购买
下载掌阅APP,畅读海量书库
立即打开
畅读海量书库
扫码下载掌阅APP

2015年10月31日事业单位招聘考试《职业能力倾向测验》(A类)真题及详解

注意事项:

一、此项测验分为五个部分,共100小题,总时限90分钟,各部分不单独计时,但都给出参考时限,供答题时合理分配时间。

二、请按照要求在答题卡上填写好自己的姓名,涂写好准考证号,严禁折叠答题卡。

三、必须在答题卡上答题;在题本上答题,一律无效。

四、监考人员宣布考试开始时,方可答题,宣布考试结束时,应立即停止答题。题本、答题卡、草稿纸一律留在桌上,待监考人员确认数量无误,允许离开后,方可离开考场。如果你违反了以上任何一项要求,都将影响你的成绩。

五、在这项测验中,可能有些试题较难,因此你不要在一道题上思考时间太久,遇到不会答的题目,可先跳过去,如果有时间再去思考,否则,你可能没有时间完成后面的题目。

六、试题答错不倒扣分。

第一部分 常识判断

(共20题,参考时限10分钟)

1 关于我国民族区域自治,下列说法不正确的是(  )。

A.西藏自治区是最晚成立的民族自治区

B.民族自治地方分为自治区、自治州、自治县三级

C.一个民族自治的地方,可以几个少数民族聚居区为基础建立

D.民族自治地方的自治机关是自治地方的人民代表大会及常务委员会

【答案】 D

【解析】 A项,我国民族自治区成立的先后顺序为:内蒙古自治区(1947年成立)、新疆维吾尔自治区(1955年10月1日成立)、广西壮族自治区(1958年成立)、宁夏回族自治区(1958年成立)、西藏自治区(1965年9月成立)。其中,西藏自治区是最晚成立的民族自治区。B项,我国的民族自治地方有自治区、自治州和自治县。C项,我国民族自治地方主要有四种类型:①以一个少数民族聚居区为主建立的自治地方;②以一个大的少数民族聚居区为主,并包括一个或几个人口较少的少数民族建立的自治地方;③以两个或两个以上少数民族聚居区为基础建立的自治地方;④在某些汉族人口占大多数的地方也可以以汉族以外的少数民族聚居区为主建立自治地方。D项,我国民族自治地方的自治机关是自治区、自治州、自治县的人民代表大会和政府,并不包括人大常委会。因此答案选D。

2 对下列危害道路交通安全行为的处罚,符合相关法律规定的是(  )。

A.陆某和张某在马路上飙车,被判有期徒刑

B.周女士饮酒后开汽车回家,驾照被暂扣三个月,并被处罚2000元

C.出租车司机刘师傅酒醉后继续开车载客,被吊销驾照并追究刑事责任

D.朱先生开车时造成重大交通事故,被吊销驾照,并终生不得取得新驾照

【答案】 C

【解析】 A项,在马路上飙车属于危险驾驶,我国《刑法修正案九》规定:“在道路上驾驶机动车,有下列情形之一的,处拘役,并处罚金:(一)追逐竞驶,情节恶劣的;(二)醉酒驾驶机动车的;(三)从事校车业务或者旅客运输,严重超过额定乘员载客,或者严重超过规定时速行驶的;(四)违反危险化学品安全管理规定运输危险化学品,危及公共安全的。机动车所有人、管理人对前款第三项、第四项行为负有直接责任的,依照前款的规定处罚。有前两款行为,同时构成其他犯罪的,依照处罚较重的规定定罪处罚。”故对于该项只需判处拘役并处罚金,不需要判有期徒刑,不当选。B项,《道路交通安全法》规定:“饮酒后驾驶机动车的,处暂扣六个月机动车驾驶证,并处一千元以上二千元以下罚款。”不当选。C项,我国《道路交通安全法》规定:“醉酒驾驶营运机动车的,由公安机关交通管理部门约束至酒醒,吊销机动车驾驶证,依法追究刑事责任;十年内不得重新取得机动车驾驶证,重新取得机动车驾驶证后,不得驾驶营运机动车。”当选。D项,由题意可知,造成重大交通事故的朱先生已涉嫌交通肇事罪,其行为依法应当吊销其机动车驾驶证。吊销的程序应由设区市的公安机关交通管理部门在人民法院对当事人作出有罪的生效判决后做出。两年后方可重新申请驾驶证,如果是构成交通肇事罪,并且逃逸的,终身禁驾。该项并未提及逃逸,不当选。

3 关于我国劳务派遣用工方式,下列说法错误的是(  )。

A.被派遣劳动者与实际用工单位之间不存在劳动关系

B.经营劳务派遣业务,应当向劳动行政部门依法申请行政许可

C.劳动派遣用工只能在临时性、辅助性、或者替代性的工作岗位上实施

D.被派遣劳动者应在劳动派遣单位参加工会,不能在实际用工单位参加工会

【答案】 D

【解析】 A项,劳务派遣工与用工单位之间是用工关系而非劳动关系。B项,《劳务派遣行政许可实施办法》规定:“任何单位和个人,未经许可,不得进行劳务派遣。”因此,经营劳务派遣业务,应当向劳动行政部门依法申请行政许可。C项,我国《劳动法》规定:“劳动合同用工是我国的企业基本用工形式。劳务派遣用工是补充形式,只能在临时性、辅助性或者替代性的工作岗位上实施。”D项,我国《劳动合同法》第六十四条规定:“被派遣劳动者有权在劳务派遣单位或者用工单位依法参加或者组织工会,维护自身的合法权益。”根据上述法律条文可知,该选项的表述过于绝对。因此答案选D。

4 下列哪种情形中,用人单位提前三十日以书面形式通知劳动者本人后,即可解除劳动合同?(  )

A.劳动者患病,医疗期满后,不能从事工作的

B.劳动者不能胜任工作,经过培训和调整工作岗位后,仍不能胜任工作的

C.劳动者在哺乳期内,不能从事原工作也不能从事由用人单位另行安排工作的

D.劳动合同订立时所依据的客观情况发生重大变化,致使原劳动合同无法履行的

【答案】 B

【解析】 《劳动合同法》第四十条规定:“有下列情形之一的,用人单位提前三十日以书面形式通知劳动者本人或者额外支付劳动者一个月工资后,可以解除劳动合同:(一)劳动者患病或者非因工负伤,在规定的医疗期满后不能从事原工作,也不能从事由用人单位另行安排的工作的;(二)劳动者不能胜任工作,经过培训或者调整工作岗位,仍不能胜任工作的;(三)劳动合同订立时所依据的客观情况发生重大变化,致使劳动合同无法履行,经用人单位与劳动者协商,未能就变更劳动合同内容达成协议的。”其中,第一种和第三种情形,劳动者和用人单位的协商不成是导致劳动合同解除的最终原因。AD两项,未提及劳动者和用人单位的协商。C项,与题意无关。因此答案选B。

5 关于传统文化,下列对应错误的是(  )。

A.五音:宫、商、角、徵、羽

B.六艺:礼、乐、射、卸、书、数

C.六书:象形、指事、会意、形声、转注、假借

D.五经:《诗经》《尚书》《礼记》《易经》《论语》

【答案】 D

【解析】 五经,指儒家的五部经典,包括:《易》《书》《诗》《礼》(汉时指《仪礼》,后世指《礼记》)、《春秋》(后世指《春秋左氏传》),不包括《论语》。因此答案选D。

6 下列诗句与节日对应有误的是(  )。

A.风雨梨花寒食过,几家坟上子孙来——清明节

B.不效艾符趋习俗,但祈蒲酒话升平——端午节

C.今日登高樽酒里,不知能有菊花无——中秋节

D.风雨夜深人散尽,孤灯犹唤卖汤元——元宵节

【答案】 C

【解析】 A项,出自明代高启的《送陈秀才还沙上省墓》,根据关键词“寒食”“坟上”可知,诗句描写的是清明节。B项,出自唐代殷尧藩的《端午日》,根据关键词“艾符”“蒲酒”可知,诗句描写的是端午节。C项,出自唐代王缙的《九日作》,根据关键词“登高”可知,诗句描写的是重阳节而非中秋节。D项,出自宋代姜白石的《诗曰》,描写的是元宵节,根据关键词“孤灯”“汤元”可知,诗句描写的是元宵节。因此答案选C。

7 以下哪个不是秦始皇执政期间发生的事件?(  )

A.罢黜百家

B.焚书坑儒

C.统一货币

D.修筑长城

【答案】 A

【解析】 A项,罢黜百家是汉武帝时期实施的政策,为董仲舒提出,即“罢黜百家,独尊儒术”,目的是加强中央集权。BCD三项,焚书坑儒、统一货币、修筑长城都是秦始皇执政时期发生过的事件。因此答案选A。

8 下列哪项与中国古代四大名著无关?(  )

A.的卢马

B.冷香丸

C.西窗烛

D.狮驼岭

【答案】 C

【解析】 中国古代四大名著是指《水浒传》《三国演义》《西游记》《红楼梦》这四部著作。A项,“的卢马”形容好马,与《三国演义》相关。在该著作中,的卢马是刘备的坐骑,助刘备躲过荆州之劫难。B项,冷香丸与《红楼梦》相关。《红楼梦》第七回中说道,宝钗患了一种病,是从娘胎里带来的一股热毒,犯时出现喘嗽等症状。一个和尚给宝钗说了个“海上仙方儿”,这种药就叫“冷香丸”。C项,“西窗烛”出自唐代诗人李商隐的《夜雨寄北》:“何当共剪西窗烛,却话巴山夜雨时。”原指思念远方妻子,盼望相聚夜语。后泛指亲友聚谈。与四大名著无关。D项,狮驼岭为《西游记》中地名,为青狮、白象、大鹏三魔王占据。因此答案选C。

9 关于我国著名的古都,下列说法不正确的是(  )。

A.北京曾是金代的都城

B.南京是历史上已知最早的都城

C.隋唐时所说的“东郡”指的是洛阳

D.“直把杭州作汴州”中的“汴州”是指开封

【答案】 B

【解析】 A项,金朝共三个都城,分别为上京会宁府(今黑龙江阿城东南)、燕京(今北京西南,又称金中都)、南京(今河南开封)。B项,说法明显错误,即使以我国来看,殷墟是中国历史上第一个有文献可考的都城。C项,隋唐置都长安,洛阳被称为东京或东都。D项,“直把杭州作汴州”出自南宋诗人林升的《题临安邸》,汴州指北宋首都汴京,即今开封。因此答案选B。

10 俗话说“药补不如食补”,关于食品对于人体所需元素的补充,下列对应错误的是(  )。

A.鸡蛋——硒

B.海带——碘

C.大豆——磷

D.菠菜——钙

【答案】 D

【解析】 菠菜中含有丰富的β胡萝卜素和维生素B6并含有大量的水分、蛋白质和碳水化合物,还有铁、镁、钾、钙、维生素A、维生素C,能保护眼睛、平衡血压、补充体力、防止贫血。菠菜可以维持人体的酸碱度,提供大量的维生素,有助于清肠胃,使身材苗条。但菠菜中含有草酸,草酸可以和钙结合成草酸钙,不利于钙的吸收,所以并没有补钙作用。因此答案选D。

11 根据形成原因,岩石可分为哪三大类?(  )

A.碳酸盐岩、石灰岩、变质岩

B.白云岩、岩浆岩、沉积岩

C.岩浆岩、沉积岩、变质岩

D.石灰岩、白云岩、碳酸盐岩

【答案】 C

【解析】 岩石是天然产出的具稳定外型的矿物或玻璃集合体,按照一定的方式结合而成,是构成地壳和上地幔的物质基础。根据形成原因,岩石可以分为三大类:①岩浆岩,是由高温熔融的岩浆在地表或地下冷凝所形成的岩石;②沉积岩,是在地表条件下由风化作用、生物作用和火山作用的产物,经水、空气和冰川等外力的搬运、沉积和成岩固结而形成的岩石;③变质岩,是指受到地球内部力量(温度、压力、应力的变化、化学成分等)改造而成的新型岩石。根据其成分,可划分为碳酸盐岩、石灰岩、白云岩。因此答案选C。

12 关于中国的铁路,下列说法错误的是(  )。

A.粤海铁路是跨海铁路

B.陇海铁路沿线多为沙漠

C.包兰铁路大致为东西走向

D.大秦铁路是西煤东运的主要通道

【答案】 B

【解析】 A项,粤海铁路自广东省湛江至海安镇,全长345千米,是中国第一条跨海铁路。B项,陇海铁路又称海兰铁路,从甘肃兰州通往江苏连云港,是贯穿中国东、中、西部即华东、华中、西北最主要及最重要的铁路干线。C项,包兰铁路自包头东站至兰州站,全长990公里,在中卫和干塘间经过腾格里沙漠,全线有140公里在沙漠中穿行,是中国五十年代在沙漠中筑成的铁路,全线大致为东西走向,称为“沙漠铁路”。D项,大秦铁路自山西省大同市至河北省秦皇岛市,纵贯山西、河北、北京、天津,全长653千米,是中国西煤东运的主要通道之一。因此答案选B。

13 哥伦布在发现新大陆的航行中,可能做过下列哪件事?(  )

A.使用指南针

B.瓦特改良的蒸汽机做动力

C.读莎士比亚的作品

D.用天文望远镜观测夜空

【答案】 A

【解析】 A项,哥伦布发现新大陆是1492年,指南针经由阿拉伯人传入欧洲是在南宋时期,约十三世纪。B项,瓦特改良蒸汽机是在1785年。C项,莎士比亚生于1564年,1616年逝世。D项,荷兰米德尔堡一位不出名的眼镜师汉斯·李波尔赛于1608年造出了世界上第一架望远镜。BCD三项,都不是哥伦布在发现新大陆的航行中所可能做过的事。因此答案选A。

14 下列哪项与左图代表的国家没有直接关系?(  )

【答案】 D

【解析】 从所属经纬度以及该国家的版图外形(长筒靴子)可以推断出该国为意大利。A项,为典型的亚热带地中海气候,即夏季炎热干燥,冬季温和多雨,意大利即属于此气候。B项,《我的太阳》为意大利歌曲,创作于1898年,是世界三大男高音歌唱家之一帕瓦罗蒂的代表作。C项,为意甲球队AC米兰的队徽。D项,为爱因斯坦质能方程,而爱因斯坦是出生于德国的犹太裔物理学家,后入瑞士国籍,与意大利无关。因此答案选D。

15 某南美国家与下列四个关键词都相关:①双人舞蹈探戈,②足球世界杯冠军,③马岛海战,④多党制,则该国家是(  )。

A.墨西哥

B.巴西

C.阿根廷

D.巴拉圭

【答案】 C

【解析】 探戈(tango)是一种双人舞蹈,源于非洲,流行于阿根廷。足球世界杯冠军有巴西(5次)、阿根廷(2次),墨西哥和巴拉圭均未得过冠军。马尔维纳斯群岛战争,简称马岛战争,是1982年4月到6月间,英国和阿根廷为争夺马岛(阿根廷称“马尔维纳斯群岛”)的主权而爆发的一场战争。墨西哥、巴西、阿根廷、巴拉圭均是多党制国家。综上所述,与四个关键词都相关的国家是阿根廷。因此答案选C。

16 领土面积居世界前四位的国家依次是(  )。

A.俄罗斯、加拿大、中国、美国

B.俄罗斯、中国、美国、加拿大

C.美国、中国、俄罗斯、加拿大

D.加拿大、俄罗斯、中国、美国

【答案】 A

【解析】 领土面积居世界前四位的国家依次是俄罗斯(约1710万平方千米)、加拿大(约990万平方千米)、中国(约960万平方千米)、美国(约930万平方千米)。因此答案选A。

17 下列哪种情况不属于外来物种入侵?(  )

A.法国水族馆引进的绿藻通过释放孢子,成为当地海洋生态系统中的优势种群

B.被人们“做善事”放生的宠物巴西龟在当地野化后大量繁殖

C.我国南方作为猪饲料引种的空心莲子草在若干年后逸为野生

D.每年春夏之交成年湟鱼从青海湖洄游到淡水河中产卵

【答案】 D

【解析】 外来物种入侵是指生物物种由原产地通过自然或人为的途径迁移到新的生态环境的过程,它有两层意思:一是物种必须是外来、非本土的;二是该外来物种能在当地的自然或人工生态系统中定居、自行繁殖和扩散,最终明显影响当地生态环境,损害当地生物多样性。入侵的外来物种可能会破坏景观的自然性和完整性,摧毁生态系统,危害动植物多样性,影响遗传多样性。据此定义,ABC三项,均符合外来物种入侵的定义。D项,鱼类洄游是长期以来鱼类对外界环境条件变化的适应结果,是一种自然现象,并非外来物种入侵。因此答案选D。

18 关于电影尝试,下列说法错误的是(  )。

A.“回归”三部曲是指《海上钢琴师》《西西里的美丽传说》《天堂电影院》

B.《摩登时代》是好莱坞由默片时代过渡到有声电影时代的经典影片

C.奥黛丽·赫本因《罗马假日》获得奥斯卡最佳女主角奖

D.斯皮尔伯格曾导演过《侏罗纪公园》

【答案】 B

【解析】 B项,1927年以前的无声电影时代被称为“默片时代”,而作为第一部有声电影《爵士歌王》的出现,自然就代表默片结束了。《摩登时代》摄制于1935年,不是好莱坞由默片时代过渡到有声电影时代的经典影片。

19 关于体育比赛,下列说法错误的是(  )。

A.铁人三项包括铁饼、公路自行车和公路长跑

B.田径比赛是田赛、径赛和全能比赛的统称

C.某些竞走项目的比赛距离比马拉松赛长

D.径赛项目需要用计时器来记取比分

【答案】 A

【解析】 A项,铁人三项运动属于新兴综合性运动竞赛项目。比赛由天然水域游泳、公路自行车、公路长跑三项目按顺序组成,运动员需要一鼓作气赛完全程。BCD三项,田径或称田径运动,是田赛、径赛和全能比赛的全称。“田”是指广阔的空地,在跑道所围绕的中央或临近的场地上举行的跳跃、投掷,统称为田赛,田赛是用米尺丈量所跳的高度、远度和所投器械的远度的项目。“径”是指跑道,在跑道上举行的竞走和各类形式的赛跑都属于径赛,是以时间计算成绩的竞走和跑的项目。其中,竞走比赛有5、10、20、50公里等分类,而马拉松赛比赛距离为42.195公里,因此某些竞走项目的比赛距离比马拉松赛长。因此答案选A。

20 关于家用电器的电源插头,下列说法不正确的是(  )。

A.电视机使用二桩头的电源插头,是因为电视机的功率比较小

B.如果强行去掉地线桩头,一旦电器漏电,接触者会受到电击

C.三桩头中地线桩头比较长,这样可以保证先接通地线,后接通电源

D.二桩头的电源插头在桩头附近没有任何标志,插入插座时无需区分方向

【答案】 A

【解析】 A项,电视机使用二桩头的电源插头,主要基于两个原因:一是因为电视机的外壳都是塑料的绝缘材料,不存在外壳漏电的问题;二是电视机的工作电源是经过变压器或者开关电源的,不会有交流高压。“电视机的功率比较小”并非电视机使用二桩头电源插头的原因。BC两项,三桩头插头的地线桩头较长,可保证先接通地线而后接通电源,保证用电安全。如果强行去掉地线桩头,一旦电器漏电后接触者就会受到电击。D项,二桩头电源插头桩头附近无标志,插入插座时不需区分方向。因此答案选A。

第二部分 言语理解与表达

(共20题,参考时限20分钟)

本部分包括表达与理解两方面的内容,请根据题目要求,在四个选项中选出一个最恰当的答案。

请开始答题:

21 在我国,核工业为国民经济的发展做出了重要贡献,我们不能因为日本发生福岛核电事故而________,停止对和平利用核能的探索。

填入画横线部分最恰当的一项是(  )。

A.听天由命

B.因噎废食

C.患得患失

D.杞人忧天

【答案】 B

【解析】 根据文段“我们不能因日本发生……停止对和平利用核能的探索”可知,空缺处所填词语表达的意思应是所要做的事情由于出了点小毛病或怕出问题就索性不去干。B项,“因噎废食”原意是指因为有人吃饭噎死了,就想让天下人都不吃饭,这太荒谬了。比喻要做的事情由于出了点小毛病或怕出问题就索性不去干,符合题意。ACD三项,“听天由命”指听任事态自然发展变化,不做主观努力,也比喻碰机会,该怎么样就怎么样;“患得患失”形容对个人得失看得很重;“杞人忧天”比喻不必要的或缺乏根据的忧虑和担心,均与文意不符。因此答案选B。

22 针对清王朝的人才禁锢政策,龚自珍提出了“不拘一格”选拔人才的观点。对当时腐朽黑暗的封建专制和________的思想界而言,龚自珍的响亮呐喊,简直就是________的狂言,它就像一声炸雷、一阵疾风,催人警醒,给人力量。

依次填入画横线部分最恰当的一项是(  )。

A.枯燥 不可一世

B.封闭 耸人听闻

C.僵化 如雷贯耳

D.沉闷 惊世骇俗

【答案】 D

【解析】 第二空,由“它就像一声炸雷、一阵疾风、催人警醒”可知,空缺处所填词语应有让人感到震惊之意。AC两项,“不可一世”形容人自命不凡、狂妄自大到了极点;“如雷贯耳”形容人的名声或声音巨大,均没有让人感到震惊之意,不符合题意。第一空,由题意可知,空缺处所填词语不仅要与“思想界”搭配恰当,且要与“腐朽黑暗”相对应,填入“沉闷”最恰当。因此答案选D。

23 伴随着经济全球化的演进,越来越多的新兴国家加入了全球竞争。与欧洲国家相比,这些国家的劳动力价格相对便宜,因此吸引了大量的________,很多欧洲国家的企业将工厂开到这些地区,这就无形中造成了欧洲国家失业状况的加剧,工人失业,创造财富的机会减少,进入社会经济体系,分享财富的人增加,使一些欧洲福利国家________。

依次填入画横线部分最恰当的一项是(  )。

A.投资 不堪负重

B.人才 捉襟见肘

C.企业 顾此失彼

D.关注 黔驴技穷

【答案】 A

【解析】 第一空,由“这些国家的劳动力价格相对便宜”可知,空缺处不可能填“人才”。第二空,由“创造财富的机会减少……分享财富的人增加”可知,空缺处所填词语应表示欧洲福利国家已经要承受不住的意思。A项,“不堪重负”意思是承受不了繁重的负荷,不能担当重任,指在经济上或别的方面无法承受,与文意相符。BCD三项,“捉襟见肘”形容衣服破烂,比喻顾此失彼,穷于应付;“顾此失彼”意为顾了这个,丢了那个,借以形容忙乱、慌张的情景;“黔驴技穷”比喻有限的一点本领也已经用完了,均与文意不符。因此答案选A。

24 坐在那里等条件,其实是懒惰思想在作怪,于是推托、消极怠工,工作________;同时,也是畏难情绪在作怪,害怕失败,害怕承担责任。如果总以这样的心态面对人生,则可能________。

依次填入画横线部分最恰当的一项是(  )。

A.循规蹈矩 劳而无功

B.推三阻四 一败涂地

C.安于现状 一事无成

D.按部就班 一蹶不振

【答案】 C

【解析】 第一空,由“遇事推脱、消极怠工”可知,空缺处所填词语应表示工作态度不积极。AD两项,“循规蹈矩”原指遵守规矩,不敢违反,现也指拘守旧准则,不敢稍作变动;“按部就班”原意是写文章时篇章结构安排得体,用字造句合乎规范。后来引申为照章办事,依次进行,不越轨,不逾格。也指按老规矩办事,缺乏创新精神,均不符合文意。第二空,文意是指如果不能以正确的心态面对人生,将什么事情都做不好。B项,“一败涂地”形容失败到了不可收拾的地步,语义过重。C项,“一事无成”指什么事情都做不成,形容毫无成就,符合文意。因此答案选C。

25 对一个组织来说,各个组成部分往往是________的,而劣质的部分往往决定了整个组织的水平,为了发挥组织的________作用,释放它的潜力,就必须弥补薄弱环节,使组织能够在市场竞争中处于不败之地。

依次填入画横线部分最恰当的一项是(  )。

A.参差不齐 整体

B.优劣参半 积极

C.休戚与共 核心

D.一脉相承 凝聚

【答案】 A

【解析】 第一空,由“劣质的部分往往决定了整个组织的水平”“必须弥补薄弱环节”可知,空缺处所填成语表达的应是组织内各个组成部分水平高低不等的意思。A项,“参差不齐”本意指长短、高低、大小不一致,形容很不整齐或水平不一,符合题意。BCD三项,“优劣参半”意为优劣分半;“休戚与共”意为同欢乐共悲哀,形容关系密切、利害相同;“一脉相承”比喻某种思想、行为或学说之间有继承关系,均未体现出组织内各个部分水平高低不等的意思,与文意不符。第二空,将“整体”代入空缺处,进行验证,“整体”一词不仅符合文意,且与后文的“弥补薄弱环节”相照应。因此答案选A。

26 我们鼓励社会阶层自然分化,让不同阶层________,我们也鼓励鲤鱼跳龙门,但也应该看到能跃过龙门的“鲤鱼”毕竟是少数,这就需要构建更加公平正义的社会选择机制、甄别机制,只要是锥子,就可以冒出头,当然你也可以________,让自己冒出头。

依次填入画横线部分最恰当的一项是(  )。

A.各得其所 毛遂自荐

B.各行其是 脱颖而出

C.各取所需 首当其冲

D.各司其职 锋芒毕露

【答案】 A

【解析】 第一空,根据题意可知,题干阐释的主要是社会阶层的分化问题。AC两项,“各得其所”原指各人都得到满足,后指每个人或事物都得到恰当的位置或安排;“各取所需”指各自选取自己所需要的,均与文段所表达的社会阶层的分化相关,符合文意。BD两项,“各行其是”意为各自都按照自己认为对的去做,比喻各搞一套;“各司其职”指的是各自负责掌握自己的职责,做好所承担的工作,均不符合文意。第二空,由“让自己冒出头”可知,空缺处所填词语应有自荐之意,“毛遂自荐”符合文意。C项,“首当其冲”比喻最先受到攻击或遭到灾难,与题干中所说的鼓励鲤鱼跳龙门不相符。因此答案选A。

27 做学问,“要大处着眼,小处下手”。由博入专,不可急功近利,能大处着眼,为学方不致流于________,而有裨益于世;能小处下手,方不致流于________,所以做学问千万不要求速效。

依次填入画横线部分最恰当的一项是(  )。

A.狭隘 口号

B.烦琐 空谈

C.表面 形式

D.平庸 俗套

【答案】 B

【解析】 第二空,由“小处下手”可知,做学问除了要有高瞻远瞩的观点之外,还需要脚踏实地的行动。A项,“流于”与“口号”搭配不当。B项,“流于空谈”不仅符合文意,且搭配恰当。CD两项,“形式”“俗套”,显然与文意不符。因此答案选B。

28 当下,媒介发展一日千里,如何认识媒体,对待媒体,已成为执政者执政素养________的部分,尤其随着互联网的崛起,跨入社交媒体时代,网络的去中心化、去权威化和参与性、互动性的增强,极大地________了媒体环境,适应这样一个全新的媒体时代,理应成为必备的执政能力。

依次填入画横线部分最恰当的一项是(  )。

A.迫在眉睫 异化

B.至关重要 丰富

C.举足轻重 强化

D.不可或缺 改变

【答案】 D

【解析】 第二空,由“尤其随着互联网的崛起,跨入社交媒体时代,网络的去中心化、去权威化和参与性、互动性的增强”可知,空缺处所填词语应表现出互联网的崛起对媒体环境的影响。AC两项,“异化”“强化”与文意不符。第一空,题干谈论的是执政者正确认识媒体、对待媒体的重要性。B项,“至关重要”表意程度过重,与实际不符。因此答案选D。

29 改革开放以来,文学创作成就不菲,但缺乏________、影响深远的力作。今天的文坛不能说不繁荣,然而繁荣也________不住其中的“虚荣”成分——虚假的繁荣。

次填入画横线部分最恰当的一项是(  )。

A.千锤百炼 遮挡

B.入木三分 掩饰

C.力透纸背 掩盖

D.匠心独具 遮蔽

【答案】 C

【解析】 第一空,由题中“力作”一词,即意为“精心完成的作品”可知,空缺处所填词语应强调文学创作词语精练、立意深刻。A项,“千锤百炼”指对文章和作品进行多次精心的修改,与“力作”语意重复。BD两项,“入木三分”多比喻分析问题很深刻;“匠心独具”形容艺术构思运用得很独特,均与文意不符。C项,“力透纸背”形容书法刚劲有力,笔锋简直要透到纸张背面。也指诗文立意深刻,词语精练,符合文意。第二空,空缺处搭配“虚假的繁荣”。将“掩盖”代入空缺处,进行验证,“掩盖”意为从上面遮住或隐藏、隐瞒,与文中所强调的“虚假的繁荣”搭配恰当。因此答案选C。

30 平日里你看一些人唱歌,那是为发自内心的热爱而唱歌,她的欢愉和陶醉写在脸上,融在歌声里,________着听到的人,而另一些人,拿腔拿调,从技术上来说难以________,可就是感觉那声音没有生命,因为唱歌的人自己没有感动,他只是想________自己的嗓音和技巧而已。

依次填入画横线部分最恰当的一项是(  )。

A.感染 挑剔 炫耀

B.影响 超越 显示

C.打动 描述 展示

D.陶醉 评价 卖弄

【答案】 A

【解析】 第一空,根据语境可知,上下文是反对关系,转折词“而”之前说明唱歌给予听者“欢愉和陶醉”是对于这类歌唱者的赞美。B项,“影响”作为中性词,与题干感情色彩不一致。D项,“陶醉”与前文重复。第二空,与“技术上来说”有关,“描述”和“挑剔”相比,“挑剔”更强调技术的客观性,同时。第三空,“炫耀”更能体现出文意对于唱歌只有技巧和嗓音却并没有发自内心的唱歌者的不满和讽刺。因此答案选A。

31 做好科学传播,需要科学工作者具有一定的媒介素养,任何科学只要涉及到公共,就需要尊重公众的意见。当今世界,许多科学研究发现会被用来支持公共政策,这增加了公众的风险,关涉公共利益。科学工作者和相关部门就必须向公众做出解释,必须满足公众的知情权。而且,科学研究经费来源于公众纳税,科学工作者也有责任向公众进行科学传播,以获得后者的理解或支持,向公众解释科学研究,不是科学工作者可选的自由,而是一种必须承担的责任。

这段文字主要说明了(  )。

A.科学工作者的媒介素养有待进一步提高

B.科学工作者有向公众传播科学的义务

C.科学研究与公众的生活息息相关

D.合理的公共政策应建立在科学研究的基础上

【答案】 B

【解析】 文段首先指出科学工作者做好科学传播需要具有一定的媒介素养,需要尊重公众的意见,接着进一步指出科学工作者必须向公众作出解释,满足公众的知情权,最后以“而且……”再次强调科学工作者有责任向公众传播科学。因此文段强调的是科学工作者有向公众传播科学的义务。因此答案选B。

32 知识岗位与工业岗位之间存在极大的不同,因为想象力的进发需要时间,知识型的工作者在短期内很难取得成果,但他们的工作一旦取得突破,就能让生产力大幅度提高,所以以论文或者其他指标为考核标准的计件工资不适合这些人;因为思想不能像开光一样随意调控,知识型工作者也没有明确的上下班时间。因此低水平的计时工资也不适合这些人,但遗憾的是,这些问题还没有得到足够的重视,也没有得到有效解决。

这段文字主要说明了(  )。

A.知识型人才需要得到长期的经济支持

B.高素养人才是创新型经济的重要依托

C.对知识型工作者的考核方式并不合理

D.知识型人才与其他人才有很大的不同

【答案】 C

【解析】 文段首先就明确指出知识岗位与工业岗位之间存在极大不同,接着对此进行具体论述,最后以“但”一转,引出观点:知识岗位的工作考核方式没有得到重视,也并未得到有效解决。AB两项,文段并未提及知识型人才需要长期的经济支持和高素养人才是创新型经济的重要依托,无中生有。C项,文段主要讲述的是知识岗位工作者的考核方式存在不合理之处,C项是对文段重点的同义替换。D项,文段只是指出知识岗位与工业岗位之间存在极大不同,而非知识型人才与其他人才有很大的不同。因此答案选C。

33 上海租界中石库门建筑的产生,缘于战争。战争迫使长江流域的富人乃至平民涌向上海租界,人数激增,使得租界中的简屋应运而生,所谓简屋,材料上用的全是木头,形式上采用了西方住宅的毗连形式。因木板结构容易着火,为租界的长治久安,工部局将简屋大量拆除,而在1870年前后,上海开始建造里弄住宅,第一代石库门由此出现。

根据这段文字,接下来最有可能讲述的是(  )。

A.里弄住宅的历史记载

B.早期石窟门的建筑特点

C.战争与石库门产生的渊源

D.石库门住户的社会地位

【答案】 B

【解析】 文段主要讲述的是上海租界中石库门建筑产生与发展的历史,而在文段结尾处,讲到了在1870年前后,上海第一代石库门出现。按照一般行文逻辑,下文会围绕“第一代石库门”进行具体的叙述。B项,“早期石窑门的建筑特点”与“第一代石库门”有关。因此答案选B。

34 亚马逊公司推出一项新的版税规定,将对作家们的收入方式产生巨大影响。从7月开始,亚马逊旗下的电子图书作家将按照读者阅读的页数和时长领取版税。如果某本电子书无人问津,该作家的收入将受严重影响。亚马逊希望新的规定能更好地将读者的阅读兴趣和作家的创作动力关联起来。为了防止作弊,还将会考量读者在某一图书页面上的停留时间,如果是快速翻页,可能不会计算为有效阅读页数。

根据这段文字,可以推出(  )。

A.新规定将会加快图书行业的优胜劣汰

B.新规定有可能带来读者量的大幅增长

C.作家将对亚马逊公司产生更大的依赖性

D.电子图书作家将更多地迎合读者的口味

【答案】 D

【解析】 文段首先指出亚马逊公司推出的新规定对作家们的收入方式将产生巨大影响,接着具体阐释了新规定并着重分析了都有哪些影响,且提出“读者的阅读兴趣”会影响作者的收入。因此,可推断出为了提高收入,作家们的创作方向将可能会转向迎合读者的口味。因此答案选D。

35 当一种关注度热、期待性高、专业性强且被贴上全民利益标签的环境民事公益诉讼案件,日渐成为法院审判工作的新挑战之时,进行各种尝试及机制创新就成为应对复杂环境法治局面的必由之路,特别是如何逾越法官“隔行如隔山”的知识性短板实现裁判的准确高效,就是体制机制创新的核心。

这段文字告诉我们(  )。

A.环境诉讼案件的审判需要更高的专业素养

B.法官必须不断完善其知识体系

C.司法部门体制创新效果显著

D.法院审判工作应通过创新应对挑战

【答案】 D

【解析】 由文段中提到的关键词“法院审判工作”“新挑战”“各种尝试及机制创新”“必由之路”等可知,文段强调的是法院审判工作应通过创新应对挑战。因此答案选D。

36 在原始社会,人类不断受到野兽的侵袭和自然灾害的威胁,为了保护自己,都住在山洞里。原始人懂得,如果身处空旷的荒野中,就有被猛兽攻击的危险,而在较为狭窄的山洞里猛兽就不可能从四面八方来袭,使他们防不胜防。山洞成为原始人的天然“保护所”。这种“山洞安全感”随着人类的进化,一直隐伏在人的潜意识之中,并演化成了“狭窄空间”安全感。

下列说法与这段文字相符的是(  )。

A.原始人为求得生存会首先满足安全的需求

B.“山洞”与“狭窄空间”给人相似的心理感受

C.通过狭窄空间获得安全感是所有动物的本能

D.现代人有许多行为方式和心理现象都源自古人类

【答案】 D

【解析】 A项,“首先满足安全的需要”由文段推导不出,无中生有。B项,“山洞安全感”不等同于“山洞”,“狭窄空间安全感”也不等同于“狭窄空间”,偷换概念。C项,将“人类”说成“所有动物”,曲解原文。D项,由“这种‘山洞安全感’随着人类的进化,一直隐伏在人的潜意识之中,并演化成了‘狭窄空间’安全感”可知,现代人有许多行为方式和心理现象都源自古人类。因此答案选D。

37 当前,国际金融危机仍在持续蔓延,这场危机对全球实体经济的冲击日益明显,不少国家经济陷入衰退,社会稳定面临巨大挑战,世界经济秩序发生重大变化已成定局。____________其始作俑者就是过去30多年以来被称为“新自由主义”“经济自由主义”“经济原教旨主义”“撒切尔主义”或“华盛顿共识”的意识形态主导的资本主义发展的理论与政策。

填入画横线部分最恰当的一句是(  )。

A.这场危机其实来的并不偶然

B.市场机制的确是一只“看不见的手”

C.新自由主义的核心主张是最大程度自由化

D.这也许要归咎于美国积极打造“美元强势”

【答案】 A

【解析】 根据文段可知,文段首先介绍了国际金融危机对全球实体经济的冲击,并以承接上文的“世界经济秩序发生重大变化已成定局”作为第一段的总结,接着后文主要强调已成定局的原因,因此空缺处需要填入一个引出解释原因的句子。A项,“这场危机其实来得并不偶然”与“已成定局”呼应,同时引出后文解释原因。因此答案选A。

38 ①现在许多机关单位人事管理水平还停留在纸介质的基础上

②随着计算机技术、网络技术和信息技术的发展,现在办公系统更趋于系统化、科学化和网络化

③它的主要目的是实现信息交流和信息共享,提供协同工作的手段,提高办公的效率,让人们从繁琐的有纸办公中解脱出来

④这样的机制已经不能适应时代的发展,因为它浪费了许多的人力和物力

⑤网络办公自动化系统是计算机技术和网络迅速发展的一个办公应用解决方案

⑥在信息时代,这种传统的管理方式必然被计算机为基础的信息管理所取代

将以上5个句子重新排列,语序正确的是(  )。

A.②⑤③①④⑥

B.②⑤①③⑥④

C.⑤③②⑥①④

D.⑤①④⑥③②

【答案】 A

【解析】 首先,由选项首句②⑤比较可知,②是背景介绍,⑤是引出网络办公自动化系统是办公应用的解决方案的话题,因而相比较②应为首句。其次,分析上下文意,①表明人事管理机制存在问题,④说明人事管理机制不适应时代发展,故①④相连。因此,纵观这个文段,②先背景介绍引出办公系统特点,接着⑤描述网络办公自动化系统是解决方案;然后③具体介绍它的优势,同时①④对比说明纸介质不足,最后⑥说明今后趋势。因此答案选A。

39 ①有人调侃,“互联网是个筐,什么都能往里装”

②从“云计算”到“物联网”,从“大数据”到“工业4.0”,一个个耳熟能详的流行热词背后,蕴藏着互联网给予人类的巨大能量与无穷的想象空间

③“网络改变生活”并非一句空洞的广告语,它是业已发生且仍将继续发酵的生动现实

④但如果仅仅是巧借互联网为概念或噱头,用互联网的“新瓶”去包装传统模式的“旧酒”

⑤即便可能风光一时,也只会错失提升竞争力的难得机遇,最终被市场和消费者快速抛弃

将以上5个句子重新排列,语序正确的是(  )。

A.②①④③⑤

B.③④①②⑤

C.①③④⑤②

D.①③②④⑤

【答案】 D

【解析】 由选项尾句为⑤②比较可知,②是对网络改变生活的现状描述,⑤是承接④描述桥接互联网概念的后果,故⑤最为尾句更合适,而且④⑤相连,同时①引出互联网功能的强大,②对③网络改变生活的具体描述,③②相连。因此答案选D。

40 业内人士指出,限定最大客流量的方式对于景区环境的保护和游客旅游体验的提升均有积极意义,然而,由于缺乏权威的指标体系和测算方法,当前多以历史最大安全接待量作为限定客流量的判断标准,科学性和有效性均有待提高。专家指出,应从制度上明确景区承载量和游客人数的计算标准,在分类研究的基础上,双向构建景区最大承载量测算模型,其中,山岳型景区的最大承载量建议采用“线路容量法”进行核定,世界文化遗产地的最大承载量建议采用“面积容量法”进行核定,从而缓解当前这两类景区的游客超载压力。

这段文字意在强调(  )。

A.当前景区最大承载量的统计标准不科学

B.限定最大客流量对景区保护有重要意义

C.缓解景区超载压力需作最大承载量的分类研究

D.需要从制度上明确限定最大客流量的计算标准

【答案】 D

【解析】 文段首先引用业内人士的话来说明限定最大客流量的方式具有积极意义,接着以“然而”一转,指出限流由于缺乏权威的指标体系和测算方法,科学性和有效性均有待提高,最后再次引用专家的话,进一步强调应从制度上明确景区的限流量。故文段意在强调从制度上明确景区的限流量。AB两项,“当前景区最大承载量的统计标准不科学”“限定最大客流量对景区保护有重要意义”只是文段中所阐述的客观事实,并非文段所讲述的重点。C项,文段强调从制度上明确限定最大客流量的计算标准,应在“在分类研究的基础上,双向构建景区最大承载量测算模型”,而非最大承载量的分类研究。因此答案选D。

第三部分 数量关系

(共10题,参考时限10分钟)

在这部分试题中,每道题呈现一段表述数字关系的文字,要求你迅速,准确地计算出来答案。

请开始答题:

41 某款服装降价促销后,每天销量翻倍,获得的总利润增加50%,问每套服装降价的金额为(  )。

A.销售的1/4

B.销售价的1/8

C.利润额的1/2

D.利润的1/4

【答案】 D

【解析】 假设降价前每天销量是1,总利润额是2,则降价后每天销量是2,总利润额是3,每套服装降价的金额是1.5-1=0.5,相当于利润额的0.5÷2=1/4。因此答案选D。

42 甲、乙、丙、丁四个工厂共有100名高级技工。其中甲乙两个工厂的高级技工数量比为12:25,丙工厂的高级技工人数比丁工厂少4人,问丁工厂的高级技工人数比甲工厂(  )。

A.多6人

B.少6人

C.多9人

D.少9人

【答案】 D

【解析】 由题意可知,甲∶乙=12∶25,则甲+乙的总人数是37的整数倍,则甲+乙=37或74。又因丙比丁少4人,则丙+丁是偶数,则甲+乙是偶数,甲+乙=74,丙+丁=26,根据题中条件可推出丙=11,丁=15,甲=24,乙=50。故丁比甲少9人。因此答案选D。

43 某公司有38名男员工,27名女员工。现要参加集团组织的羽毛球比赛,如采取自由报名的形式,至少有多少名员工报名才能保证一定能从报名者中选出男女选手各8名参赛?(  )

A.65

B.46

C.35

D.16

【答案】 B

【解析】 根据题意考虑最差情况,所有男员工都报名,再有8名女员工报名就能保证一定能从报名者中选出男女选手各8名参赛,即38+8=46人。

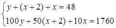
44 王大妈在市场承包了一个摊位卖水果,一天收摊后清点钱数时,王大妈发现手上有100元、50元和10元的钞票共48张,合计1760元,其中50元比10元多两张,问100元有多少张?(  )

A.8

B.6

C.4

D.2

【答案】 C

【解析】 根据题意,设10元钞票有x张,50元钞票有(x+2)张,100元钞票有y张。由题意可得

解得y=4,x=21。因此答案选C。

45 将白、蓝、红三种颜色的背包装到纸箱里,每个纸箱里放5个背包,颜色任意,质监部门需要对产品进行拆箱检查,问至少选多少个纸箱,才能保证一定有两个纸箱里三种颜色的背包数量都一致?(  )

A.20

B.19

C.22

D.21

【答案】 C

【解析】 每个纸箱里各色背包的个数可以如下分类:①有一种颜色有5个,其他两种颜色各0个,共有3种情况;②有一种颜色有4个,其他两种颜色分别为0个和1个,有 =6种情况;③有一种颜色有3个,其他两种颜色分别为0个和2个,有 =6种情况;④有一种颜色有3个,其他两种颜色各1个,有3种情况;⑤有一种颜色有2个,其他两种颜色分别为1个和2个,有3种情况。综上所述,共有3+6+6+3+3=21种可能情况,根据最不利原则,至少要选22个纸箱,才能保证一定有两个只想里三种颜色的背包数量一致。

46 某人决定从西安到北京自驾游,可供他选择的道路如下图所示,如果他每次只能由西南到东北方向行驶,则他到北京有多少种不同的行驶路线?(  )

A.8

B.9

C.10

D.11

【答案】 B

【解析】 根据题意可知,某人到北京的行驶路线分为两类:第一类,不经过阳泉,共有3条路线;第二类,经过阳泉,从西安到阳泉有3种方法,从阳泉到北京有2种方法,此类共有3×2=6种路线法。故他到北京共有3+6=9种行驶路线。

47 火车A过隧道,从车头进入隧道到车尾离开隧道共用时60秒,随后与迎面开来的另一辆火车B相遇,两车速度相同,火车B的长度是A的1.5倍,两车从车头相遇到车尾分开共用时5秒,问火车B从车尾进入隧道到车头离开隧道,要用时多少秒?(  )

A.50

B.52

C.54

D.55

【答案】 A

【解析】 根据题意,设火车A的速度为v,长度为S ,隧道长度为S 隧道 ,所求为t秒,则火车B的速度和长度分别为v、1.5S 。则有:火车A过隧道时,有60v=S +S 隧道 ①;火车A和火车B相遇时,有5×2v=S +1.5S ②;火车B从车尾进入隧道到车头离开隧道时,有tv=S 隧道 -1.5S ③。由①-③得(60-t)v=2.5S ,结合②可得(60-t)v=2.5S =10v,则t=50。因此答案选A。

48 专家对一批刚出土的古代钱币进行鉴定,星期一鉴定了总数的35%,星期二和星期三分别鉴定了前一天剩下的5/12和4/7,星期四鉴定完了所有剩下的钱币,问这批钱币至少有多少个?(  )

A.240

B.420

C.840

D.1200

【答案】 A

【解析】 根据题意可知,所求为钱币的最少个数,因此从选项中最小的数开始代入排除。A项,将240代入可得,星期一鉴定了240×35%=84个,剩240-84=156个,星期二鉴定了156×5/12=65个,剩156-65=91个,星期三鉴定了前一天剩下的4/7,91能被7整除,则符合题意。因此答案选A。

49 异常球赛共有3局,第一句结束后有20%的观众离场,第二局结束之后,剩下的观众中离场的比例比第一局结束时高出5个百分点,此时剩下的观众人数为600人,问球赛开始时有多少名观众?(  )

A.900

B.1000

C.1100

D.1200

【答案】 B

【解析】 设球赛开始时有x名观众,根据题意有(1-20%)(1-25%)x=600,解得x=1000。故球赛开始时有1000名观众。因此答案选B。

50.A和B两家公司的年营业额相同,其中A公司的利润额为全年营业额的1/10,B公司每个月的支出比A公司高100万元,其当年的亏损额为600万元,问A公司全年的营业额为多少万元?(  )

A.6000

B.5000

C.4000

D.3000

【答案】 A

【解析】 根据题意,设A、B公司的年营业额都为x,则有(1/10)x+600=12×100,解得x=6000。故A公司全年的营业额为6000万元。因此答案选A。

第四部分 判断推理

(共35题,参考时限35分钟)

一、图形推理,请按每道题的答题要求作答。

请开始答题:

51 请从所给的四个选项中选择最合适的一个填入问号处,使之呈现一定的规律。(  )

【答案】 B

【解析】 通过观察可知,题干图形中均含有4个圆,因此答案选B。

52 请从所给的四个选项中选择最合适的一个填入问号处,使之呈现一定的规律。(  )

【答案】 C

【解析】 通过观察可知,题干图形中直线(或曲线)之间互不相交,因此答案选C。

53 请从所给的四个选项中选择最合适的一个填入问号处,使之呈现一定的规律。(  )

【答案】 A

【解析】 通过观察可知,题干每行图形的对称轴数之和为3。由于第三列已知图形中的对称轴数为2,因此所填图形的对称轴数应为1。因此答案选A。

54 请从所给的四个选项中选择最合适的一个填入问号处,使之呈现一定的规律。(  )

【答案】 D

【解析】 通过观察可知,题干每行三个图形都含有相同的部分。第一行都含有三个圆,第二行都含有一个锐角,第三行应都含有四个圆。因此答案选D。

55.A、B、C、D中哪个与X图形互换位置后,新的六个图形序列能形成一定得规律?(  )

【答案】 C

【解析】 通过观察可知,题干图形中所含有的三角形个数从左至右分别有:1、2、3、6、5、4个。因此,若将C与X对调后,图形中的三角形个数依次为1、2、3、4、5、6,呈等差数列。因此答案选C。

二、定义判断。每道题先给出定义,然后列出四种情况,要求你严格依据定义,从中选出一个最符合或最不符合该定义的答案。注意:假设这个定义是正确的,不容置疑的。

请开始答题:

56 划分指的是把概念所反映的对象分为若干既不相交、也不遗漏的小类,来揭示这个概念所反映的对象,从而明确概念的方法。

根据上述定义,以下哪项中的划分是正确的?(  )

A.《诗经》中的作品包括“风”“雅”和“颂”

B.颜色可分为赤、橙、黄、绿、青、蓝、紫

C.文学作品包括小说、诗歌、散文、戏剧、舞蹈和绘画等

D.大学专业包括文科专业、应用型专业和非应用型专业等

【答案】 A

【解析】 “划分”定义要点是:“把概念所反映的对象分为既不相交、也不遗漏的小类”。A选,符合定义要点。BC两项,划分有遗漏。D项,分类有相交。因此答案选A。

57 生物节律是一种生物内在的、复杂而精细的生理调节系统,它使动植物得以根据外界环境的周期性变化来协调自身新陈代谢及各种生理过程,从而与环境保持同步。

根据上述定义,下列哪项不属于生物节律的范畴?(  )

A.银汉鱼只在涨潮时在岸上产卵

B.蜜蜂通过比较太阳与自身的位置关系来辨别方向

C.蒲公英每天以半小时为周期绽放、凋落

D.散客乘飞机到国外需要休息一两天倒时差

【答案】 B

【解析】 “生物节律”的定义要点是:“动植物得以根据外界环境的周期性变化来协调自身新陈代谢及各种生理过程”。ACD三项,“银汉鱼只在涨潮时在岸上产卵”“蒲公英每天以半小时为周期绽放、凋落”“散客乘飞机到国外需要休息一两天倒时差”都能体现生物根据外界环境的周期性调节自身新陈代谢以及各种生理过程,从而与环境同步。B项,蜜蜂通过与太阳的相对位置来辨别方向,并未体现定义要点。因此答案选B。

58 亲社会行为泛指一切符合社会期望而对他人、群体或社会有益的行为,其特征表现为高社会赞许性、自利性、利他性和互惠性。亲社会行为不仅使个体能够获得来自社会的、他人的和自我的奖励,而且能够避免来自社会的他人的和自我的惩罚。

根据上述定义,以下不属于亲社会行为的是(  )。

A.小王为了得到朋友称赞,总是积极参加慈善团体的志愿者服务

B.大雪之后,小张只扫除了自己家门外的车道和人行道上的积雪

C.小张被老板克扣工资,同事小胡答应帮他拿公司的钢材去卖了弥补

D.小李非常节俭,总是把废品分类,并把能够卖掉的拿去卖钱

【答案】 C

【解析】 “亲社会行为”的定义要点有:①“符合社会期望,对他者有益的行为”;②“表现为高社会赞许性、自利性、利他性和互惠性”;③“使得个体能够获得奖励、避免惩罚”。ABD三项,“积极参加慈善集团的志愿者服务”“扫除人行道上的积雪”“废品分类”是符合社会期望,对他者有益的行为,符合亲社会行为的定义要点。C项,小胡答应拿公司的钢材去卖以弥补张被克扣工资的行为并不符合社会期望,也无法对社会有益,不属于亲社会行为。因此答案选C。

59 纵向研究是指在很长一段时间内(可能是几十年)定期对被试进行研究,通过长时间对被试的研究,研究者可以调查到某种异常的发生相关联的事件,并从中辨认出预测此种异常发展的相关因素。

根据上述定义,下列属于纵向研究的是(  )。

A.通过自1962年起追踪研究一群母亲患精神分裂的儿童发现,这些儿童患精神分裂症的风险比其他儿童大,从而认为,母亲患精神分裂症可以一定程度上预测孩子患此种疾病。

B.通过大量观察经常去酒吧喝酒的人发现,他们比一般人更容易与人发生争执和冲突,从而认为,体内酒精含量在一定程度上可以预测供给性行为

C.通过与抑郁症患者长期谈话发现,消极思维可能引起抑郁症,但也有可能刚好相反——抑郁导致了消极思维

D.在对青少年酒精成瘾的众多相关因素(如家族史、学业成就、对饮酒的态度等)的大量调查分析中,研究者发现,对饮酒的态度与青少年酒精成瘾的相关性最高

【答案】 A

【解析】 “纵向研究”的定义要点是:①“在很长一段时间内(可能是几十年)定期对被试进行研究”;②“通过研究,可调查到某种异常的发生相关联的事件”;③“从中辨认出预测此种异常发展的相关因素”。A项,对一群母亲患精神分裂症的儿童的追踪调查自1962年开始,发现这些儿童患精神分裂症的风险比其他儿童大,从而认为母亲患精神分裂症可以一定程度上预测孩子患此种疾病,能够分别体现“纵向研究”的三个定义要点。BCD三项,都没有体现纵向研究中“定期对被试者在很长一段时间内的研究”这一定义要点。因此答案选A。

60 职能治疗是指借助有目的性的活动来治疗或协助生理、心理或社会功能有障碍的人,使他们能够获得最大的生活独立性。

根据上述定义,下列属于职能治疗的是(  )。

A.机构养老越开越多地替代居家养老,可以使老年人充分参与社交活动,有利于身心健康

B.某医院的老年病房除了常规的医学治疗外,还开展各种活动以外增强患者的自理能力

C.延长某些职业的退休年龄可以使部分老年人经济独立,在工作中延缓衰老

D.某社区定期将控场老人聚在一起矩形各种活动,使这些老人逐步走出了空虚寂寞的阴影

【答案】 B

【解析】 “职能治疗”的定义要点有:①有目的性的活动;②协助治疗或协助有障碍的人;③“使他们能够获得最大的生活独立性”。A项,是养老方式的多样化,并不是有目的的活动。B项,“常规的医学治疗”和“各项活动”都是有目的的活动,符合定义要点①;治疗医院老年患者符合定义要点②;“增强患者的自理能力”符合定义要点③。C项,“职能治疗”针对的对象是需要治疗和有某方面的障碍的人,而非在工作中延缓衰老的老年人。D项,是为了丰富老人的精神生活让他们摆脱空虚寂寞,而非治疗或协助生理、心理或社会功能有障碍。因此答案选B。

61 业绩关系指的是人们由职业或行业活动需要而结成的人际关系,是人们在相同、相近或相关的职业、专业之间发生和建立的一种社会关系。

根据上述定义,以下哪项中涉及的主要是业绩关系?(  )

A.张大妈和杨大嫂在黑潭寺进香礼佛是经常相遇,渐渐她们之间无话不谈

B.成敏和成佳是通过续家谱而认识的远亲,后来她们经常互相帮助

C.在一个大学工作的老程和小夏在同乡会上认识之后关系越走越近

D.王冰和李红是同事,因为共同竞争公司副总而关系紧张

【答案】 D

【解析】 “业绩关系”的定义要点是:由职业或行业活动形成的人际关系。ABC三项,张大妈和杨大嫂、成敏和成佳、老程和小夏分别是在进香礼佛、家谱和同乡会中认识的,不是因为职业或行业活动而认识的,不符合业绩关系的定义要点。D项,王冰和李红是职业方面的关系,符合定义要点。因此答案选D。

62 彼得原理指的是在通常的层级组织中,在一个岗位工作出色的职员往往会被提拔到上一层级的岗位上,直到他被提拔到一个不能胜任的岗位为止,即每一个职员都有可能晋升到不能胜任的层级。

根据上述定义,下列体现彼得原理的是(  )。

A.一个长期做不出科研成果的研究人员被安排到行政岗位上之后,做的有声有色

B.神枪手小赵因屡立战功从战士一路被提拔为连长后,不知道怎么指挥队伍

C.从知名商学院毕业后的小李进入家庭企业担任高层职务,因缺乏经验多次决策失误

D.外企管理层老陈跳槽到某民企任高管,因做事风格独特无法得到下属的认可

【答案】 B

【解析】 “彼得原理”的定义要点有:①“在一个岗位工作出色的职员往往会被提拔到上一层级的岗位上”;②职工被提拔到一个不能胜任的岗位。A项,提拔后可以胜任,不符合彼得原理的定义要点②。B项,小赵因屡立战功被提拔为连长符合定义要点①,被提拔为连长后无法胜任符合定义要点②。C项,并未体现提拔过程,不符合彼得原理的定义要点①。D项,因为做事风格独特而尚未得到认可,并不是他的能力不能胜任那个岗位,不符合定义要点。因此答案选B。

63 预期社会化,是一种指向未来角色的社会学系过程,人们要学习的不是现在要扮演的角色,而是将来要扮演的角色。

根据上述定义,下列属于预期社会化的是(  )。

A.为了能出国读大学,中学生小李努力学习英语准备托福考试

B.初为人母的小张开始学习给婴儿喂奶、洗澡、换纸尿裤等

C.为了更好的适应今后的生活,退休后的老赵开始学习太极拳和书法

D.小明的理想是当一名厨师,刚上初中就开始钻研菜谱

【答案】 D

【解析】 “预期社会化”的定义要点是:体现要学习的不是现在要扮演的角色,而是未来要扮演的角色。A项,小李是为了未来的目标,正在做现在的角色需要做的,不符合预期社会化的定义要点。BC两项,小张和老赵是已经在那个角色中,在学习当前角色的内容。D项,小明现在是角色是学生,而他为将来要做的厨师角色而学习体现了预期社会化。因此答案选D。

64 科学学又称“科学的科学”,是研究科学和科学活动的发展规律及其社会影响的一门综合性新学科。理论科学学指的是以科学的性质、结构、功能、方法、发展规律为研究对象的科学学。应用科学学指的是以科学和科学活动的经济效益、组织管理、心理现象、行为规范、语言符号等为研究对象的科学学。

根据上述定义,以下哪项属于应用科学学?(  )

A.科学哲学

B.科学思想史

C.科学理论学

D.科学方法论

【答案】 D

【解析】 “应用科学学”的定义要点有:①以科学和科学活动的经济效益、组织管理和行为规范等为研究对象的;②主要是应用、操作层面的。D项,科学方法论符合定义要点。因此答案选D。

65 差异性市场营销指的是面对已经细分的市场,企业选择两个或两个以上的子市场作为市场目标,分别对每个子市场提供针对性的产品和服务以及相应的销售措施。企业根据子市场的特点,分别制定产品策略、价格策略、分销策略以及促销策略并予以实施。

根据上述定义,下列哪项属于差异性市场营销?(  )

A.某快捷酒店的休息阅览区既有双人座,也有单人座;既有单纯书刊阅读的座位,还有提供网络查询的座位

B.某公司针对市场生产出11个品牌的洗衣粉,既有强力去污但价格较高的,也有去污较强但价格适中的,还有物美价廉的

C.在北京某尾货市场,既有大量的服装摊位,也有不少办公用品摊位,甚至还有各种电器厂家在此直销

D.现在的年轻人对于手提电脑有着不同的需求,有些人喜欢经典品牌,有些人喜欢高配置的,还有一部分人喜欢玩新潮

【答案】 B

【解析】 “差异性市场营销”的定义要点有:①已经细分的市场;②企业选择两个或两个以上的子市场作为目标;③根据子市场的特点制定策略。AC两项,不符合定义要点①②③。D项,只叙述消费者的不同需求,不符合定义要点③。因此答案选B。

三、类比推理。每道题先给出一组相关的词,要求你在备选答案中找出一组与之逻辑关系上最为贴近、相似或匹配的词。

请开始答题:

66 蝉蛹:飞蛾(  )

A.种子:果实

B.小鸭:天鹅

C.胎儿:婴儿

D.蝌蚪:青蛙

【答案】 D

【解析】 题干中词语的逻辑关系是:蚕蛹是飞蛾变态发育过程中变态前的形态。ACD三项,种子结出果实、小鸭变成天鹅、胎儿出生为婴儿都不是在发育过程中变态前后的两种不同形态,与题干逻辑关系不一致。D项,蝌蚪是青蛙变态发育过程中变态前的形态,与题干逻辑关系一致。因此答案选D。

67 铠甲:士兵(  )

A.专利:发明者

B.图书馆:文献

C.工会:员工

D.卧底:睡眠

【答案】 A

【解析】 题干中词语的逻辑关系是:士兵穿铠甲,铠甲对士兵的身体有保护作用。A项,发明者申请专利,专利对发明者的权益有保护作用,与题干的逻辑关系一致。BCD三项,皆与题干的逻辑关系不一致。因此答案选A。

68 初试:复试:笔试(  )

A.体检:审查:考察

B.招聘:应聘:录用

C.口语:听力:阅读

D.半决赛:决赛:淘汰赛

【答案】 D

【解析】 题干中词语的逻辑关系是:初试和复试是考试的不同阶段,二者有时间上的先后关系,笔试可以安排在任意阶段。A项,“体检”和“审查”并未体现时间上的先后关系,“考察”也并非可以安排在任意阶段,与题干的逻辑关系不一致。B项,“招聘”和“应聘”是招聘过程中的不同阶段,二者具有时间上的先后关系,但“录用”只能发生在“应聘”阶段之后,与题干的逻辑关系不一致。C项,“口语”和“听力”是雅思考试中的不同阶段,二者具有时间上的先后关系,但“口语”阶段没有“阅读”,且“阅读”只能发生在“听力”之后,与题干的逻辑关系不一致。D项,半决赛和决赛是比赛的不同阶段,二者有时间上的先后关系,淘汰赛可以安排在任意阶段,与题干的逻辑关系一致。因此答案选D。

69 进步:变化:倒退(  )

A.恒星:星体:行星

B.多云:天气:下雨

C.打针:治疗:吃药

D.真理:认识:谬误

【答案】 D

【解析】 题干中词语的逻辑关系是:进步和倒退是变化的两个相对的方向。A项,恒星和行星与星体之间不存在两个相对的关系,与题干的逻辑关系不一致。B项,多云和下雨都是天气的一种表现形式,并不存在两个相对的关系,与题干的逻辑关系不一致。C项,打针和吃药都是治疗的一种方式,与题干的逻辑关系不一致。D项,真理和谬误是认识的两个相对的方向,与题干的逻辑关系一致。因此答案选D。

70 橡胶:轮胎:汽车(  )

A.玻璃:水杯:容器

B.塑料:键盘:电脑

C.木材:纸笔:课本

D.线丝:衣架:阳台

【答案】 B

【解析】 题干中词语的逻辑关系是:橡胶是制作轮胎的原材料之一,轮胎属于汽车的一部分。A项,玻璃是制作水杯的原材料之一,但水杯不属于容器的一部分,与题干的逻辑关系不一致。B项,塑料是制作键盘的原材料之一,键盘属于电脑的一部分,与题干的逻辑关系一致。C项,木材是纸笔的原材料之一,但纸笔不属于课本的一部分,与题干的逻辑关系不一致。D项,线丝是制作衣架的原材料之一,但衣架不属于阳台的一部分,与题干的逻辑关系不一致。因此答案选B。

71 上午:下午:夜晚(  )

A.秒:分:时

B.有理数:无理数:实数

C.青年:中年:老年

D.正常:非正常:状态

【答案】 C

【解析】 题干中词语的逻辑关系是:上午、下午和夜晚分别是一天由先到后的不同阶段。A项,秒、分、时都是时间的单位,与题干的逻辑关系不一致。B项,实数是由有理数和无理数组成的,与题干的逻辑关系不一致。C项,青年、中年和老年分别是人生长由先到后的不同阶段,与题干的逻辑关系一致,当选。D项,正常和非正常是两种相对应的状态,与题干的逻辑关系不一致。因此答案选C。

72 工作量:工作效率:工作时间(  )

A.速度:路程:时间

B.质量:密度:体积

C.利润:总收入:成本

D.工人制造价值:工人工资:剩余价值

【答案】 B

【解析】 题干中词语的逻辑关系是:工作量=工作效率×工作时间。A项,速度=路程/时间,与题干的逻辑关系不一致。B项,质量=密度×体积,与题干的逻辑关系一致。C项,利润=总收入-成本,与题干的逻辑关系不一致。D项,工人制造价值、工人工资与剩余价值三者之间的逻辑关系,与题干的逻辑关系不一致。因此答案选B。

73 奏折:公文:官吏(  )

A.里弄:胡同:街道

B.学堂:书院:教授

C.绝句:诗歌:诗人

D.庙宇:住宅:僧人

【答案】 C

【解析】 题干词语的逻辑关系是:奏折属于公文的一种形式,官吏写奏折。A项,里弄就是胡同,两者没有归属关系,且里弄是街道,但街道不一定是胡同,与题干的逻辑关系不一致。B项,学堂是学校的旧称,书院是中国古代民间教育机构,学堂不是学院的一种形式,与题干的逻辑关系不一致。C项,绝句是诗歌的一种形式,诗人写绝句,与题干的逻辑关系一致。D项,僧人住庙宇,但庙宇不属于住宅的一种形式,与题干的逻辑关系不一致。因此答案选C。

74 ________对于入学相当于驾照对于________。(  )

A.学生 司机

B.通知书 开车

C.课堂 培训

D.迟到 违章

【答案】 B

【解析】 题干中词语的逻辑关系是:有通知书才能入学,有驾照才能开车,前者是后者的必要条件。因此答案选B。

75 ________对于蓝牙耳机相当于电话对于________。(  )

A.手机 无线电话

B.喇叭 移动电话

C.耳机 手摇电话

D.听筒 电话话筒

【答案】 C

【解析】 题干中词语的逻辑关系是:蓝牙耳机是耳机的一种,手摇电话是电话的一种。因此答案选C。

四、逻辑判断。每道题给出一段陈述,这段陈述被假设是正确的,不容置疑的。要求你根据这段陈述,选择一个答案。注意:正确的答案应与所给的陈述相符合。不需要任何附加说明即可以从陈述中直接推出。

请开始答题:

76 生活中有一些人会去反复检查门窗确保安全,反复洗手以保持干净等。他们明知这是不合理的,但不得不做,重复这种无意义的动作并为此耗费大量时间而痛苦不堪,这种病症被称为强迫症。晓晓每天反复洗手的次数是一般人的30倍,可据此认为,晓晓患了强迫症。

以下哪项如果为真,最能质疑上述结论?(  )

A.晓晓的工作决定它需要保持双手清洁

B.晓晓家人的洗手次数多于普通人

C.晓晓洗手时并没有感到痛苦烦恼

D.晓晓曾经忘记检查门窗,结果家中被盗

【答案】 A

【解析】 文段的论点为:晓晓患了强迫症;论据为:晓晓每天反复洗手的次数是一般人的30倍。A项,说明晓晓洗手次数多是工作需求,质疑了题干结论。BCD三项,均不能质疑题干结论。因此答案选A。

77 目前,是否应该提升水价成为人们热议的问题,有学者认为水价应该上涨,其原因有两个。一是提升水价有利于节约用水。价格提高了,人们自然会节约成本。二是有利于水质的提升,虽然价格上去了,但是如果水质相应提升,可以达到纯净水的水质,对于大家来说,相当于购买纯净水。水质提升是需要成本的,因此水价上涨是可以接受的。

以下哪项如果为真,不能反驳该学者的论证?(  )

A.基础资源提价的最终结果只能是百姓受损和通货膨胀

B.节水观念深入人心才是实现节约用水的根本途径

C.在现有的涨价幅度内还无法使水达到纯净水的水质

D.提升的水价实际上只占人们生活支出的很小一部分

【答案】 D

【解析】 文段的论点为:水价上涨是可以接受的;论据为:提升水价有利于节约用水和水质的提升。A项,水价上涨使百姓受损和通货膨胀,反驳了论据。B项,说明了上涨水价并不是实现节约用水的根本途径,反驳了论点。C项,说明现有涨价幅度无法实现水质的提升,均反驳了题干论证。D项,说明提升水价对人们的生活影响甚微,加强了题干观点。因此答案选D。

78 多年来,科学家通常认为,近视在很大程度上是源于基因。然而,最近一项针对视力正常的8~9岁儿童的追踪研究显示,5年之后,惟一和儿童患近视呈显著相关的环境因素是儿童在户外待的时间,在户外时间较少的儿童患上近视的风险较高。由此研究者提出:在室内待的时间太长会增加儿童患近视的风险,多在室外活动有助于预防近视。

以下各项如果为真,哪项最能驳斥研究者的观点?(  )

A.在室内,眼球要努力将近距离图像聚焦在视网膜上,长期室内活动会影响眼球的生长,户外更远的视觉距离会防止近视的发生

B.动物实验表明,和正常的室内光线相比,与户外光线相当的高照明度使实验导致的近视发生率减少了约60%

C.人们的估算通常无法与儿童在户外待的时及时间准确匹配

D.随着年龄增长,儿童花在读书、学习或盯着电脑屏幕上的时间越来越多

【答案】 C

【解析】 文段中的论点为:“在室内呆的时间太长会增加儿童患近视的风险,多在室外活动有助于预防近视”;论据为:通过对8~9岁的儿童的追踪研究发现,在户外时间较少的儿童患上近视的风险较高。A项,通过原理阐释解释了题干结论,加强了提干论点。B项,通过对比说明儿童多在室外活动有助于预防近视,加强了题干论点。C项,质疑了追踪研究的可靠性,削弱了题干论点。D项,与题干结论无关。因此答案选C。

79 有研究认为,赤湖是近岸海水受到有机物污染所致,当含有大量有机物的生活污水、工业废水和农业废水流入海洋后,赤湖生物便会急剧繁殖起来,从而形成赤湖。因此有人认为,只要限制有机物污染海水,就可以有效减少赤湖。

以下哪项如果为真,最能削弱上述论证?(  )

A.某些地区的海水从未出现过赤湖

B.全球气候变暖也是引发赤湖的原因

C.赤湖生物在海水中的密度呈动态变化

D.有机物是生命产生的物质基础,所有生命体都含有有机化合物

【答案】 B

【解析】 文段中的论点为:“只要限制有机物污染海水,就可以有效减少赤湖”;论据为:“当含有大量有机物的生活污水、工业废水和农业废水流入海洋后,赤湖生物便会急剧繁殖起来,从而形成赤湖”。A项,“某些地区的海水从未出现过赤潮”不能削弱题干论证。B项,说明有其他因素能引起赤潮,削弱了题干论述。C项,与题干结论无关。D项,含有“有机化合物”和题干“有机物污染海水”非同一概念,不能削弱题干论点。因此答案选B。

80 某公司成立了篮球、足球和乒乓球三个业余活动小组,甲、乙、丙均报名参加。三人在不同的小组,且每人只参加了一组,对于他们参加业余活动小组的情况,有如下三种猜测:

(1)甲参加了篮球组,乙参加了足球组。

(2)丙没参加足球组,乙参加了篮球组。

(3)甲没参加篮球组,乙参加了乒乓球组。

如果上述三种猜测都只对了一半,则甲、乙、丙分别参加的是(  )。

A.乒乓球组、足球组和篮球组

B.足球组、篮球组和乒乓球组

C.篮球组、乒乓球组和足球组

D.足球组、乒乓球组和篮球组

【答案】 A

【解析】 A项,将其代入题干,则三句话各有一真一假,符合题干信息。B项,将其代入题干,则(1)的两句话全假,与题干矛盾。C项,将其带入题干,则(2)的两句话全假,与题干矛盾。D项,将其代入题干,则(2)的两句话全假、(3)的两句话全真,与题干矛盾。因此答案选A。

81 以往研究表明,喝咖啡会增加患骨质疏松症的风险,而一项最新的,更为可靠的研究得出的结论为:咖啡与骨质疏松的发病无关,估计这项研究成果公布之后,咖啡的消费量会显著上升。

上述推论基于以下哪项假设?(  )

A.老年人易患骨质疏松,而老年人并不爱喝咖啡

B.爱喝咖啡的年轻人很少患有骨质疏松症

C.咖啡搭配牛奶会大大减少骨质疏松症的患病风险

D.许多人不喝咖啡是因为他们相信咖啡会导致骨质疏松

【答案】 D

【解析】 文段由咖啡与骨质疏松发病无关推出咖啡的消费量会显著上升,之间缺少联系,只有不买咖啡的人中很大一部分是因为害怕骨质疏松的情况下,二者之间才能建立联系。D项,是题干必要的假设。因此答案选D。

82 有了宽容之心,见人之长,容人之短;见人之功,容人之过。有了宽容之心,就可以心平气和,不居高临下,盛气凌人,不为蝇头小利斤斤计较,不为虚名耿耿于怀。有了宽容的胸怀,就不会以己之优势识人而漠视了贤才,以己之喜好遇人从而拒绝了知己。以己之度量度人而误解了朋友。有了宽容的美德,就具备了人格的魅力,只有宽容他人,才能成就自己。

由此不能推出(  )。

A.如果你赢得知己,那你一定没有以己之喜好遇人

B.如果你没有成就自己,那一定是因为你没有宽容他人

C.如果你为蝇头小利而斤斤计较,就说明你没有宽容之心

D.如果你不具备人格的魅力,那一定是因为你缺乏宽容的美德

【答案】 B

【解析】 题干中最后一句“只有宽容他人,才能成就自己”是必要条件假言命题,否定后件不能否定前件。因此答案选B。

83 王某怀着期待的心情到某市旅游,刚出火车站自己的钱包就丢了。于是王某得出结论:这个城市的治安很差,犯罪率很高。

以下哪项如果为真,最能削弱上述结论?(  )

A.王某到达火车站的时间是深夜,丢钱包是偶然事件

B.该市警力部署在市区,火车站巡警人数较少

C.王某个性消极,常常做出负面评价

D.王某经常丢三落四,没有收好钱包

【答案】 D

【解析】 文段的论点为:王某由丢了钱包,推出城市的治安很差,犯罪率很高。ABC三项,将王某丢钱包归于偶然事件、火车站巡警人数较少和王某的消极个性,不能有力地削弱文段中的论点。D项,王某丢钱包是因为他自己丢三落四,并非是被人偷了钱包,丢钱包是“另有他因”有力地反驳了王某的论证。因此答案选D。

84 通常情况下,人们都会觉得日照久了会有头晕目胀的感觉,会让机体血压升高,身体感觉不适,但最新研究发现,阳光中的紫外线其实有着不为人知的作用,不仅不会升高血压,还有助于降低血压。

以下哪项如果为真,不能支持上述结论?(  )

A.紫外线照射可以将人体中积存的氮释放到血液中去,这会引起皮肤细胞释放出一氧化氮,而这种化合物有助于舒缓血管

B.持续日照时人们会感觉体温升高,心跳加快,如果没有适当补充水分,血压就会升高

C.实验发现,不同波长的紫外线,对血压的影响差异极大,一般而言长波紫外线有益于降压,而短波则没有效果

D.志愿者晒太阳20分钟后血压均有小幅下降,而未晒太阳的对照组志愿者血压没有明显变化

【答案】 B

【解析】 文段的论点为:阳光中的紫外线不仅不会升高血压,还有助于降低血压。A项,紫外线照射可引起皮肤细胞释放出一氧化氮,这种化合物有助于舒缓血液,支持了题干结论。B项,持续日照若无适当水分补充,血液就会升高,表明了题干结论与事实不符,反驳了题干结论。C项,为题干提供了解释,支持了题干结论。D项,为题干结论提供了一个论据,加强了题干结论。因此答案选B。

85 经济学理论认为,丰富的自然资源可能是经济发展的诅咒而不是祝福,大多数自然资源丰富的国家比那些资源稀缺的国家经济增长得更慢。历史表明,避免“资源诅咒”是十分困难的,而且并非如很多人所认为的,只有尼日利亚等欠发达国家才会受这一诅咒的困扰。

由此可以推出(  )。

A.发达国家比欠发达国家更能避免“资源诅咒”的困扰

B.欠发达国家比发达国家更能避免“资源诅咒”的困扰

C.资源稀缺的欠发达国家,也会受到“资源诅咒”的困扰

D.不是欠发达国家的国家,也会受到“资源诅咒”的困扰

【答案】 D

【解析】 题干中最后一句“而且并非如很多人所认为的,只有尼日利亚等欠发达国家才会受到这一诅咒的困扰”可以简化为:并非只有欠发达国家才会受到这一诅咒的困扰,即D项。

第五部分 资料分析

(共15题,参考时限15分钟)

所给出的图、表、文字成综合性质资料均有若干个问题要你回答,你应根据资料提供的信息进行分析、比较、计算和判断处理。

一、根据所给资料,回答86~90题。

表 2012年全国电力工业统计数据一览表

86 与上年相比,2012年全社会用电量增长了约多少亿千瓦时?(  )

A.2585

B.2727

C.2979

D.3155

【答案】 A

【解析】 根据表格数据可知,2012年全社会用电量49591亿千瓦时,同比增长5.5%,则与上年相比,2012年全社会用电量增长量为49591÷(1+5.5%)×5.5%≈4960÷105×55≈2598亿千瓦时,A项最接近。因此答案选A。

87 2011年第二产业用电量占当年全社会用电量的比重约是多少?(  )

A.67.8%

B.70.8%

C.73.9%

D.75.1%

【答案】 D

【解析】 根据表格数据可知,2012年第二产业用电量为36669亿千瓦时,同比增长3.9%,2012年全社会用电量49591亿千瓦时,同比增长5.5%,则2011年第二产业用电量占当年全社会用电量的比重为[36669÷(1+3.9%)]÷[49591÷(1+5.5%)]=(36669÷49591)×(1.055÷1.039)≈(367÷496)×(1.06÷1.04)≈75.4%,D项最接近。因此答案选D。

88 按照2011年发电新增设备容量从高到低排序正确的是(  )。

A.水电 火电 核电 风电

B.水电 火电 风电 核电

C.火电 风电 水电 核电

D.火电 水电 风电 核电

【答案】 C

【解析】 根据表格数据可知,2011年水电新增设备容量为1900÷(1+55.1%),火电为5100÷(1-13.4%),核电为66÷(1-39.4%),风电为1537÷(1-3.9%)。很明显5100÷(1-13.4%)最大,66÷(1-39.4%)最小。比较1900÷(1+55.1%)与1537÷(1-3.9%)的大小,1900÷(1+55.1%)<1500<1537÷(1-3.9%),则从高到低排序为火电、风电、水电、核电。因此答案选C。

89 在水电、火电、核电和风电四种发电方式中,2012年发电新增设备容量和全口径发电装机容量在全国总体数据中占比均高于上年的有几类?(  )

A.0

B.1

C.2

D.3

【答案】 B

【解析】 根据表格数据可知,2012年全国发电新增设备容量同比下降3.2%,其中仅有水电同比增速55.1%高于全国,占比高于上年;全国全口径发电装机容量同比增长8.2%,其中,水电同比增长8.3%,风电同比增长32.7%,占比高于上年。由此可得,2012年发电新增设备容量和全口径发电装机容量在全国总体数据中占比均高于上年的仅有水电,仅有一类。因此答案选B。

90 以下说法正确的是(  )。

A.2011年第三产业用电量不到5000亿千瓦时

B.2011年城乡居民生活用电量突破6000亿千瓦时

C.2012年发电设备容量增长主要有水电带动

D.2011年全口径发电装机容量超过10亿千瓦

【答案】 D

【解析】 A项,2011年第三产业用电量[5690÷(1+11.5%)]×11.5%>[5690÷(1+1/9)]×1/9>5690×9/10=5121>5000亿千瓦时。B项,2011年城乡居民生活用电量为6219÷(1+10.7%)<6219÷1.1=5***<6000亿千瓦时。C项,2012年火电新增设备容量5100万千瓦,水电新增设备容量1900万千瓦,5100>1900,则发电设备容量增长主要由火电带动。D项,2011年,全口径发电装机容量为11.44÷(1+8.2%)>11.44÷1.1>10亿千瓦时。因此答案选D。

注:*代表某个数字,在考试中,为节省时间,常常采用估算法,某些数字不必精确计算出来。

二、根据所给资料,回答91~95题

2014年上半年全国共生产汽车1178万辆,同比增长9.6%,其中,乘用车971万辆,同比增长12.1%;商用车207万辆,同比下降0.6%,销售汽车1168万辆,同比增长8.4%,其中乘用车963万辆,同比增长11.2%;商用车205万辆,同比下降3.2%。

图 2014年1~6月乘用车月产销量情况

91 与2013年同期相比,2014年上半年乘用车产量占汽车产量比重(  )。

A.减少1.8%

B.减少8%

C.增加1.8%

D.增加8%

【答案】 C

【解析】 根据文字材料“2014年上半年全国共生产汽车1178万辆,同比增长9.6%,其中,乘用车971万辆,同比增长12.1%”可知,2014年上半年乘用车产量占汽车产量比重相较于2013年同期增加为971/1178-[971/(1+12.1%)]÷[1178/(1+9.6%)]=971/1178-[(971×1.096)/(1178×1.121)]=(971/1178)×(25/1121)=1.8%。因此答案选C。

92 2014年上半年,乘用车产量超过上半年月均产量的月份有几个?(  )

A.2

B.3

C.4

D.5

【答案】 C

【解析】 根据文字材料和表格数据可知,2014年上半年乘用车月平均产量为971÷6=161.8万辆,超过该数值的月份有1、3、4、5月,共4个月份。因此答案选C。

93 2014年上半年乘用车月产量与月销售量绝对差最小的一个月,其产销率(销量÷产量)为(  )。

A.96%

B.98%

C.99%

D.108%

【答案】 B

【解析】 根据表格数据可知,乘用车月产量与销量绝对差最小的是2月份,其产销率为131.22÷133.88=98%。因此答案选B。

94 以下各月中,哪个月的乘用车产量环比增速高于同比增速?(  )

A.2014年3月

B.2014年2月

C.2014年5月

D.2014年4月

【答案】 A

【解析】 根据表格数据可知,每月的产量数据,只有3月份环比增长,增长率为174.83÷133.88-1≈30%,明显高于同比增长率。因此答案选A。

95 能够从上述资料中推出的是(  )。

A.2014年2季度乘用车销量同比上升15%以上

B.2014年上半年汽车产销率高于上半同期水平

C.2013年2月乘用车产量为120万两辆

D.2013年上半年商用车销量超过200万辆

【答案】 D

【解析】 A项,根据表格数据可知,2014年4~6月份销量同比增长率分别为11.6%、13.9%、11.5%,均低于15%。B项,根据文字材料第一段“2014年上半年全国汽车产量同比增长9.6%”和“销售汽车1168万辆,同比增长8.4%”可知,2014年上半年全国汽车产量同比增才高于销量增速,所以产销率同比下降。C项,根据表格数据可知,2013年2月份乘用车产量为133.88÷(1+21.2%)<134÷1.2=111.6万辆。D项,2013年上半年商用车的销量为205÷(1-3.2%)=211.8万辆,超过200万辆。因此答案选D。

三、根据所给资料,回答96~100题

截至2012年底,全国共有社会服务机构136.7万个,比上年增长5.6%,职工总数1144.7万人,固定资产总值为6675.4亿元。2012年全国社会服务事业费支出3683.7亿元,比上年增长14.1%,占国家财政支出占比重为3%,与上年持平;中央财政共向各地转移支付社会服务事业费为1794.6亿元,比上年下降0.7%,占社会服务事业费比重48.7%;社会服务事业基本建设施工项目8958个,比上年增长32.7%。全年完成投资总额234.7亿元,比上年增长7.6%。

图 2005~2012年我国社会服务基本情况

96 与上年相比,2012社会服务机构增加了约多少万个?(  )

A.10.15

B.8.23

C.7.25

D.5.60

【答案】 C

【解析】 根据文字材料可知,截至2012年底,全国共有社会服务机构136.7万个,比上年增长5.6%,则2012社会服务机构较上年增加136.7-136.7÷(1+5.6%)≈136.7-129.45=7.25万人,C项最接近。

97 “十一五”期间(2006~2010),社会服务事业基本建设投票累计完成多少亿元?(  )

A.33.64

B.487.8

C.672.8

D.859.8

【答案】 B

【解析】 根据表格信息可知,“十一五”期间,社会服务事业基本建设投票累计完成33.5+47.7+66.6+157+183≈30+50+70+160+180=490亿元,B项最接近。

98 与上年相比,2012年社会服务事业费中由中央财政向各地转移支付的比重(  )。

A.下降了7.3个百分点

B.下降了0.7个百分点

C.上升了0.7个百分点

D.上升了7.3个百分点

【答案】 A

【解析】 根据文字材料可知,2011年社会服务事业费中由中央财政向各地转移支付的比重为[1794.6/(1-0.7%)]÷[3683.7/(1+14.1%)]≈[1800×(1+1/7)]/[3600/(1+0.7%)]=(1/2)×(8/7)≈57%,2012年的比重为48.7%,则与上年相比,下降了约57-48.7=8.3个百分点,A项最接近。

99 下列哪项符合2006~2012年社会服务事业支出同比增长率的变化趋势?(  )

【答案】 A

【解析】 根据材料图形和四个选项,大致可估算得出,2009年的增长率最小,为(2181.9÷2146.5)-1=3*.*÷2146.5=1.*%,2008年最大,A项最接近。

注:*代表某个数字,在考试中,为节省时间,常常采用估算法,某些数字不必精确计算出来。

100 能够从上述资料中推出的是(  )。

A.2009年社会服务事业基础建设投资总额的比上年增长2.4倍

B.2009年社会服务机构固定资产值同城增长快于2006年水平

C.2012年平均每个社会服务事业基本建设施工项目全年完成的投资额低于上年水平

D.2012年平均每个社会服务机构拥有超过10名员工

【答案】 C

【解析】 A项,根据表格信息可知,2008年和2009年社会服务事业基础建设投资总额分别为66.6亿元、157.0亿元。则2009年社会服务事业基础建设投资总额的比上年增长157/66.6-1=1.*倍。 B项,根据表格信息可知,2008年和2009年社会服务机构固定资产原值分别为4592.8亿元、5198亿元,则同比增速为5198/4592.8-1=6**/4592.8;2005年和2006年社会服务机构固定资产原值分别为3097.8亿元、4066.7亿元,则同比增速为4066.7/3097.8-1=9**/3097.8,显然前者小于后者。C项,由文字材料“社会服务事业基本建设施工项目8958个,比上年增长32.7%。全年完成投资总额234.7亿元,比上年增长7.6%”可知,2012年平均每个社会服务事业基本建设施工项目全年完成的投资额低于上年水平。D项,由文段材料第一句可知,2012年平均每个社会服务机构拥有1144.7/136.7<10名员工。因此答案选C。

注:*代表某个数字,在考试中,为节省时间,常常采用估算法,某些数字不必精确计算出来。 clMBlWQoyLRX/4kqMO6wtcjT3uZ9I019YX6qj02yLht72zHeimnxtUozFwcqSUQz

点击中间区域
呼出菜单
上一章
目录
下一章
×