购买
下载掌阅APP,畅读海量书库
立即打开
畅读海量书库
扫码下载掌阅APP

15.1 课后习题详解

习题15-1 为什么苯的六根碳碳键键长是等长的?

解: 苯具有大π键,六个π电子在苯环平面上离域,六个电子不是孤立的处在六个碳原子的p轨道上,而是共轭形成大π键,共轭的结果是六个键的键长相等,比双键长、比单键短。

习题15-2 从分子式来看,苯是一个高度不饱和的化合物,应该很容易进行加成反应。但是实验结果表明,苯很难进行加成反应,为什么?

解: 苯环是一个很稳定的化合物,不易发生加成反应。原因是共轭体系较大,离域能较大,加成反应时克服的能垒较高,苯发生加成反应比双键加成需要更多的能量。

习题15-3 从苯被发现后很多年,化学家一致认为,只要是单双键交替的环状共轭体系,均应该具有和苯环类似的稳定性。这些化合物被命名为annulenes(轮烯)。画出环丁二烯、苯、环辛四烯以及环癸五烯的所有共振式。假定这些分子都是平面的,画出这些分子中碳原子的p轨道以及可能形成的离域p轨道,通过这些结果解释环辛四烯不能形成平面体系的原因。

解: 所有共振式分别如下表15-1-1。

表15-1-1

所有可能形成的离域p轨道分别如下表15-1-2。

表15-1-2

环辛四烯之所以不能形成平面体系,是因为根据分子轨道对称理论,若形成平面共轭体系,则必须将其中的两个电子处于反键轨道中,从而形成一个类似双自由基的不稳定状态,最终的状态能量很高,不稳定,导致其八个原子又重新不在同一平面。

习题15-4 环丁二烯不能分离得到,此化合物很容易发生二聚。写出此反应式。

解: 环丁二烯可以发生1,3-偶极环加成的反应,导致其分子与分子之间反应形成新性的化合物,反应式如下:

习题15-5 利用教材给出的环己烯、1,4-和1,3-环己二烯氢化热、稳定能数据,计算苯被还原成1,4-环己二烯和环己烯的氢化热。

解: 苯的氢化热:ΔH 1 =-208.5kJ·mol 1 ;1,3-环己二烯的氢化热:ΔH 2 =-229.7kJ·mol 1 ;1,4-环己二烯的氢化热:ΔH 3 =-239.2kJ·mol 1

因此苯被还原至1,4-环己二烯的氢化热:ΔH 4 =ΔH 1 -ΔH 3 =30.7kJ·mol 1 ,进而可以看出苯加氢反应一般不会停留在环己烯阶段,直接还原成环己烷。

习题15-6 蒽有多少个一取代的衍生物?画出其结构式,并命名这些化合物。

解: 会生成三种化合物,各化合物的结构式和命名分别如下表15-1-3所示。

表15-1-3

习题15-7 萘的共振能为252kJ·mol 1 ,不是苯的共振能(151kJ·mol 1 )的二倍。解释其原因。

解: 萘环不是两个苯环简单地拼接而成,萘环只有十个碳原子而不是十二个,虽然萘环也是平面共轭体系,π电子可在十个碳原子上移动,但萘的键长并不等长,不像苯环一样键长平均。萘的X射线衍射数据为:

从键长和键角的数据可以推出萘环的共振能不是苯环的两倍。

习题15-8 画出并四苯所有可能的共振极限式,并仔细观察具有最多完整苯环的共振极限式有多少个?

解: 并四苯所有可能的共振极限式为:

从共振式可以看出,并四苯最多含有两个完整的苯环,而在共振极限式中,有三个这样的极限式。

习题15-9 科学研究表明,宇宙中超过20%的碳与稠环芳烃有关,它也可能是生命体形成的起始物。稠环芳烃可能在大爆炸之后不久就像形成了,并广泛地存在于宇宙中。䓛主要存在于煤焦油中,但现在证明䓛也存在于宇宙中。画出它的Lewis结构式,以及所有的共振式。

解: Lewis结构式可以参照下图共振式画出。所有的共振式为:

习题15-10 1,2-二氘代-1,3-环丁二烯存在两个立体异构体。画出这两个异构体的结构式,并解释其不同的原因。

解: 两个立体异构体的结构式如下:

对环丁二烯分子进行红外检测,从红外数据可以看出,环丁二烯结构不是正方形,而是长方形。主要原因是环丁二烯具有反芳香性,最终导致部分双键定域而不能形成像苯环一样的环状共轭体系。

习题15-11 通过文献查阅了解R.Willstätter合成环辛四烯的方法。有人曾质疑他的结果。在不考虑现代表征技术下,提出几种验证其产物为环辛四烯的方法。

解: 可以用化学方法来验证,有如下两种方法。

①将环辛四烯其中一根双键双羟基化,接着将其他三根双键饱和后再氧化,最终可以得到辛二酸。

②将环辛四烯催化氢化,还原之后得到环辛烷,将环辛烷用Liebig法检定。

合成环辛四烯的方法如下:

习题15-12 在70℃和约300nm光源照射下,环辛四烯气体极化可以定量地异构为半瞬烯(semibullvalene),即三环[3.3.0.0 2,8 ]辛-3,6-二烯。写出其反应方程式。

解: 环辛四烯气体极化异构为半瞬烯(semibullvalene)的反应方程式为:

习题15-13 由于环辛四烯具有非平面结构且双键定域,因此取代的环辛四烯可能有两类异构体:环翻转异构体和双键易位异构体。画出单取代环辛四烯所有异构体的结构式。

解: 环翻转异构体:

双击易位异构体:

习题15-14 [10]-轮烯无芳香性。请考虑通过何种方法使得[10]-轮烯的衍生物具有芳香性。

解: [10]-轮烯无芳香性的原因是C1和C6两个碳原子上的“内氢”重叠,使碳原子不能共处一个平面上,因此即使都处在都一个平面上也很不稳定,最终是没有芳香性的。在[10]-轮烯的各种衍生物中,可以有如下化合物:

它中间的亚甲基碳原子,可以消除C1和C6两个碳原子上的“内氢”重叠的位阻效应,同时不破坏分子的平面结构。最终分子根据Hückel规则可以判断出具有芳香性。

习题15-15 判断下列化合物为芳香性、反芳香性或无芳香性,并说明理由。

(i)

(ii)

(iii)

解: (i)该化合物具有芳香性。理由如下:

中心N原子使得最外的12个碳原子可以同处一个平面,并且具有12个电子。N原子上孤电子对可以与12个电子形成共轭,离域程度大,π键很稳定。可以形成14电子共轭体系。即与芳香阴离子互为共轭体系。

(ii)该化合物具有芳香性。理由如下:

中心N原子使得最外的9个碳原子可以同处一个平面,并且具有6个电子,属于4n+2体系。

(iii)该化合物具有芳香性。理由如下:

最外的18个碳原子可以同处一个平面,并且具有18个电子,属于4n+2体系。

习题15-16 至今为止,科学家还合成了[20]-轮烯、[22]-轮烯以及[24]-轮烯等化合物,请判断这些分子哪些具有芳香性?哪些无芳香性?

解: [22]-轮烯具有芳香性,[20]-轮烯和[24]-轮烯容易形成非平面体系,有环辛四烯一样不具有芳香性,与普通烯烃类似。

习题15-17 对比以下离子的稳定性,并说明你的理由。

(i)

(ii)

(iii)

解: (i)①比②更稳定,因为前者具有芳香性。

(ii)②比①更稳定,因为前者具有反芳香性。

(iii)①比②更稳定,因为前者具有芳香性。

习题15-18 判断以下化合物或离子为芳香性、反芳香性或无芳香性:

(i)

(ii)

(iii)

(iv)

解: 研究一个化合物是否具有芳香性,主要看该化合物是否具有以下三个特点:

①应该含有共轭双键的环系结构。

②在环上的每一个原子均有未杂化的p轨道。

③这些未杂化的p轨道必须形成一个连续的、重叠的、平行轨道的体系。在多数情况下,其结构应该是平面的。

因此上述化合物中有芳香性的有:(ii)、(iii)、(iv),具有反芳香性的有:(i)。

习题15-19 解释为何环丙烯酮和环庚三烯酮非常稳定;而环戊二烯酮却不太稳定,很容易发生Diels-Alder反应。

解: 根据共振理论,上述三种环酮均可以有如下形式。

①环丙烯酮的共振式:

②环庚三烯酮的共振式:

③环戊二烯酮的共振式:

通过共振式可以得到,前两个均具有芳香性,而第三个具有反芳香性,因此环戊二烯酮不太稳定,很容易发生Diels-Alder反应。

习题15-20 实验结果表明,室温下以下两个化合物在2,2,2-三氟乙醇溶液中会发生溶剂解,其中化合物A的溶剂解速率是B的10000倍。

A:

B:

完成其溶剂解的反应式,并解释其速率相差巨大的原因。

解: A发生溶剂解得反应过程:

B发生溶剂解得反应过程:

上述反应的溶剂解反应遵循S N 1反应机理,中间体正离子越稳定,反应月容易进行,反应速率也就越快。在化合物B的反应中,形成的中介正离子类似于环戊二烯酮,具有反芳香性,极其不稳定,因而速率很慢。

习题15-21 判断以下反应能否进行,并说明理由。

解: 该化合物在反应阶段形成一个具有同芳香性的中间体,由于中间体具有很高的稳定性,因此反应能够顺利进行。具体的中间体如下:

习题15-22 判断以下具有类似结构的中性化合物哪些具有同芳香性,哪些具有同反芳香性,哪些无同芳香性。

(i)

(ii)

(iii)

(iv)

(v)

解: 研究一个化合物是否具有芳香性,主要看该化合物是否具有以下三个特点:

①应该含有共轭双键的环系结构。

②在环上的每一个原子均有未杂化的p轨道。

③这些未杂化的p轨道必须形成一个连续的、重叠的、平行轨道的体系。在多数情况下,其结构应该是平面的。

一个化合物具有同芳香性,需要符合以下特征:

化合物结构中共轭体系被一个sp 3 杂化的碳原子间隔后仍能够体现芳香性。

根据以上特点,上述五个化合物中,具有同芳香性的有:(iii)、(iv)、(v),具有无同芳香性的有:(ii),具有同反芳香性的有:(i)。

习题15-23 环辛四烯为无芳香性化合物,它很容易与酸反应生成一个正离子。判断此正离子是否稳定,并解释你的理由。

解: 一个化合物具有同芳香性,需要符合以下特征:

化合物结构中共轭体系被一个sp 3 杂化的碳原子间隔后仍能够体现芳香性。

习题15-24 判断以下化合物是否具有芳香性:

(i)

(ii)

(iii)

(iv)

(v)

解: 研究一个化合物是否具有芳香性,主要看该化合物是否具有以下三个特点:

①应该含有共轭双键的环系结构。

②在环上的每一个原子均有未杂化的p轨道。

③这些未杂化的p轨道必须形成一个连续的、重叠的、平行轨道的体系。在多数情况下,其结构应该是平面的。

除此之外,共轭的电子数需要是4n+2个,根据共振理论,上述化合物中具有芳香性的化合物有:(i),不具有芳香性的有:(ii)、(iii)、(iv)、(v)。

习题15-25 并环戊二烯非常不稳定,很容易二聚,完成其二聚的反应式。

解: 并环戊二烯二聚的反应式为:

习题15-26 并环庚三烯的共轭酸非常稳定,画出并环庚三烯共轭酸最稳定的共振式,并解释其稳定的原因。

解: 环庚三烯共轭酸最稳定的共振式为:

该共轭酸具有芳香性,所以很稳定

习题15-27 判断下列化合物是否具有芳香性:

(i)

(ii)

(iii)

(iv)

解: 根据芳香性的判断方法可知,上述四个化合物均不具有芳香性。主要原因是它们分别可以进行共振,共振的结果如下:

从共振式来看,上述化合物中每两个环中有一个环不具有芳香性,最终都不具有芳香性。

习题15-28 判断以下化合物是否具有芳香性:

(i)

(ii)

(iii)

(iv)

(v)

(vi)

解: 根据芳香性的判断规则,上述化合物有芳香性的化合物有(iii)、(iv)、(v)、(vi),没有芳香性的化合物是(i)、(ii)。

习题15-29 通过网络检索,画出两个Möbius芳香性体系的结构式。

解: 根据Möbius芳香性体系的化合物的特点,可列出以下两个Möbius芳香性体系的结构式:

(1)

(2)

习题15-30 苯和氯气在加热、加压或阳光下反应生成1,2,3,4,5,6-六氯环己烷被认为数据自由基反应,画出此反应的转换机理。(提示:第一步反应首先破幻了苯环的芳香性,第二分子氯气的反应就会很快。)

解: 自由基反应机理如下所示。

①链引发:

②链传递:

③链终止:

习题15-31 1,2,3,4,5,6-六氯环己烷一共有八个异构体,画出这八个异构体的立体构象,并指出哪些异构体最为稳定。

解: 1,2,3,4,5,6-六氯环己烷八个异构体的立体构象分别如下:

根据立体构象式稳定性可知,这八个异构体中(1)最稳定,因为(1)立体构象式全为平伏键。

习题15-32 在动物体内,γ-六氯环己烷首先转化为1,2,4-三氯苯,接着生成三氯酚的各种异构体,并经过与葡糖醛酸结合排出体外。在昆虫体内,γ-六氯环己烷主要降解为五氯环己烯,再与谷胱甘肽形成加成产物。假定动物体内具有一定的碱性环境,画出γ-六氯环己烷转化为1,2,4-三氯苯的反应机理。

解: γ-六氯环己烷转化为1,2,4-三氯苯的反应机理遵循卤代烃在碱性条件下脱去卤化氢的机理,每步反应过程如下:

习题15-33 完成下列反应式:

(i)

(ii)

(iii)

解: 上述反应均为芳香化合物在不同的氧化剂下反应,根据氧化剂的强弱,上述反应的产物分别为:

(i)

(ii)

(iii)

苯环被强氧化剂氧化的产物通常是羧酸。

习题15-34 完成下列反应:

(i)

(ii)

(iii)

(iv)

解: 碱金属钠或钾在液氨与乙醇或异丙醇、二级丁醇的混合液中,与芳香化合物反应,苯环被还原成l,4-环己二烯类化合物,这种反应叫做Birch还原。根据Birch还原特征,上述反应的产物分别为:

(i)

(ii)

(iii)

(iv)

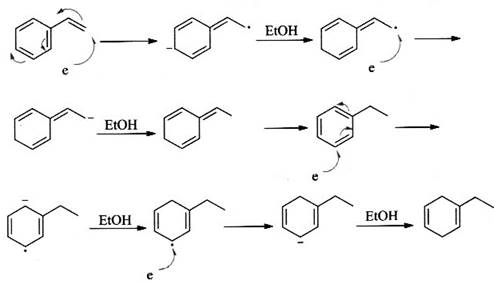
习题15-35 写出以下转换机理:

解: 碱金属钠或钾在液氨与乙醇或异丙醇、二级丁醇的混合液中,与芳香化合物反应,苯环被还原成l,4-环己二烯类化合物,这种反应叫做Birch还原。

根据Birch还原的反应机理,上述转换机理为:

习题15-36 苯乙烯和下列试剂是否会发生反应?如果能,写出其产物;如果不能,说明其原因。

(i)Br 2 的四氯化碳溶液;

(ii)室温低压催化氢化;

(iii)高温高压催化氢化;

(iv)冷的KMnO 4 溶液;

(v)热的KMnO 4 溶液。

解: (i)苯乙烯属于烯烃,能够与溴发生加成反应,使溴的四氯化碳溶液褪色。因此,反应产物为:

(ii)室温低压催化氢化能够使烯烃双键还原至烷烃,但是不能还原苯环。因此,反应产物为:

(iii)高温高压催化氢化不仅能使烯烃双键还原至烷烃,还能还原苯环。因此,反应产物为:

(iv)冷的KMnO 4 溶液可以将烯烃氧化为邻二醇。因此,反应产物为:

(v)热的KMnO 4 溶液氧化能力强,能够将苯乙烯氧化至苯甲酸。因此,反应产物为:

习题15-37 根据Hückel规则,判别下列化合物哪些具有芳香性:

解: 研究一个化合物是否具有芳香性,主要看该化合物是否具有以下三个特点:

①应该含有共轭双键的环系结构。

②在环上的每一个原子均有未杂化的p轨道。

③这些未杂化的p轨道必须形成一个连续的、重叠的、平行轨道的体系。在多数情况下,其结构应该是平面的。

除此之外,共轭的电子数需要是4n+2个,根据共振理论,上述化合物中具有芳香性的化合物有:(i)、(ii)、(iii)、(iv)、(v),不具有芳香性的有:(iv)。

习题15-38 1964年,Woodward提出了利用化合物A(C 10 H 10 )作为前体合成一种特殊的化合物B(C 10 H 6 )。化合物A有三种不同化学环境的氢,其数目比为6:3:1;化合物B分子中所有氢的化学环境相同,B在质谱仪的自由区场中寿命约为1微妙,在常温下不能分离得到。30年后化学家们终于由于A合成了第一个碗形芳香二价负离子C,[C 10 H 6 ] 2 。化合物C中六个氢的化学环境相同,在一定条件下可以转化为B。化合物A转化为C的过程如下:

根据以上条件,分别画出A、B以及C的结构式。

解: 根据芳香化合物反应以及所属反应条件的特点,可以推断出A、B以及C的结构式分别如下表15-1-4。

表15-1-4

习题15-39 如果将无数个苯环稠合在一起,你会得到什么样的化合物?你认为此化合物是否会稳定?

解: 石墨烯就是一种平面多环芳香烃原子晶体,它是一种二维材料,非常稳定。碳纳米管可以看做是由石墨烯卷曲而成,共轭效应也极其显著,因此也十分稳定。

习题15-40 下列化合物中哪一个化合物的酸性最强?为什么?

(i)

(ii)

(iii)

(iv)

解: 根据共振理论,可以得到每一个烯烃的共振式,其中(iv)的共振式为:

由于该化合物形成环戊二烯负离子,环戊二烯负离子能够稳定存在。因此(iv)能够在失去质子后保持负离子的稳定性,酸性最强。

习题15-41 以下化合物是否具有芳香性?如果没有,如何将其转化为具有芳香性的化合物?

(i)

(ii)

(iii)

(iv)

解: 根据Hückel规则可知:

(i)该化合物不具有芳香性,羟基不能使环直接形成环庚三烯正离子。因此可以选择氧化成环庚三烯酮,环庚三烯酮具有芳香性。

(ii)该化合物不具有芳香性,Cl不能使环直接形成环丙烯正离子。可以采用加入四氟硼酸银的方法,脱去卤素,形成环丙烯正离子。环丙烯正离子具有芳香性。

(iii)该化合物不具有芳香性,可以采用加入氨基钠的方法使其变为环戊二烯负离子。环戊二烯负离子具有芳香性。

(iv)该化合物具有芳香性。环庚三烯酮可经历如下共振,达到具有芳香性的结构。

习题15-42 实验结果表明,以下化合物具有很强的分子双极性,解释其原因。

解: 按照共振理论,上述化合物可以具有以下共振式:

右侧共振式具有芳香性,且两个环均具有芳香性,化合物极其稳定。即双极性分子的结构能够稳定存在。

习题15-43 当3-氯环丙烯用AgBF 4 处理时,除生产AgCl沉淀之外,其产物BF 4 盐能形成晶体,也可以溶解在如硝基甲烷等极性溶剂中,但不溶于己烷等非极性溶剂。当用含有KCl的硝基甲烷溶解此产物时,又会得到3-氯环丙烯。写出以上所有转换的反应式,并判断产物BF 4 盐是否具有芳香性。

解: 上述反应的化学方程式如下:

由于环丙烯正离子具有一定的芳香性,因此判断产物BF 4 盐具有芳香性。

习题15-44 判断以下化合物哪些有芳香性、哪些有反芳香性以及哪些无芳香性:

解: 根据芳香性的性质可以判断出上述8个化合物,具有芳香性的有:(iv)和(viii),具有反芳香性的有:(ii)、(vi)和(vii),不具有芳香性的有:(i)、(iii)和(v)。

虽然(v)的共振式可以为吡喃正离子类化合物,而吡喃正离子具有芳香性。但(v)绝大多数以内酯的形式存在,几乎不存在类似吡喃正离子的共振式。

习题15-45 碳氢化合物的负离子很难制备,其双负离子更难得到。而下面这个化合物炔很容易在2倍量的n-BuLi作用下生成稳定的双负离子,与此双负离子相应的中性类似物却极不稳定。写出此双负离子和其中性类似物的结构式。

解: 双负离子的结构式为:

中性的类似物为:

习题15-46 由于苯环π电子的离域,苯的1,2-取代衍生物就只有一个,没有1,2-取代和1,6-取代之分。那么,环辛四烯的1,2-取代和1,8-取代是否也是一样的?写出它们的结构式,并解释之。

解: 两种取代结构不同。苯环π电子的离域,形成一个稳定的平面环状结构,六个键的键长均相等,因此没有1,2-取代和1,6-取代之分。但是环辛四烯不属于平面环状结构,单双键不等长,邻位的位置和性质均不一样,因此环辛四烯的1,2-取代和1,8-取代是不一样的。

习题15-47 教材章首列出来六螺苯的结构式。由于螺苯中的每一个碳原子均是sp 2 杂化的,因此很难相信其具有光活性。实际上,六螺苯有一对对映体组成,其旋光度为[α] D =3700。画出六螺苯的对映异构体的结构式,并说明其旋光度如此大的原因。

解: 六螺苯及其对映体为:

由于其电子的可极化性较大,极易受到外界的影响,例如光、电磁场等,使得六螺苯的旋光度很大。

习题15-48 环丙烯酮和环庚三烯酮均非常稳定,而环戊二烯酮的稳定性却比前两者差很多,且很容易通过Diels-Alder反应发生二聚。画出以上三个化合物的结构式和环戊二烯酮二聚的反应式,并解释其稳定性差别的原因。

解: 三个化合物的结构式及其共振结构分别如下。

环丙烯酮:

环庚三烯酮:

环戊二烯酮:

三个化合物的结构差异很大,但环丙烯酮和环庚三烯酮的共振式均具有芳香性,而环戊二烯酮的共振式具有反芳香性,非常不稳定。因此容易发生二聚。环戊二烯酮二聚的反应式为:

习题15-49 苯的紫外-可见吸收光谱的最大吸收峰λ max 为261nm,己三烯为268nm,1,3-己二烯为259nm,因此苯接近于1,3-己二烯。常用的防晒霜中含有4-氨基苯甲酸;

其最大吸收峰处有很大的摩尔吸光系数,因此可以吸收太阳光对人体有害的紫外光。请估算对氨基苯甲酸的最大紫外-可见吸收峰值。

解: 由Woodward-Fieser规则估计,母体视为1,3-己二烯,二烯烃λ=217nm,对位处有氨基基团和羧基基团,则估计值为(217+36+60)=313nm。实际值为293nm。二者基本相近。

习题15-50 请解释萘与氯气的加成产物为1,4-二氯-1,4-二氢合萘,而不是1,2-二氯-1,2-二氢合萘,并画出其转换的反应机理。

解: 对于萘环,它含有两个环,而在一个环上加成时,极易发生共轭加成,类似于1,3-丁二烯发生1,4-加成一样,最终生成1,4-二氯-1,4-二氢合萘。反应机理如下:

习题15-51 请解释1,4-二氯-1,4-二氢合萘加热后失去氯化氢的产物为1-氯代萘,而不是2-氯代萘;1,2,3,4-四氯-1,2,3,4-四氢合萘加热后失去氯化氢的产物为1,4-二氢代萘,并画出其转换的反应机理。

解: 由于在1位和4位取代的萘环体系中,活性最高的是1位和4位的氢,因此这两个氢最容易离去,并且得到的产物最为稳定。两个反应的转化机理如下。

(1)1,4-二氯-1,4-二氢合萘加热后失去氯化氢的机理:

(2)1,2,3,4-四氯-1,2,3,4-四氢合萘加热后失去氯化氢的机理:

习题15-52 蒽与菲在CCl 4 中可以与溴发生加成反应。写出这两个转化的反应机理,并说明反应为何发生在中间的环上。

解: 两个加成反应的转化机理如下。

(1)蒽环与溴加成反应的反应机理:

(2)菲环与溴加成反应的反应机理:

之所以发生在中间的环上,是因为产物最稳定。只有中间环发生加成才能够很好的保持另外两个环的稳定性。

习题15-53 环丁烯加热开环转化为1,3-丁二烯,释放出约41.8kJ·mol 1 的热量,但是苯并环丁烯开环生成5,6-二亚甲基-环己-1,3-二烯则需要吸收相同的热量,解释其原因。

解: 主要原因是环丁烯在开环的过程中释放热量,则是因为原料环丁烯作为四元环本身具有很大的环张力,不稳定,热解后变成链状却更加稳定。

而苯并环丁烯极其稳定,具有芳香性,而产物5,6-二亚甲基-环己-1,3-二烯是常见的烯烃,不具有芳香性,不稳定。从稳定的化合物变成不稳定的化合物需要吸热。

习题15-54 2,3-二苯基环丙烯酮可以与HBr反应生成一种离子盐。完成其反应式,判断此离子盐是否稳定,并给出理由。

解: 2,3-二苯基环丙烯酮与HBr反应方程式为:

最终的离子盐很稳定。主要原因是内部三元环正离子具有芳香性,稳定性较好。 wC79vJ6PP1iDUJVpmDEHYx1IEkOsDmwpzrCeHSL8719/YkJnvo3QDseN1Ey/j/pY

点击中间区域
呼出菜单
上一章
目录
下一章
×