



14.1 课后习题详解
习题14-1 网络检索各类胺的生理活性,了解他们对生命的影响和作用。
解: 生活中常见的具有生理活性的胺及其作用如下表14-1-1所示。
表14-1-1
习题14-2 根据中文名称写出下列化合物的结构式。
(i)N-乙基-2,2-二甲基丙胺
(ii)3-丁炔胺
(iii)1,5-戊二胺
(iv)(R)-反-4-辛烯-2-胺
解: 上述中文名称所对应的化合物结构简式分别为:
(i)
;
(ii)
;
(iii)
;
(iv)
。
习题14-3 写出以下分子的中英文名称:
(i)(C 6 H 5 CH 2 ) 2 NH;
(ii)(CH 3 CH 2 CH 2 CH 2 ) 3 N;
(iii)(CH 3 CH 2 ) 3 N·HCl;
(iv)CH 3 (CH 2 ) 4 N·HBr;
(v)C 6 H 5 CH 2 N (CH 3 ) 3 Br - ;
(vi)CH 2 =CHCH 2 NHCH 2 CH 2 CH 3 ;
(vii)
;
(viii)
;
(ix)
;
(x)
;
(xi)
。
解: 根据中英文命名规则,可对上述化合物进行系统命名。命名结果如下表14-1-2所示。
表14-1-2
习题14-4 从氨到甲胺的键角和键长的变化推测二甲胺、三甲胺以及四甲基铵基的键角和键长。
解: 对于键角而言,随着甲基的引入,由于甲基与氢以及甲基与甲基之间的空阻增加,相对于孤电子对对于碳氮键的斥力,前者会更小,因此∠C—N—C的大小是逐渐变大,而∠H—N—C、∠C—N—C会逐渐增大。
对于键长而言,甲基不断增多之后,键长不会有太大的改变。
相关键长和键角的数据见下表14-1-3。
表14-1-3
习题14-5 通常胺中的碳氮键要比醇中的碳氧键要略长一些,说明其原因。
解: 由于O的电负性比N要大一些,因此对于共价电子的吸引力也就越大,与碳原子形成的共价键键长就比氮原子与碳原子形成的共价键要短一些。
习题14-6 判断下列化合物是否具有光活性:
(i)
;
(ii)
;
(iii)
;
(iv)
;
(v)
。
解: 有光活性的化合物:(i)、(iii)、(iv);没有光活性的化合物:(ii)、(v)。
习题14-7 当氮原子为分子中唯一的手性中心时,此分子在室温下为何不可能保持对映体纯的光活性而不发生消旋?
解: 主要原因是该分子不稳定。以氮原子为手性中心的胺化合物构象不稳定,孤电子对翻转能垒太小,并不能够很好的保持良好的稳定性,因而对映体之间可以相互转化,最终发生消旋。
如果分子内存在某种刚性环结构,那么最终可以做到阻止构型翻转。
习题14-8 根据所给化合物的分子式、红外光谱和核磁共振氢谱的基本数据,判断此化合物的可能的结构简式,并标明各峰的归属。
分子式:C 9 H 13 N;FT-IR:波数/cm - 1 3300,3010,1120,730,700; 1 H NMR(CDCl 3 ,ppm):δ1.1(t,3H),2.65(q,2H),3.7(s,3H),7.3(s,5H)。
解: 根据分子式可知,上述化合物的不饱和度为4,根据红外指纹区700cm - 1 、730cm - 1 可以推断出分子中不仅含有苯环,且只会是单取代芳香烃。1120cm - 1 对应C—N吸收峰,在核磁共振数据中可以得出取代基上链的结构:含有一个孤立的甲基和一个乙基。因此分子结构简式如下:
习题14-9 将下列化合物按碱性从强到弱的顺序编号:
解: 在环己烷上,如果存在吸电子基时,则吸电子效应越强,胺的碱性就越弱;若有给电子基时,则给电子效应越强,碱性就越强。
因此对上述五个化合物按碱性顺序依次编号为:④;②;③;①;⑤。
习题14-10 将下列各组化合物按酸性从强到弱的顺序编号:
(i)
(ii)
解: (i)分子上含有吸电子基时,吸电子基效应越强,那么分子的碱性就越强。因此,上述四个分子的酸性大小顺序如下:
(ii)羧酸的酸性强于醇类,醇类的酸性弱与水但比烷烃强;炔氢由于C原子的杂化方式为sp杂化,因此杂化轨道含有较多的s轨道成分,对电子的吸引力就越强。酸性大小顺序:炔烃>烯烃>胺>烷烃。综上所述,上述五个分子的酸性大小顺序如下:
对于化合物的酸性,主要看活泼氢离去能力的大小,也可以分析氢离去之后负离子的稳定性。综合而言,离去之后(或离去之前)分子上含有强吸电子基,则分子的酸性就强,而具有给电子基团时,一般负离子就不稳定,原化合物的酸性就很弱。
习题14-11 为什么胺的碱性要强于醇或醚?
解: O原子的电负性比N原子的电负性大,因此形成羟基时,对共用电子对具有更大的吸引力,最终引起氨基上N原子的一个孤对电子与质子具有更强的结合能力。根据酸碱理论,胺的碱性就比醇的碱性强。
习题14-12 解释以下事实:
(i)吗啉盐酸盐的酸性比六氢吡啶的盐酸盐酸性强;
(ii)3-溴-1-氮杂二环[2.2.2]辛烷共轭酸的酸性比3-氯-1-氮杂二环[2.2.2]辛烷共轭酸的酸性弱;
(iii)氮丙烷与H + 反应后形成的正离子的pK a 小于六氢吡啶正离子的pK a 。
解: 一般而言,共轭酸的酸性强弱和该化合物共轭碱的碱性强弱恰好相反。共轭酸的酸性越强,那么其共轭碱的碱性就越弱;共轭酸的酸性越弱,那么其共轭碱的碱性就越强。
(i)吗啉的结构式为:
O原子取代亚甲基,O本身具有一定的吸电子效应,因此吗啉的碱性比六氢吡啶的碱性要弱,因而其共轭酸的酸性比六氢吡啶的共轭酸酸性强。
(ii)氯的电负性强于溴,因而最终3-氯-1-氮杂二环[2.2.2]辛烷的碱性弱于3-溴-1-氮杂二环[2.2.2]辛烷,而其共轭酸的酸性便要强。
(iii)氮丙啶为三元环结构,其中N—C具有更多的p轨道成分,氮原子上的孤对电子具有更多的s轨道成分,因此氮丙啶的碱性比六氢吡啶弱,其共轭酸的pK a 比六氢吡啶要小。
习题14-13 在学习过程中你会发现四级铵盐相对比较稳定,而稳定的氧鎓盐炔相对较少。你能通过网络检索列举一些稳定的氧鎓盐吗?尝试总结一下这些稳定的氧鎓盐的结构特点。
解: 稳定的氧鎓盐有如下几类。
(i)吡喃盐类化合物。该类化合物具有很好的芳香性,也具有稳定的平面结构,是一种很稳定的氧鎓盐。结构式如下:
(ii)四氟硼酸三乙基盐。该类化合物具有稳定的氧正离子角锥形结构,氧正离子与多个给电子基团相连,是常用的烷基化试剂。结构式如下:
(iii)氧杂三环癸烷。该类化合物具有碗形结构,氧杂三环癸烷可以在水中稳定存在。
结构式如下:
习题14-14 用环己醇、不超过四个碳的有机物和适当的无机试剂为原料合成下列化合物:
(i)
;
(ii)
;
(iii)
;
(iv)
解: (i)合成路线如下:
(ii)合成路线如下:
(iii)合成路线如下:
(iv)合成路线如下:
习题14-15 以相应的卤代烷为原料,用直接烷基化的方法合成一下化合物:
(i)1-己胺;
(ii)三甲基正丙基碘化铵;
(iii)六氢吡啶。
解: 由于氨或胺的氮原子上的孤对电子具有较强的亲核能力,因此容易与卤代烷发生S N 2取代反应。因此,上述目标化合物的合成路线可分别如下:
(i)
(ii)
(iii)
习题14-16 利用NaN 3 和Gabriel合成法合成下列胺:
(i)1-戊胺;
(ii)环己胺;
(iii)甘氨酸;
(iv)3-乙基己胺。
解: 制备一级胺最好的方法之一就是利用叠氮化合物代替氨:叠氮离子N 3 - 是一个亲核基团,在S N 2反应中它的亲核能力强于氨,因此可以与一级和二级卤代烷反应生成烷基取代的叠氮化合物,接着还原一级胺。还原方法包括:催化氢化、氢化铝锂及三苯基膦还原。其次,最常见的方法就是Gabriel法。上述化合物的合成路线为:
(i)
(ii)
(iii)
(iv)
习题14-17 画出在三苯基膦的作用下,正丁基叠氮转化为正丁胺的反应机理。
解: 反应机理如下:
习题14-18 多巴胺属于神经递质的脑内分泌物,可帮助细胞传送脉冲,具有传递快乐、兴奋情绪的功能,又被称为快乐物质,因此在医学上被用来治疗抑郁症。此外,吸烟和吸毒可增加多巴胺的分泌,使吸食者感到兴奋。多巴胺的化学名称为4-(2-乙氨基)苯-1,2-二酚。画出其结构式,并设计两条以邻苯二酚为原料合成多巴胺的路线。
解: 多巴胺的结构式如下:
合成路线有两种,分别为:
①由醛制备胺:
②在苯环上引入甲酰基,再用叠氮化合物重排:
习题14-19 以不超过五个碳的有机物及其他必要试剂通过还原胺化反应合成:
(i)
;
(ii)
;
(iii)
。
解: 胺或氨可以与醛或者酮发生亲核加成反应,生成亚胺。亚胺中的碳氮双键类似于醛、酮中的碳氧双键,可在催化氢化或氢化试剂作用下被还原成相应的一级、二级或三级胺。一般合成方法为:从氨到一级胺;从一级胺到二级胺;从二级胺到三级胺。因此,上述化合物的合成路线为:
(i)
(ii)
(iii)
习题14-20 利用还原胺化反应合成下列化合物:
(i)以六氢吡啶为原料合成N-环戊基六氢吡啶
(ii)以四氢吡咯为原料合成N-乙基四氢吡咯
(iii)以环己酮为原料合成环己胺
(iv)以环戊醇为原料合成环戊胺
解: 在一级胺的合成方法中,利用甲酸铵代替氨或还原试剂将醛或酮在高温下转化为胺的反应称为Leuckart-Wallach反应。在此过程中,甲酸根负离子作为还原剂提供一个氢负离子将亚胺还原成胺。根据此特征反应,上述四个反应的产物分别为:
(i)
;
(ii)
;
(iii)
;
(iv)
。
习题14-21 完成下列反应式。
(i)
(ii)
(iii)
解: (i)酮和胺优先发生亲核加成反应,生成碳氮双键;在NaBH(OAc) 3 可被还原成脂肪胺。因此产物如下:
(ii)氰基可被加氢还原剂直接还原成饱和脂肪胺。因此产物如下:
(iii)酮和胺优先发生亲核加成反应,生成碳氮双键;在NaBH 3 CN可被还原成脂肪胺。因此产物如下:
习题14-22 结合第18章知识,以苯胺为原料合成对氨基苯磺酰胺。
解: 以苯胺合成对氨基苯磺酰胺,最重要的一步就是需要先将苯环磺化,然后再与氨反应。但是必须注意在磺化之前需要保护苯环上已有的氨基。因此基本合成路线为:
习题14-23 完成下列反应式。
(i)
(ii)
(iii)
解: 酰氯、磺酰氯均可以在碱性条件下与胺反应,最终生成酰胺和磺酰胺。一级胺与磺酰氯反应生成磺酰胺后,N原子上还有一个氢,由于受到磺酰基的影响,N上的氢原子具有弱酸性,可以和碱发生反应转化为盐类,进而与碘代烷反应,水解后生成二级磺酰胺。上述各反应产物依次如下:
(i)
(ii)
(iii)
习题14-24 Sildenafil是磷酸二酯酶5(PDE5)的一种选择性抑制剂,并且是第一例具有治疗男性勃起功能障碍作用的药物。Pfizer公司以VIAFGRA为商标生产这种药物,在1998年通过美国食品和药品监督管理局(FDA)批准后的第一年,全球销售额就达到7.88亿美元。它就是一种磺酰胺类药物,其合成中的一步就是磺酰胺的构建。完成以下反应式:
解: 酰氯、磺酰氯均可以在碱性条件下与胺反应,最终生成酰胺和磺酰胺。因此上述反应过程为:
习题14-25 根据Hofmann消除反应的机理推测以下列底物为原料经彻底的甲基化、Ag 2 O处理后加热的主要产物:
(i)环己胺;
(ii)2,4-二甲基四氢吡咯;
(iii)N-乙基六氢吡啶;
(iv)
;
(v)
。
解: Hofmann消除反应一般需要经历三个步骤:(1)氮原子的彻底的甲基化反应;(2)四级铵盐与湿的氧化银反应;(3)四级铵碱的醇溶液在减压条件下浓缩;然后在200℃的作用下热消除生成烯烃、水合三级胺。因此,根据Hofmann消除反应的机理,上述化合物经热消除后形成的产物可为:
(i)
;
(ii)
;
(iii)
;
(iv)
;
(v)
。
习题14-26 完成下列反应式。
(i)
;
(ii)
;
(iii)
;
(iv)
;
(v)
。
解: 上述反应均属于Hofmann消除反应,Hofmann消除反应属于E2型的β-消除反应。在反应过程中,底物四级铵碱被碱夺取的氢原子必须在β位碳原子上。反应的立体化学应符合反式消除。离去基团的三级胺和β氢原子必须处于反式共平面。因此上述反应过程产物分别如下:
(i)各步产物分别为:
(ii)产物有两个,分别为:
、CH
2
=CHCH
3
(iii)
(iv)产物有两个,分别为:
、CH
2
=CHPh
(v)产物有两个,分别为:
、
习题14-27 完成下列反应式。
(i)
(ii)
(iii)
解: Hofmann消除和Zaitsev消除的情况正好相反。其原因是Hofmann消除受反应物的诱导效应制约,即碱进攻的β位碳原子上取代基较小,电子云的密度较小,因而是酸性较强的氢原子。这个氢原子空阻也很小,易于被碱夺取生成Hofmann消除产物,最终形成双键碳上取代基较少的烯烃。因此上述反应产物分别如下:
(i)
(ii)
(iii)
习题14-28 写出以下三级胺经双氧水处理并加热后的主要产物:
(i)N,N-二甲基环己胺
(ii)N,N-二乙基环己胺
(iii)N-乙基六氢吡啶
(iv)N,N-二甲基-1-甲基环己胺
解: 上述三级胺经双氧水处理并加热后的主要产物分别如下:
(i)
(ii)
(iii)
(iv)
习题14-29 完成下列反应式(注意产物的立体化学性质):
(i)
(ii)
(iii)
(iv)
解: 三级胺在过氧化氢和加热的条件下发生Cope消除反应。三级胺与过氧化氢或过氧羧酸发生氧化反应得到中间物氧化胺,氧化胺加热之后,发生E2顺式消除,最终生成烯烃。
(i)
(ii)
(iii)
(iv)
习题14-30 设计一个鉴别以下胺类化合物的实验方案:
己胺、六氢吡啶、N-甲基六氢吡啶。
解: 六氢吡啶是一个二级胺,该化合物的结构简式如下:
因此,己胺、六氢吡啶、N-甲基六氢吡啶三个化合物分别是一级胺、二级胺和三级胺。鉴别一级胺、二级胺和三级胺最常用的方法就是Hinsberg反应。一级胺、二级胺和三级胺与磺酰氯的反应统称为Hinsberg反应,此反应经常在碱性条件下进行。由于三级胺上的N原子没有H可以离去,因此三级胺补语磺酰氯发生酰基化反应,二级胺只有一个H,生成的磺酰胺不能与碱反应。一级胺与磺酰氯反应之后,还可以在于碱反应生成盐。因此可有如下区分方案,通过观察不同的现象即可区分不同的化合物。
发生Hinsberg反应后三种不同化合物的现象:
①己胺反应后的磺酰胺可以溶于NaOH溶液中;
②六氢吡啶反应后的产物不能溶于NaOH溶液中;
③N-甲基六氢吡啶与磺酰氯不发生反应。
习题14-31 完成下列反应:
(i)
(ii)
(iii)
(iv)
解: 一级脂肪胺与亚硝酸反应液的产物为N-亚硝基胺,该产物不稳定,进而会互变异构转换成偶氮化合物,在酸性条件下会失水生成重氮盐;烷基重氮盐非常不稳定,会分解释放氮气,最后转变为烯烃。若碳原子上还有羟基,最终会发生烯醇式重排形成酮。上述化合物均服从此反应机理,因此产物分别为:
(i)
(ii)
(iii)
(iv)
习题14-32 分别写出以下pinacol重排和Tiffeneau-Demjanov重排反应机理,从中对比其异同点:
(i)
(ii)
解: pinacol重排,又称邻二醇重排,即邻二醇在酸催化的作用下发生重排,最终生成酮;Tiffeneau-Demjanov重排反应1-氨甲基环戊醇在用亚硝酸处理时会很快重排为环己酮,即发生一定的扩环反应。Tiffeneau-Demjanov重排反应过程为氨基与亚硝酸发生重氮化,接着放出氮气生成一级碳正离子,然后烃基迁移生成更加稳定的氧鎓离子,最后去质子化生成酮。因此,两种不同的反应重排机理分别为:
(i)pinacol重排:
(ii)Tiffeneau-Demjanov重排
两重排反应的不同之处在于形成碳正离子,pinacol重排若原先反应物是对称性的邻二醇则形成碳正离子的位置没有选择性,但原先反应物如果是不对称性的酮,在形成碳正离子时往往具有选择性,但两种碳正离子均存在,一个是主要产物,一个是次要产物。而Tiffeneau-Demjanov重排形成的碳正离子具有唯一性,即形成与羟基相连的碳正离子。
习题14-33 完成下列反应式:
(i)
(ii)
(iii)
(iv)
(v)
(vi)
解: 上述反应均涉及到重氮甲烷。重氮甲烷是一种很重要的甲基化试剂,可以与酸反应形成甲酯,与酚、β-二酮和β-酮酯的烯醇反应等均形成相应的甲醚。反应过程即为酚、β-二酮和β-酮酯重排为烯醇式之后再与重氮甲烷反应,生成对应的甲醚。因此,上述反应的产物分别为:
(i)产物有两个,分别为:
、
;
(ii)
;
(iii)
;
(iv)
;
(v)
;
(vi)
习题14-34 完成下列反应:
(i)
(ii)
(iii)
(iv)
解: (i)该反应的产物为:
(ii)产物有两个,分别为:
、
。
(iii)该反应遵循Wolff重排反应机理,先形成烯酮,醇解后形成酯。反应产物为:
(iv)该反应的产物为:
习题14-35 以下反应均为扩环反应。根据所给反应物及试剂,画出以下反应的中间体和产物的结构式,并画出合理的分步的反应机理:
(i)
(ii)
(iii)
解: 上述三个反应都是卡宾参与的反应。卡宾参与时,先直接和双键加成,后扩环重排,形成稳定的结构。具体重排反应机理如下:
(i)
(ii)
(iii)
习题14-36 根据指定的原料和必要的试剂合成目标化合物:
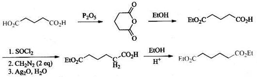
(i)从戊二酸合成己二酸二乙酯
(ii)从2-甲基-2-苯基丁酸合成3-甲基-苯基戊酸
解: Arndt-Eistert反应常用于制备比原料多一个碳原子的羧酸同系物。反应过程为:先利用羧酸与SOCl 2 反应生成酰氯,接着与重氮甲烷反应制备α-重氮酮;然后α-重氮酮在Ag 2 O的催化作用下与水共热,得到酰基卡宾,最后重排得到乙烯酮衍生物,再与水反应生成比原料多一个碳原子的羧酸同系物。根据上述反应合成特点,目标产物的合成路线分别如下。
(i)从戊二酸合成己二酸二乙酯的合成路线为:
(ii)从2-甲基-2-苯基丁酸合成3-甲基-苯基戊酸合成路线为:
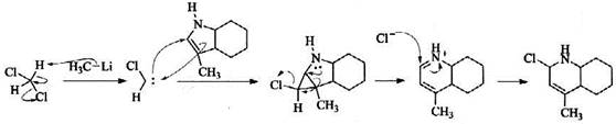
习题14-37 画出上述双环内酰胺合成中分子内的Schmidt重排反应分步的、合理的机理。
解: Schmidt重排反应是羰基衍生物与叠氮酸或烷基叠氮在酸催化的作用下转为叠氮化物的过程。结合电子转移的方向和环结构的稳定性,双环内酰胺合成中分子内的Schmidt重排反应分步机理如下:
习题14-38 从所给的原料出发,分别利用Lossen重排、Hofmann重排、Curtius重排、Schmidt重排等四个重排反应制备以下化合物:
(i)正己酸合成正己胺
(ii)软脂酸合成n-C 15 H 31 NHCOOC 2 H 5
(iii)(R)-2-甲基丁酰胺合成(R)-2-丁胺
(iv)溴代环己烷合成环己胺
解: Lossen重排:苯甲酰氧肟苯甲酰热分解后生成苯基异氰酸酯和苯甲酸。苯基异氰酸酯水解后形成苯胺。
Hofmann重排:酰胺在NaOH作用下与1倍量的溴反应,生成N-溴代酰胺。在加热和无水条件下,进一步去质子化,N-溴代乙酰胺会转换成不稳定的盐,最终重排为异氰酸酯,经水解变成少一个碳原子的胺。
Curtius重排:酰基叠氮化物热解重排之后会转化成异氰酸酯。
Schmidt重排:羰基衍生物与叠氮酸或烷基叠氮在酸催化的作用下转为叠氮化物。
四类重排的反应在制备芳香胺和烷基胺上有较大应用。利用重排反应完成上述转化,合成路线分别为:
(i)
(ii)
(iii)
(iv)
习题14-39 (CH 3 CH 2 ) 3 CBr以及(CH 3 ) 3 CBr由于空阻大,不能与氨通过S N 2反应直接得到相应的胺,根据以上重排反应合成胺类目标化合物。
解: 对于像(CH 3 CH 2 ) 3 CBr以及(CH 3 ) 3 CBr,此类化合物不能与氨通过S N 2反应直接得到相应的胺,但可以通过Hofmann重排实现所需要的产物的合成。Hofmann重排可以实现一级酰胺转化为比酰胺少一个碳原子的一级胺,由于产物失去羰基,因此也被称为Hofmann降解反应。反应过程是酰胺在NaOH作用下与1倍量的溴反应,生成N-溴代酰胺;在加热和无水条件下,进一步去质子化,N-溴代乙酰胺会转换成不稳定的盐,最终重排为异氰酸酯,经水解变成少一个碳原子的胺。目标化合物的具体合成路线如下:
(1)合成(CH 3 CH 2 ) 3 CNH 2 :
(2)合成(CH 3 ) 3 CNH 2 :
习题14-40 完成下列反应式:
(i)
(ii)
(iii)
(iv)
解: 酰胺在与卤素单质、氢氧化钠溶液反应时,会发生Hofmann降解反应,最终生成少一个碳原子的一级胺,因此上述反应的产物分别为:
(i)
(ii)产物分别为:
①
②
(iii)产物分别为:
①
②
(iv)
Hofmann重排特点在于实现一级酰胺转化为比酰胺少一个碳原子的一级胺。由于产物失去羰基,因此也被称为Hofmann降解反应。反应过程是酰胺在NaOH作用下与1倍量的溴反应,生成N-溴代酰胺;在加热和无水条件下,进一步去质子化,N-溴代乙酰胺会转换成不稳定的盐,最终重排为异氰酸酯,经水解变成少一个碳原子的一级胺。
习题14-41 下列哪些胺类化合物有对映体,并解释原因。
(i)顺-2-乙基环己胺
(ii)N-乙基-N-正丙基环己胺
(iii)N-乙基吖啶
(iv)N-甲基-N-乙基-N-苯基碘化胺
解: 有对映体的化合物是:(i)和(iv);没有对映体的化合物是:(ii)和(iii)。
原因:具有其对映体的化合物必须含有手性碳原子或手性氮原子,且分子内没有对称性因素。(ii)和(iii)都没有手性碳原子或手性氮原子,因而不具有对映体。
习题14-42 画出下列化合物的结构式,并指出他们是一级、二级、三级胺还是四级铵盐。
(i)乙基异丙胺;(ii)四已丙基碘化铵;(iii)六氢吡啶;(iv)乙胺;(v)二甲胺。
解: 上述化合物的结构式和分类分别如下表14-1-4所示。
表14-1-4
习题14-43 按碱性强弱给下列化合物排序,并解释其原因。
(i)
(ii)
(iii)
(iv)
(v)
解: 胺类碱性比较,在不考虑溶剂化的作用下,结合给电子效应分析出碱性大小顺序一般为:三级胺>二级胺>一级胺>氨>芳香胺,四级铵盐水溶液呈现中性。脂肪胺的碱性较强是因为烃基的给电子的超共轭效应,芳香胺的碱性较弱是因为氨基的孤电子对与苯环发生共轭,离域之后碱性较弱,同时对于氨基来说,苯环具有吸电子共轭效应。因此,碱性顺序为:(iv)>(iii)>(ii)>(i)>(v)。
习题14-44 给出下列化合物中提纯目标化合物的方法。
(i)从混有少量乙胺和二乙胺的混合物中提纯三乙胺;
(ii)从混有少量乙胺和三乙胺的混合物中提纯二乙胺;
(iii)从混有少量二乙胺和三乙胺的混合物中提纯乙胺。
解: 鉴别一级胺、二级胺和三级胺最常用的方法就是Hinsberg反应,但也可以用Hinsberg反应来提纯三乙胺。
(i)由于乙胺和二乙胺均可以和对甲苯磺酰氯发生反应而形成磺酰胺被除去,因此反应后的混合物可以通过碱洗除去对甲苯磺酰氯而得到粗的三乙胺。再通过蒸馏得到三乙胺。
(ii)先向混合液中加入对甲苯磺酰氯,由于三乙胺不反应,可先除去不反应的三乙胺。然后加入NaOH溶液,洗去乙胺和对甲苯磺酰氯的产物A,而二乙胺和对甲苯磺酰氯的产物B不溶于NaOH溶液反应,最终分离产物B。
(iii)先向混合液中加入对甲苯磺酰氯,由于三乙胺不反应,可先除去不反应的三乙胺。然后加入NaOH溶液,溶解乙胺和对甲苯磺酰氯的产物A,而二乙胺和对甲苯磺酰氯的产物B不溶于NaOH溶液反应可以被除去,最终分离产物A。
习题14-45 给出下列官能团的中英文名称。如果这些官能团均有可能被氧化的话,尝试从易到难进行排序。
解: 上述8个官能团的中英文名称具体如下表14-1-5所示。
表14-1-5
通过分析,上述官能团能够被氧化的是:(i)、(iii)、(iv)、(vi)、(viii),其他的官能团不能被氧化。而官能团被氧化从易到难顺序为:(iv)>(iii)>(i)>(vi)>(viii)。
习题14-46 画出下列胺类化合物的结构简式,判断哪些胺类化合物会有对映异构体,并作出解释。
(i)顺-2-乙基-环己胺
(ii)N-甲基-N-乙基环己胺
(iii)甲基乙基正丁基碘化铵
(iv)N-乙基吖啶
(v)甲基乙基丙基异丁基碘化铵
解: 上述胺类化合物的结构式分别如下:
(i)
(ii)
(iii)
(iv)
(v)
根据对映异构体的性质,上述五个化合物中有对映异构体的化合物是:(i)、(iii)和(v)。
习题14-47 分别对下列各组化合物按碱性从强到弱排序
(i)NaOH,CH 3 CH 2 NH 2 ,PhNH 2 ,NH 3
(ii)苯胺,对甲苯胺,对硝基苯胺
(iii)乙酰胺,乙胺,二乙酰亚胺
解: (i)对于胺类碱性比较,一般碱性大小顺序为:脂肪胺>氨>芳香胺,脂肪胺的碱性较强是因为烃基的给电子的超共轭效应,芳香胺的碱性较弱是因为氨基的孤电子对与苯环发生共轭,离域之后碱性较弱,同时对于氨基来说,苯环具有吸电子共轭效应。因此,碱性顺序为:NaOH>CH 3 CH 2 NH 2 >NH 3 >PhNH 2 。
(ii)对于芳香胺,当苯环上有其他取代基时,一般碱性大小顺序为:含有给电子基的芳香胺>苯胺>含有吸电子基的芳香胺。给电子基会导致氨基的电子云密度更大,减弱苯环的吸电子共轭效应,因而碱性较强。反之具有吸电子基的芳香胺碱性较弱。因此,碱性顺序为:对甲苯胺>苯胺>对硝基苯胺。
(iii)当氨基连有吸电子基时,吸电子基越多,氨基的电子云密度就越小,碱性就越弱。因此,碱性顺序为:乙胺>乙酰胺>二乙酰亚胺。
习题14-48 用化学方法鉴别下列化合物。
(i)乙胺和乙酰胺
(ii)环己胺和六氢吡啶
(iii)烯丙基胺和丙胺
(iv)四正丙基氯化铵和三正丙基氯化铵
解: (i)乙胺和乙酰胺可通过pH试纸来鉴别。鉴别方法如下:
用玻璃棒蘸取两试剂分别点在pH试纸上,对比pH试纸颜色变化,能使pH试纸颜色变得越偏向于棕黑色的试剂,碱性则较强,那么该试剂即为乙胺,否则为乙酰胺。
(ii)环己胺和六氢吡啶可以通过Hinsberg反应鉴别。鉴别方法如下:
将两试剂分别加入适量至烧杯中,后续向其中加入对甲苯磺酰氯,和两试剂发生反应之后分别生成沉淀,再向烧杯中加入NaOH溶液,若烧杯中沉淀消失,则其原先加入的溶剂是环己胺,若不溶解则是六氢吡啶。
(iii)烯丙基胺和丙胺可以用溴水来鉴别。能使溴水褪色的是烯丙基胺,否则为丙胺。
(iv)四正丙基氯化铵和三正丙基氯化铵可用含有酚酞的氢氧化钠溶液鉴别。
鉴别方法:将含有酚酞的氢氧化钠溶液分别加入适量至两烧杯中,后续向其中加入两试剂,能够让含有酚酞的氢氧化钠溶液红色消失的是三正丙基氯化铵,不能够使其红色消失的是四正丙基氯化铵。
习题14-49 许多胺类化合物含有多个氮原子,他们通常在有机反应中作为碱性试剂使用。通常将以下官能团称为脒基(imidine),此官能团常显出比普通脂肪胺更强的碱性(对比羧基,两个氧原子被两个氮原子所替换):
请问这两个氮原子哪一个亲核能力强?
解: 一般而言,含孤立的sp 2 杂化氮原子的胺,其碱性往往比含sp 3 杂化氮原子的胺要小,其主要原因是具有孤立的sp 2 杂化氮原子的孤电子对与形成的亚胺双键可以发生共轭,导致氮原子的碱性变弱。而含sp 3 杂化氮原子的胺的孤电子对单独存在不发生共轭,碱性一般较强。但是对于脒基,它具有如下共振结构:
从极限式可以看出氨基N上的电子可与亚氨基发生共轭,显著增强亚氨基N上的电子云密度,使得脒的碱性要强于普通脂肪胺。而亲核能力强的则是具有电子云密度更高的亚氨基氮原子。
习题14-50 写出1,5-二氮杂二环[4.3.0]-5-壬烯(DBN)和1,8-二氮杂二环[5.4.0]-7-十一烯(DBU)的结构简式。判断其结构中哪一个氮原子的碱性强。并给出理由?
解: 1,5-二氮杂二环[4.3.0]-5-壬烯(DBN)的结构简式:
1,8-二氮杂二环[5.4.0]-7-十一烯(DBU)的结构简式:
氨基N上的电子可与亚氨基发生共轭,最终显著增强亚氨基N上的电子云密度,因此碱性强的N原子则是具有电子云密度更高的亚氨基氮原子。
习题14-51 画出过量碘乙烷与1-丙胺反应的转换机理。
解: 反应过程中进行了三次亲核取代,最终生成四级铵盐。反应机理如下:
习题14-52 完成以下反应式:
(i)
(ii)
(iii)
(iv)
(v)
(vi)
(vii)
(viii)
解: (i)先发生氨基的亲核取代反应生成四级铵盐,后在强碱作用下消除生成烯烃。
因此产物依次为:
①
②
(ii)此反应为通过Gabriel反应合成一级胺。
因此产物依次为:
①
②
(iii)胺易与醛发生亲核加成再消除,生成亚胺,亚胺不稳定,可被弱氧化剂还原至胺。
因此产物依次为:
①
②
(iv)该反应为Cope重排反应,反应过程中发生消除生成烯烃。
因此产物依次为:
①
②
(v)产物依次为:
①
②
(vi)
(vii)产物依次为:
①
②
(viii)此反应为氧化叔胺的热消除反应,消除的产物为烯烃。
因此产物依次为:
①
②
习题14-53 苯丙醇胺(phenylpropanolamine,PPA)是一种人工合成的拟交感神经兴奋的胺类物质,它与肾上腺素、去氧肾上腺素、麻黄碱和苯丙胺的结构类似,很多感冒和抑制食欲的药品中含有这种成分。后来研究发生,服用该药物可能引起血压升高、心脏不适、颅内出血、痉挛甚至中风。2000年含有这种成分的感冒药已经被我国医药部门通告停用。如果PPA中N原子被甲基化,则生成二级胺假麻黄碱,也是一类重要的药物。画出PPA和假麻黄碱的结构式,并设计以PPA为原料合成假麻黄碱的路线(三条以上)。
解: 苯丙醇胺(PPA)的结构式如下:
如果PPA中N原子被甲基化,则生成二级胺假麻黄碱。因此假麻黄碱的结构式如下:
三种合成方案分别如下:
(1)
(2)
(3)
习题14-54 画出以下分步的、合理的反应机理:
(i)
(ii)
(iii)
(iv)
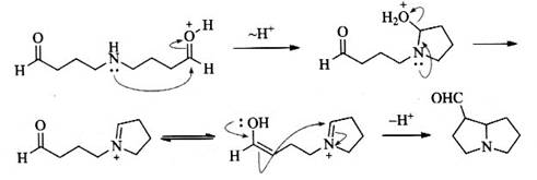
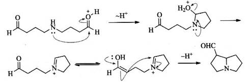
解: (i)原料中既有氨基也有醛基,分子可以发生分子内的加成、消除反应,最终再还原剂的条件下合成三级胺。反应机理为:
(ii)原料中既有氨基也有醛基,分子可以发生分子内的加成、消除反应,但在酸性环境中,发生烯醇互变异构,最终发生分子内亲电加成变成五元环。反应机理如下:
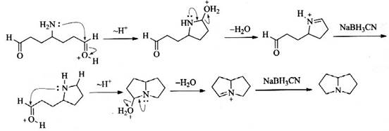
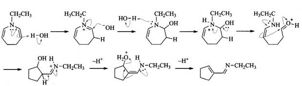
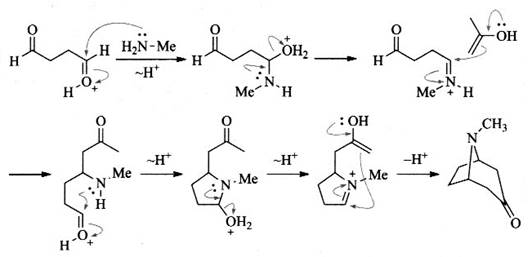
(iii)合成机理如下:
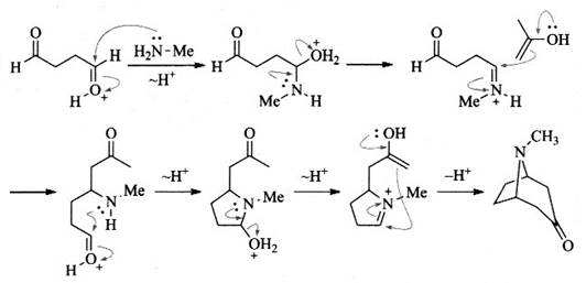
(iv)目标化合物为托品酮。合成托品酮需要三种原料,反应过程需要分子间的亲核加成再消除以及分子内的亲核加成再消除。具体合成机理如下:
习题14-55 在Hofmann消除反应中,如果β位有羟基存在,通常不发生消除反应。你认为会发生何类反应?根据你的判断,完成下列反应式:
为你所提供的转换写出分步的、合理的反应机理。通过文献查阅,画出麻黄碱和假麻黄碱的立体结构式,并根据以上转换方式画出这两个反应的产物,对比它们的产物的立体结构式的异同点。
解: 反应过程为:
麻黄碱的立体结构式:
假麻黄碱的立体结构式:
麻黄碱转换过程:
假麻黄碱转换过程:
上述转化过程是通过脂肪胺不断的进行Hofmann消除反应来达到目的产物的合成。
习题14-56 根据以下转换画出A~H的结构式:
解: 在系列反应中,根据反应条件易推出有三步反应属于Hofmann降解反应,即从B到C、从D到E、从G到H,而Hofmann降解反应的产物为烯烃,故C、E、H均是烯烃类化合物。从托品酮到B经历了酮的还原和醇的脱水,因此B也是烯烃。根据反应条件及Hofmann消除反应的规则,可知A~H的结构式如下表14-1-6所示。
表14-1-6
习题14-57 胆碱的分子式为C 5 H 15 O 2 N,易溶于水,形成强碱性溶液。它可以利用环氧乙烷和三甲胺的水溶液反应制备。画出胆碱和乙酰胆碱的结构式。
解: 环氧乙烷和三甲胺为合成胆碱的原料,根据碳的骨架和胆碱的分子式C 5 H 15 O 2 N可以推出胆碱的结构式如下:
则乙酰胆碱的结构式为:
习题14-58 根据以下转换和一些相关表征,画出A~D的结构式:
化合物A在铂催化下不吸收氢气。化合物D不含有甲基;紫外吸收表征证明,其结构中没有共轭双键;核磁共振氢谱表明,其结构中一共有8个氢原子与碳碳双键相连。
解: 根据胺的特征反应可知:从A到B反应、从B到C反应、从C到D反应均是属于Hofmann重排反应,由此可以推断出A为三级胺。A在铂催化下不吸收氢气,可知A不含有双键或三键,即A为环状胺。根据各化合物的分子式可知,A的不饱和度为2,D的不饱和度为3,进而可以推断出A、B、C、D的结构简式如下表14-1-7所示。
表14-1-7
习题14-59 托品酮(tropinone)是一个生物碱,是合成阿托品硫酸盐的中间体。它的合成在有机合成史上具有里程碑的意义。托品酮的许多衍生物具有很好的生理活性。在进行以下衍生化的过程中发现,产物为两个互为立体异构体的A和B:
在碱性条件下,A和B可以相互转换,因此,任何一个纯净的A或B在碱性条件下均会变成一混合物。画出A和B的立体结构式,以及在碱性条件下A和B相互转换的反应机理。
解: 苄基负离子极其稳定,能够作为优良的亲核试剂与三级胺进行反应,最终生成四级铵盐。由此可知,A立体结构式如下:
B立体结构式如下:
而对映异构体A与B相互转换的机理如下:
习题14-60 对比以下转换,请解释:
(i)为什么在K 2 CO 3 作用下氨基乙醇与等物质的量的乙酸酐反应时,氨基被酰化;而在HCl作用下,羟基被酰化?
(ii)为什么羟基乙酰化的产物可以在K 2 CO 3 作用下转化为氨基乙酰化产物?
解: (i)由于O的电负性大于N,因此氨基的亲核性比羟基要强(一般碱性强的基团亲核能力也强)。在氨基乙醇与等物质的量的乙酸酐反应时,氨基凭借其亲核性优先发生酰基化。但是在酸性条件下,氨基由于碱性强于羟基,易于被质子化,从而变成正离子,失去亲核能力,因而羟基被酰基化。
(ii)K 2 CO 3 是强碱弱酸盐,能够使氨基去质子化并发生分子内的亲核取代反应,反应机理如下所示:
因此,羟基乙酰化的产物在K 2 CO 3 作用下最终转化为氨基乙酰化产物。
习题14-61 Labetalol(盐酸拉贝洛尔)是一种甲型肾上腺素受体阻断剂和乙型肾上腺素受体阻滞剂,用于治疗高血压。其作用机理是,通过阻断肾上腺素受体,放缓窦性心律,减小外周血管阻力。Labetalol的结构式如下:
它可以通过S N 2反应合成。写出参与S N 2反应的原料的结构式,并推测可能的反应条件。
解: 对于1,2-环氧化合物,在酸性条件下,环氧化合物会被质子化,整体带有正电荷,而只有取代基较多的环碳原子被分到更多的正电荷,体系才更加稳定。亲核试剂进攻取代基较多的环碳原子,这个环碳原子C—O键断裂的原因是取代较多的环碳原子被分到更多的正电荷。而在碱性条件下,亲核试剂进攻取代基较少的环碳原子,此时进攻所受的空间阻力要小于取代基多的环碳原子,使得反应更易进行。因此上述反应是在碱性条件下一级胺取代环氧化合物而生成Labetalol,逆合成分析过程如下:
反应条件为碱性,可以在三乙胺的环境中进行。
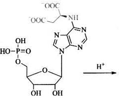
习题14-62 在自然界中,有很多类似于Hofmann消除的生化反应。在这些反应中,氨基在酸性环境中成盐而无需彻底甲基化。例如,Adenylosuccinate在氨基被质子化后可发生消除反应。完成下列反应式:
解: 氨基在酸性环境中,氨基先被质子化后再发生消除反应。反应方程式如下所示:
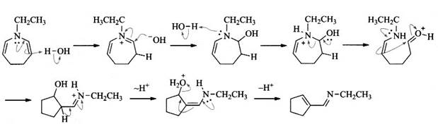
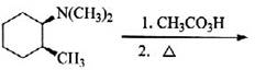
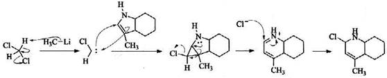
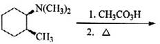
习题14-63 1,3,5,7-环辛四烯[(1Z,3Z,5Z,7Z)-cycloocta-1,3,5,7-tetraene,COT]是一类非常重要的配体,可与金属形成配合物,比如夹心型的双(环辛四烯基)铀U(COT) 2 、双(环辛四烯基)铁Fe(COT) 2 ,以及一维结构的Eu-COT。1911年,R.M.Willstatter首次报道了环辛四烯的合成工作。1939-1943年,许多化学键均未成功制备环辛四烯,因此他们对Willstatter的合成产生了质疑,认为Willstatter并未合成得到环辛四烯,而是制出了它的同分异构体苯乙烯。1947年,C.Overberger在Arthur Cope的指导下,终于重复了Willstatter的实验,成功获得了环辛四烯。他以石榴碱作为起始原料,通过Hofmann消除反应合成环辛四烯:
画出以上转换合理的、分步的反应机理。
解: 合成环辛四烯需要托品酮,先被还原成醇,后续不断地进行Hofmann消除反应,每一次消除反应生成一个双键,最终形成环辛四烯。合成环辛四烯的反应过程为:
习题14-64 利用所提供的原料合成目标化合物:
(i)
(ii)
(iii)
(iv)
(v)
(vi)
解: (i)由二级胺合成三级胺,可以通过先与对应的酮加成形成亚胺,然后在弱还原剂条件下还原,合成过程为:
(ii)由环氧化合物制备氨基醇,可以利用叠氮化物进攻环氧键,合成过程为:
(iii)利用Hofmann消除反应得到目标产物,合成过程为:
(iv)从醇到三级胺,可转变成由酮到三级胺,合成时需要二级胺与相应的醇发生加成消除反应,合成过程为:
(v)合成过程为:
(vi)利用Cope重排合成目标化合物:
习题14-65 在还原胺化的反应中,如果以氨为原料,产物为一级胺;以一级胺为原料,产物为二级胺;以二级胺为原料,产物为三级胺。分别画出苯乙酮与以上胺类化合物经还原胺化反应的所有中间体和产物的结构式。
解: 利用甲酸铵代替氨或还原试剂将醛或酮在高温下转化为胺的反应称为Leuckart-Wallach反应。在此过程中,甲酸根负离子作为还原剂提供一个氢负离子将亚胺还原成胺。因此苯乙酮与氨反应并不断还原胺化的过程如下所示:
习题14-66 下列三级胺可以通过Hofmann消除和Cope消除反应制备烯烃,它具有两个手性中心。
(i)画出此三级胺的(R,R)和(R,S)的立体构型。
(ii)分别画出以(R,R)和(R,S)为原料的Hofmann消除和Cope消除反应的主要产物。
(iii)在Hofmann消除和Cope消除反应过程中,常会有Zaitsev产物生成。在Hofmann消除反应中(R,R)-异构体的副产物Zaitsev产物的双键构型为E型;而用间氯过氧苯甲酸处理,(R,R)-异构体的Zaitsev产物的双键构型为Z型。分别画出两种Zaitsev产物的结构式,并解释其不同的原因。
解: (i)上述三级胺的手性中心有两个。根据手性异构体的性质该三级胺的两种不同的立体构型分别如下所示。
①(2R,3R)的立体构型为:
②(2R,3S)的立体构型为:
(ii)Cope消除是指若氧化胺的β碳上有氢,当加热到150~200℃时会发生热分解,得羟胺及烯的反应。而Hofmann消除是指四级铵碱在加热条件下(100~200℃)发生热分解生成烯烃的反应,Hofmann消除反应属于E2型的β-消除反应。因此两种消除的主要产物分别如下表14-1-8所示。
表14-1-8
(iii)两种消除反应产生不同的Zaitsev产物,具体如下表14-1-9所示。
表14-1-9
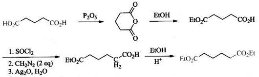
习题14-67 β-氨基酸作为α-氨基酸的参照物,在多肽化合物的二级结构研究中起着非常重要的作用。Arndt-Eistert反应可以利用α-氨基酸为原料合成β-氨基酸。完成以下反应式,并尝试写出羧酸转换成α-重氮酮的反应机理。
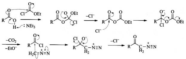
解: Arndt-Eistert反应常用于制备比原料多一个碳原子的羧酸同系物。反应过程为:先利用羧酸与SOCl 2 反应生成酰氯,接着与重氮甲烷反应制备α-重氮酮;然后α-重氮酮在Ag 2 O的催化作用下与水共热,得到酰基卡宾,最后重排得到乙烯酮衍生物,再与水反应生成比原料多一个碳原子的羧酸同系物。根据上述反应合成特点,反应方程式为:
反应机理为: