2Y)+200+G。

化简得G=0.36Y-500。

代入题干信息得G=0.36×2000-500=220。

预算盈余BS=T-G=0.2×2000-220=180。

即均衡收入为2000时,政府购买是220,政府预算盈余是180。

(2)政府购买不变,三部门经济收入恒等式Y=C+I+G=300+0.8(Y-0.25Y)+200+220。

解得Y=1800,ΔY=1800-2000=-200。

政府购买不变,如果将税收提高到T=0.25Y,均衡收入减少了200。

5 假设某商品美国第一年的价格水平P 1 =100,英国的价格水平为P 1f =100。如果它们第二年的价格水平分别为P 2 =180和P 2f =130。汇率最初是2美元换1英镑。(注意:此题中的汇率表示方法为1单位外币可以换几单位本币)

问:(1)如果在这期间(第一年到第二年)实际汇率保持稳定,第二年的(名义)汇率是多少?

(2)如果实际汇率eP/P f 在第二年间下降了50%,第二年的(名义)汇率是多少?[山东大学2018研]

解: (1)第一年的实际汇率为:ε 1 =e 1 P 1 /P 1f =2×100/100=2。第二年的实际汇率保持不变,即ε 1 =ε 2 =2,则第二年的名义汇率为:e 2 =ε 2 P 2f /P 2 =2×130/180=13/9。

(2)第二年的实际汇率为:ε 2 =ε 1 (1-50%)=2×(1-50%)=1。

则第二年的名义汇率为:e 2 =ε 2 P 2f /P 2 =1×130/180=13/18。

6 已知产品市场的均衡条件为Y=850-25r,货币市场的均衡条件为Y=-500+5(M S /P)+10r,经济在Y=650时达到充分就业,如果名义货币供给M S =200、物价水平P=1,试求:

(1)是否存在通货膨胀压力?

(2)当物价水平为何值时,才能实现宏观经济的一般均衡?[中南财经政法大学2017研]

解: (1)当M S =200,P=1,根据均衡条件850-25r=-500+5(M S /P)+10r,产品市场和货币市场同时均衡的利率为r=10,所以均衡国民收入为Y=600。由于均衡国民收入为Y=600,小于充分就业时的国民收入650,因此不存在通货膨胀的压力。

(2)根据已知条件,由Y=850-25r得,r=(850-Y)/25,将该式及M S =200代入货币市场均衡条件中,得Y=-500+5×200/P+10×(850-Y)/25,在一般均衡时,Y=650,从而可求得其物价水平为P=0.935。

7 假定生产函数为柯布-道格拉斯形式:Y=(uK) a L 1 a ,其中K,L分别是资本存量水平和劳动力投入水平,u是资本利用率,0<a<1。人口按照速率n增大,资本折旧率为δ,储蓄率为s。根据索洛模型回答下列问题。

(1)求出稳态时的资本-产出比率、稳态人均资本存量水平与黄金率水平;

(2)分析资本利用率改变对人均产出的即刻影响和随着时间的推移的动态影响。[上海财经大学2017研]

解: (1)由生产函数Y=(uK) a L 1 a 可知Y/L=(uK) a L 1 a /L=(uK/L) a

设y=Y/L,k=K/L,则y=u a k a 。式中,u a 是常数。

稳态时,dk/dt=0,即:

dk/dt=d(K/L)/dt=[(dK/dt)-k(dL/dt)]/L

代入资本的演化方程式dK/dt=sY-δK和人口增长率(dL/dt)/L=n,稳态时有:

dk/dt=(sY-δK)/L-kn=sy-δk-kn=0

即sy=k(n+δ)。

稳态时的资本-产出比率K/Y=k/y=s/(n+δ)。

将y=u a k a 代入sy=k(n+δ),解得k=[(n+δ)/(su a )] 1/ a 1 ,这就是稳态人均资本存量水平。

黄金率水平下,人均消费c=y-sy=u a k a -k(n+δ)最大,即dc/dk=au a k a 1 -(n+δ)=0,解得k gold * =[au a /(n+δ)] 1/ 1 a

(2)假设资本利用率在t 0 时点上从u 0 上升到u 1 ,然而在这一瞬间资本利用率的改变并不会影响稳态下的人均资本存量,所以资本利用率上升的即刻影响是人均产出y由y=(u 0 a (k * a 变为y=(u 1 a (k * a 。然而随着时间的推移,人均资本存量会上升,最终重新均衡,之后人均资本存量为k * ,重新达到稳态后的人均产出为y=(u 1 a (k * a

此外,dy/dt=auk a 1 k,在t 0 之前,经济处于均衡状态下 k · =0,所以dy/dt=0。在资本利用率变化后,且经济重新达到平衡t 1 之后仍有 k · =0,所以dy/dt=0。然而在t 0 到t 1 之间 k · >0,所以dy/dt>0,且在此期间d k · /dt<0。综上所述可以得出以下图形:

图6 资本利用率改变对人均产出的影响

8 已知y=2k-0.1k 2 ,储蓄率0.25,人口增长率0.02。

(1)人均资本积累动态方程;

(2)稳态人均资本和人均产出;

(3)稳态人均产出增长率;

(4)稳态总产出增长率;

(5)黄金律下的人均资本量。[复旦大学2018研]

解: (1)人均资本积累动态方程为:

Δk=sy-nk=0.25(2k-0.1k 2 )-0.02k=0.48k-0.025k 2

(2)稳态要求Δk=0.48k-0.025k 2 =0,解得k=19.2,即稳态人均资本是19.2。

将k=19.2代入y=2k-0.1k 2 ,得1.536,即稳态人均产出是1.536。

(3)稳态人均产出增长率为0。

(4)稳态总产出增长率等于人口增长率,为0.02。

(5)按黄金律要求,对个人的资本量的选择应使得资本的边际产品等于劳动的增长率,即:

f′(k)=MP K =n,即dy/dk=2-0.2k=0.02。

解得k=9.9,即为黄金律下的人均资本量。

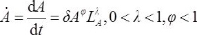
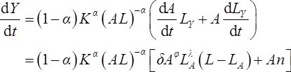
9 考虑一个简单两部门内生增长模型。生产函数为:Y=K α (AL Y 1 α ,0<α<1,K为资本量,总人口为生产部门人口L Y 和研发部门人口L A 之和,即L=L Y +L A ,人口的增长率为n,技术A的动态方程为:

(1)讨论在该经济体中λ和φ不同取值所代表的外部性。

(2)求稳态的技术增长率。

(3)讨论并用经济学解释λ、φ和n对稳态技术进步率的作用。[复旦大学2016研]

解: (1)当φ<0时,A的变化率随着A φ 的增大而减小,直至A φ 的变化率达到稳定时为止;当0<φ<1时,A的变化率会呈现出爆炸式的上升。求Y关于t的导数,则有:

显然,收入的增长率随着λ的上升而上升。

(2)稳态时的 A · 不随时间的变化而变化,将 A · 的表达式变换成对数的形式有:

ln A · =lnδ+φlnA+λlnL A

对于①式求关于t的一阶导数,则有:

得稳态时的 A · 为: A · =λn/φ。

因为增长率不能取负值,所以此时φ只能取小于0的值。

(3)由(2)可得:

A · /∂λ=-n/φ>0

A · /∂n=-λ/φ>0

A · /∂φ=λn/φ 2 >0

其中,φ<0。稳态技术增长率随着φ、λ和n的增大而增大。

10 假设国内生产总值为10000,消费6400,储蓄2000,政府预算赤字400,出口赤字200,上述单位均以亿元计。

(1)投资。

(2)政府支出。[中南财经政法大学2018研]

解: (1)根据四部门等式Y=C+I+G+NX,化简得(Y-C-T)+(T-G)=I+NX,则有S=I+NX。

由题意可知,T-G=-400,NX=200(亿元);

私人储蓄即Y-C-T=2000,则T=10000-6400-2000=1600(亿元);

国民储蓄=私人储蓄+政府储蓄,即S=2000+(-400)=1600(亿元);

投资I=S-NX=1600-200=1400(亿元)。

(2)由(1)知税收T=1600,则政府支出G=T+400=2000(亿元)。 UCKX3Ju0I2FvCkPxYT66FlHAsfGqomUAzUtu19NNd51+xrHD0N9LLUFTY7PK1Gnp

点击中间区域
呼出菜单
上一章
目录
下一章
×