



1 为什么说劳动是商品价值的唯一来源?(15分)
答: 商品是用来交换的劳动产品。商品包含使用价值和价值两个要素,是使用价值和价值的统一。使用价值是指物品和服务能够满足人们某种需要的属性,即物品和服务的有用性。价值是凝结在商品中无差别的一般人类劳动,是商品的本质属性。商品的使用价值和价值是由生产商品的具体劳动和抽象劳动决定的。
(1)具体劳动创造商品的使用价值
具体劳动是指在一定的具体形式下进行的劳动,是从劳动的具体形态考察的劳动。具体劳动创造商品的使用价值是因为不同商品之所以具有不同的使用价值,除了其构成的物质要素各有其特殊的自然属性外,还因为生产它们的劳动又各有其特殊的具体形式。各种不同的具体劳动生产不同质的使用价值,各种使用价值的总和,表现了各种具体劳动的总和,即表现了社会分工。具体劳动的种类和形式随着社会生产力的发展、科学技术的进步和人们需要的改变相应地发生变化。
(2)抽象劳动形成商品的价值实体
抽象劳动是指撇开劳动的具体形式的无差别的一般人类劳动,是从劳动的抽象形态考察的劳动。具体劳动创造商品的使用价值,因为“商品价值体现的是人类劳动本身,是一般人类劳动的耗费”。不过,如果将抽象劳动仅仅理解为纯生理意义上的人类劳动力的支出,是不全面的。因为生产商品的异质的具体劳动转化成同质的抽象劳动是由商品经济关系决定的,价值实体就是抽象的人类劳动。抽象劳动则形成商品价值的唯一源泉,在价值中不包含任何一个非劳动的自然物质的原子。人类劳动的质的同一性,决定了抽象劳动在商品交换中只能在量上起作用。
(3)劳动是商品价值的唯一来源
具体劳动和抽象劳动是生产商品同一劳动的两个方面,商品的价值和使用价值二因素是由生产商品的劳动二重性决定的。具体劳动创造使用价值,它解决的是人与自然之间的物质交换,但它并不是所生产的使用价值的唯一源泉;抽象劳动形成价值,它体现的是人与人之间的社会关系,是创造价值的唯一源泉。
2 资本原始积累的实质是什么?与资本积累有什么联系与区别?(10分,每问5分)
答: (1)资本原始积累的实质
资本原始积累是指新兴资产阶级运用暴力手段剥夺小生产者的生产资料,使他们沦为无产者,从而把财富集中到自己手中并使之转化为资本。所谓原始积累的过程,只不过是通过暴力来实现生产者和生产资料相分离的历史过程,是发生在资本主义生产方式确立之前的初始资本的形成过程,而不是在资本主义生产方式内部进行的资本积累。对农民土地的剥夺,是使直接生产者转为雇佣工人的主要方式,它是形成资本原始积累全过程的基础。对货币财富的剥夺是资本原始积累的重要因素,这是通过殖民制度、国债、重税、保护关税和商业战争等暴力手段进行的。资本原始积累的实质,就是用暴力剥夺直接生产者,使劳动者与生产资料相分离,生产资料和货币财富在资本家手中迅速积累的历史过程。
(2)资本原始积累和资本积累的联系与区别
①资本原始积累是在资本主义生产方式确立以前发生的,它形成资本主义的前史。它通过对直接生产者的剥夺,为资本主义生产方式创造了前提条件。资本积累是在资本主义本身的基础上进行的,它通过对雇佣工人创造的剩余价值的无偿占有,不断地再生产资本主义生产关系。
②资本原始积累是依靠直接的、赤裸裸的暴力进行的;而资本积累则主要是靠资本主义经济本身的内在规律进行的,这里的剥夺不是赤裸裸的,而是被物的外壳掩盖着的。
③资本原始积累为资本主义积累准备了历史前提,一旦这个前提建立起来,资本积累就在自身基础上进行。同时,原始积累的方法,又广泛地为发达的资本主义所采用,一旦资本不能用本身的力量来保证它的统治和榨取时,就转而求助于直接的政治暴力。
④对资本积累的分析揭示了资本主义扩大再生产的实质、资本积累过程的对抗性和发展趋势;对资本原始积累的分析,则说明资本主义生产方式从一开始就充满着矛盾和对抗。资本原始积累和资本积累的分析相互补充,从总体上揭示了资本主义产生、发展和必然灭亡的规律。
3 假定有甲、乙、丙三块土地,在这三块土地上各投入相同的资本100元,甲地、乙地和丙地一年分别收获小麦75公斤,65公斤和60公斤,平均利润为10%,三块土地都必须支付绝对地租10元,试计算:
(1)每公斤小麦的社会价值是多少?
(2)甲地、乙地的级差地租是多少?
(3)这三块土地支付地租总额是多少?(15分,每问5分)
解: (1)总的农产品社会价值=农业生产成本+平均利润+绝对地租=100+100×10%+10=120(元)。单位农产品的社会价值是由劣等地的生产条件决定的,所以每公斤小麦的社会价值=120÷60=2(元)。
(2)由于甲地和乙地涉及的级差地租为第一种类型,计算公式为:
级差地租Ⅰ=单位农产品的社会价值×优中等地初次投资比劣等地超产数
所以,甲地的级差地租=2×(75-60)=30(元);
乙地的级差地租=2×(65-60)=10(元)。
因此甲地、乙地的级差地租分别是30元和10元。
(3)由于地租总量=级差地租Ⅰ+级差地租Ⅱ+绝对地租,在本题中只涉及级差地租Ⅰ和绝对地租,所以,支付地租总额=级差地租总额+绝对地租总额=30+10+30=70(元)。
因此,这三块土地支付地租总额是70元。
4 2015年10月以来以北京为核心的5个城市爆发了土地市场热潮,拍出6个地王,成为社会经济的热议话题。从政治经济学角度如何理解土地价格?为什么没有价值的土地却有价格呢?(10分,每问5分)
答: (1)从政治经济学角度理解土地价格
土地价格指土地出售时的价格,实质是资本化的地租。土地没有价值,因为它不是劳动产品,但掌握土地的所有权就可以定期取得土地收入,如同把资金存入银行取得利息一样,所以土地可以买卖并有了价格。土地价格与地租成正比,与银行存款利息率成反比,土地价格的计算公式是:土地价格=地租/利息率。也就是说,决定土地价格的因素有两个:与地租成正比,与银行存款利息率成反比。现实生活中影响地价的因素还有土地供求状况、国家政策等。土地价格有上涨的趋势,因为:①由于人们对租种土地的需求的增大,地租不断上涨;②利息率不断下降。
(2)没有价值的土地有价格的原因
在资本主义制度下,大土地所有者不仅能凭借土地私有权获取地租,而且可以通过出卖土地获得高额的土地价格。土地本来不是劳动产品,自身没有价值。但在资本主义制度下土地是私有的,土地所有者可以凭借土地私有权获得地租,因而土地能以一定的价格买卖。土地的买卖实质上是地租的资本化,即一定面积和丰度的土地的价格相当于这样一笔货币资本:把这笔货币存入银行所获得的利息,等于这块土地出租所获得的地租。因此没有价值的土地有价格。
5 在一个完全竞争市场中,行业的生产成本不变,单个厂商的长期成本函数为LTC=Q 3 -40Q 2 +600Q。又假设该市场的需求函数为Q=13000-5P。问:
(1)该行业的长期供给曲线是什么?
(2)该行业实现长期均衡时的厂商数量是多少?(10分,每问5分)
解: (1)成本不变行业的长期供给曲线是一条水平线。它表示:成本不变行业是在不变的均衡价格水平提供产量,该均衡价格水平等于厂商的不变的长期平均成本的最低点。市场需求变化,会引起行业长期均衡产量的同方向的变化,但长期均衡价格不会发生变化。
已知单个厂商的长期成本函数为:LTC=Q 3 -40Q 2 +600Q;
则长期平均成本函数为:LAC=Q 2 -40Q+600=(Q-20) 2 +200。
LAC的最低点是200,即价格P=200。因为成本不变行业的长期供给曲线是一条水平线。它表示:成本不变行业是在不变的均衡价格水平提供产量,因此,该行业的长期供给曲线是:P=200。
(2)当P=200时,单个厂商的产量是:Q=20;当P=200时,市场的需求量是Q=13000-1000=12000。该行业实现长期均衡时,市场供给量等于市场需求量。所以,市场供给量为12000,即厂商数量是600。
6 考虑社会中一个典型消费者的效用函数为U(x 1 ,x 2 )=ln(x 1 )+3ln(x 2 ),x 1 和x 2 分别为商品1和商品2的消费量,该消费者的收入为1000元,两种商品价格都是1。求:
(1)消费者最优消费的x 1 和x 2 的量。
(2)假设政府想征收100元的税,它有两个选择:一是对收入征收10%的所得税,第二是对商品1征收消费税,设消费税率为t(即每消费一单位的商品1需要交纳t元的税),请设置一个恰好能够在消费者最优消费时征收到100元的税率t。
(3)比较上述两种措施对消费者效用的影响,哪种情况下消费者效用较大?(15分,每问5分)
解: (1)消费者实现消费均衡的条件是:MRS 12 =MU 1 /MU 2 =P 1 /P 2 。已知消费者的效用函数为U(x 1 ,x 2 )=ln(x 1 )+3ln(x 2 ),对消费者的效用函数求导,得到商品1的边际效用为:MU 1 =1/x 1 ;商品2的边际效用为:MU 2 =3/x 2 。将商品1和商品2的效用函数代入消费者均衡条件,可以得到:x 2 =3x 1 。将此方程与方程x 1 +x 2 =1000联立,可以得到:x 1 =250,x 2 =750。
(2)如果对商品1征收消费税,税率是t。消费者实现消费均衡的条件是:MRS 12 =MU 1 /MU 2 =P 1 /P 2 。已知消费者的效用函数为U(x 1 ,x 2 )=ln(x 1 )+3ln(x 2 ),对消费者的效用函数求导,得到商品1的边际效用为:MU 1 =1/x 1 ;商品2的边际效用为:MU 2 =3/x 2 。将商品1和商品2的效用函数代入消费者均衡条件,可以得到:x 2 =3x 1 (1+t)。将此方程与方程x 1 (1+t)+x 2 =1000联立,可以得到:x 1 =250/(1+t),x 2 =750。征收的税额为x 1 ·t=250/(1+t)·t=100,解得:t=2/3。
(3)第一种情况:对收入征收10%的所得税。对收入征收10%的所得税,此时收入有900元。消费者实现消费均衡的条件是:MRS 12 =MU 1 /MU 2 =P 1 /P 2 。已知消费者的效用函数为U(x 1 ,x 2 )=ln(x 1 )+3ln(x 2 )。
对消费者的效用函数求导,得到商品1的边际效用为:MU 1 =1/x 1 ;商品2的边际效用为:MU 2 =3/x 2 。将商品1和商品2的效用函数代入消费者均衡条件,可以得到:x 2 =3x 1 。将此方程与方程x 1 +x 2 =900联立,可以得到:x 1 =225,x 2 =675。此时,消费者效用为ln225+3ln675=24.96。
第二种情况:对商品1征收消费税,税率是t。由(2)问可知:x 1 =250/(1+t)=150,x 2 =750,消费者效用为ln150+3ln750=24.87。
由于24.87<24.96。因此,第一种情况,即对收入征收10%的所得税,消费者效用较大。
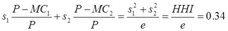
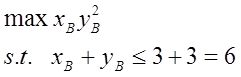
7 考虑一个双寡头古诺模型,P和Q分别表示市场价格和产品销售总量;q 1 和q 2 分别表示厂商1和厂商2的产量;MC表示厂商生产的边际成本,假设两个厂商生产的产品完全同质。
(1)如果两个厂商的生产均面临不变的边际成本1/2,且反需求曲线为P=1-Q,则均衡时两个企业的产量分别是多少?(5分)
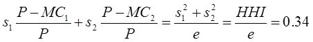
(2)如果两个厂商同质,且在均衡价格上的需求弹性(以绝对值定义)为2,那么均衡时厂商的价格加成率是多少?(5分)
(3)如果均衡价格上的需求价格弹性仍为2,而均衡时行业的HHI指数(即每个企业占有总市场份额的平方和s 1 2 +s 2 2 )为0.68,以企业市场份额为权重计算的行业平均价格加成率为多少?(3分,价格加成率以勒纳指数(P-MC)/P度量)(本题总计13分)
解: (1)厂商1的利润函数为:π 1 =TR 1 -TC 1 =[1-(q 1 +q 2 )]q 1 -q 1 /2=-q 1 2 -q 1 q 2 +q 1 /2。
利润函数对q 1 求导,可以得到厂商1的反应函数为:2q 1 +q 2 =1/2;
同理可以得到厂商2的反应函数为:2q 2 +q 1 =1/2。
将两个反应函数联立可以得到:q 1 =1/6,q 2 =1/6。
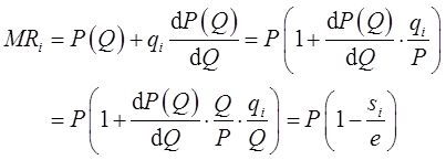
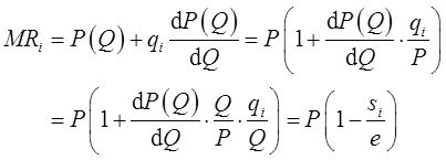
(2)古诺竞争下,厂商利润最大化的边际条件为:MR i =MC i ,而
于是,MC i =MR i =P(1-s i /e)。
整理得到:(P-MC i )/P=s i /e。
由e=2,且厂商同质有:s 1 =s 2 =0.5,从而均衡下的厂商价格加成率为:(P-MC i )/P=s i /e=0.5/2=0.25。
(3)若赫芬达尔指数为s 1 2 +s 2 2 =0.68,则行业的价格加成率为:
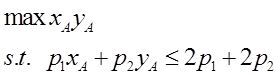
8.考虑有2×2交换经济,2种商品为X和Y,2个消费者A和B,消费者A的效用函数为u A =x A y A ,初始禀赋为w A =(2,2);消费者B的效用函数为u B =x B y B 2 ,初始禀赋为w B =(3,3),一个决策者断言(x A ,y A )=(4,1)和(x B ,y B )=(1,4),以及p X =p Y =1是竞争均衡。
(1)请问决策者断言的均衡配置是初始禀赋的帕累托改进吗,请解释。(2分)
(2)在这个价格下,请分别求出消费者A和B的最优消费向量(x A * ,y A * )和(x B * ,y B * )。(5分)
(3)根据前面的计算,决策者断言的配置向量和价格是竞争均衡吗,如果不是,请计算竞争均衡。(5分)(本题总计12分)
解: (1)决策者断言的均衡配置不是初始禀赋的帕累托改进。
在初始禀赋下,消费者A的效用u A =x A y A =2×2=4,消费者B的效用u B =x B y B 2 =3×3 2 =27;
在决策者断言下,消费者A的效用u A =x A y A =1×4=4,消费者B的效用u B =x B y B 2 =1×4 2 =16。
将初始禀赋下消费者的效用和决策者断言的均衡配置下的消费者效用相比较,消费者A的效用不变,消费者B的效用下降,因此,决策者断言的均衡配置不是初始禀赋的帕累托改进。
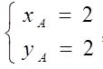
(2)由
解得
即(x A * ,y A * )和(x B * ,y B * )分别为(2,2)和(2,4)。
(3)在竞争均衡的条件下,需要满足:对于每个生产者来说达到利润最大化,对于每个消费者来说达到效用最大化,对于整个市场来说达到出清状态。由(2)可知,在p X =p Y =1时,消费者的最优消费量分别为(2,2)和(2,4),此时市场没有出清,所以决策者断言的状态不是竞争均衡状态。
设商品价格为p 1 ,p 2 ,最大化效用问题
令p=p 1 /p 2 ,解得最优消费向量为[(p+1)/p,p+1]和[(p+1)/p,2p+2]。
市场出清条件:2(p+1)/p=2+3=5。
得p=2/3,故竞争均衡为:消费向量(5/2,5/3)和(5/2,10/3),价格为p 1 /p 2 =2/3。
9 假定总量生产函数为Y=K 1/2 L 1/2 。如果储蓄率为28%,人口增长率为1%,折旧率为6%。利用新古典增长模型,回答如下问题:
(1)请计算稳态下的人均水平。
(2)与黄金律水平相比,28%的储蓄率是过高,还是过低?
(3)在向黄金律水平调整的过程中,人均消费、人均投资和人均产出的动态变化特征。(15分,每问5分)
解: (1)稳态是指包括资本存量和产出在内的有关内生变量将不会随时间的推移而变化的一种状态。根据上述说明,在新古典增长模型中,经济达到稳态的条件是k=0,对没有技术进步的新古典增长模型来说,该模型稳态的条件是sf(k)=(n+δ)k。由所给的总量生产函数,求得人均生产函数为:y=k 1/2 。已知储蓄率为28%,人口增长率为1%,折旧率为6%,将其代入稳定条件,有28%f(k)=(1%+6%)k,解得:k=16。因此人均产出y=k 1/2 =4。
(2)资本的黄金律水平应满足的经济学条件是:f′(k gold )=n+δ。把人均生产函数,人口增长率和折旧率代入上式,可以得到:k=2500/49,y=50/7。将k=2500/49,y=50/7,人口增长率为1%,折旧率为6%代入sf(k)=(n+δ)k,可以得到s 1 =50%。由于28%<50%,所以,与黄金律水平相比,28%的储蓄率过低。
(3)在向黄金律水平调整的过程中,储蓄率将增加。储蓄率增加将导致消费的立即减少和投资的等量增加。在一段时间内,随着资本存量的增加,产出、消费和投资同时增加。储蓄率的提高对人均产出的影响如下图所示。
图1 储蓄率增加的影响
图中,经济最初位于C点的稳态。现在假定储蓄上升了,从s增加到s′,这使储蓄曲线上移至s′f(k)的位置。这时新的稳态为C′,比较C点和C′点,可知储蓄率的增加提高了稳态的人均资本和人均产量。
初始稳定状态的资本为16,黄金律水平要求的资本为2500/49,因此向黄金律水平的调整过程是经济从资本少于黄金律水平开始的调整过程。
图2表示,当经济从资本少于黄金律水平开始,并且储蓄率提高时,随着时间的推移,产出、消费和投资发生了变动。储蓄率的提高(在时间t 0 )导致了消费的立即减少和投资的等量增加。在一段时间内,随着资本存量的增加,产出、消费和投资同时增加。由于经济以资本少于黄金律为开始,新的稳定状态比初始稳定状态的消费水平高。
消费和投资逐渐增加,最终达到新的稳定状态水平。由于初始稳定状态低于黄金律,储蓄的增加最终使消费水平高于初始水平。
图2 人均产出、消费和投资随时间变化的轨迹
10 假定中央银行的损失函数是L(u,π)=u+γ·π 2 ,其中u为失业率,π为通货膨胀率。中央银行的货币政策目标是在附带预期的菲利普斯曲线的约束下,通过选择通货膨胀率π使其损失函数最小化,请证明盯住通货膨胀的固定规则货币政策优于相机抉择或斟酌处置的货币政策。(15分)
答: 联立菲利普斯曲线和央行损失函数方程组进行分析求解:
菲利普斯曲线:u=u n -α(π-π e );
央行损失函数:L(u,π)=u+γ·π 2 。
(1)考虑盯住通货膨胀的固定规则货币政策
规则把央行规定在特定的通货膨胀水平,只要私人主体相信央行对于该通胀水平的承诺,则π=π e ,u=u n 。所以在固定规则政策下,央行应当实行零通胀。
(2)考虑斟酌处置的货币政策
将菲利普斯曲线函数代入损失函数,则L(u,π)=u n -α(π-π e )+γ·π 2 。
两边对π求导,得:∂L(u,π)/∂π=-α+2γ·π。
令∂L(u,π)/∂π=0,可得π=α/(2γ)。
所以当π=α/(2γ)时,央行损失最小。
而理性的私人主体将预期央行选择这一通胀水平π e =π=α/(2γ),所以u=u n 。
可见在两种政策下,u相同,而第二种政策下的通货膨胀率显然高于第一种政策,所以盯住通货膨胀的固定规则货币政策优于斟酌处置的货币政策。
11 现代宏观经济学认为,短期的总供给曲线是向右上方倾斜的,但对于这一形状的总供给曲线的形成原因,却存在着多种解释,请叙述从不完全信息角度给出的一种可能解释。(10分)
答: 不完全信息是指市场参与者不拥有某种经济环境状态的全部知识。而不完全信息经济比完全信息经济更加具有现实性。
(1)在生产过程中,存在着企业和工人之间的信息不对称。当名义工资因价格上涨而提高时,由于工人具有“货币幻觉”,工人错误地相信他们的实际工资已经提高,而愿意提供更多的工作。这样,在短期内,名义工资的增加将伴随着更高的产出和更少的失业,因此,产品的供给量将会上升。而根据工资粘性,名义工资的调整慢于劳动供求的变化所以当物价上升时,工人的实际工资减少,厂商的利润增加,会使厂商扩大生产规模,直到产品的边际利润等于多雇佣工人的边际劳动成本,从而使就业增加,总供给增加;反之,总供给减少。
(2)在生产过程中,存在着企业之间的信息不对称。当物价水平下降时,实际上是各种物品与劳务价格都下降,但企业会更关注自己的产品,没有看到其他产品的价格下降,而只觉得自己的产品价格下降了,得出市场供大于求的悲观判断,从而减少生产,引起总供给减少;当物价水平上升时,企业也会没有看到其他产品的价格上升,而误以为只有自己的产品价格上升了,作出市场供小于求的乐观判断,从而就增加生产,引起总供给增加。当物价水平变动时,企业产生的这些错觉会使物价水平与总供给同方向变动。
(3)在生产过程中,也存在着企业和市场的信息不对称。由于价格存在粘性,企业调整价格存在菜单成本,短期中价格的调整不能随着总需求的变动而迅速变化。所以当物价上升时,企业产品的相对价格下降,销售增加,生产增加,总供给增加;反之,总供给减少。
根据以上原因可以得出,由于实际中存在着各种不完全信息的情况,导致短期总供给与物价水平同方向变动,即短期总供给曲线向右上方倾斜。
12 什么是经济的自动稳定器?在当前中国经济进入新常态的背景下,哪些自动稳定器可能会发挥作用?(10分)
答: (1)自动稳定器的含义
自动稳定器又称内在稳定器,是指经济系统本身存在的一种会减少各种干扰对国民收入冲击的机制,能够在经济繁荣时期自动抑制通胀,在经济衰退时期自动减轻萧条,无需政府采取任何行动。例如,一些财政支出和税收制度就具有某种自动调整经济的灵活性,可以自动配合需求管理,减缓总需求的摇摆性,从而有助于经济的稳定。
(2)自动稳定器发挥作用的工具
后金融危机时代全球主要经济体增速的普遍放缓宣告了全球经济已经步入深度调整期,处于全球经济调整期和过渡期的时代背景,同时受到国内经济阶段性因素的叠加影响,中国经济自2012年第二季度GDP增速“破8”以来,已经逐步进入到经济增速阶段性回落、经济结构深度调整的“新常态”时期。在当前中国经济进入新常态的背景下,即财政的自动稳定功能主要通过两方面来实现:
①自动调整税收。在现代税制中,所得税有着重要地位。因为所得税具有固定的起征点和累进的税率,当经济繁荣特别是过热时,均衡国民收入增加,不仅有更多的人进入交纳所得税的行列,还有许多人将按更高的税率交税。其结果是,税收自动增加,并且税收的增幅还会超过居民收入的增长幅度,即抑制总需求的进一步扩张,使经济增长降温。当经济衰退时,国民产出水平下降,个人收入减少;在税率不变的情况下,政府税收会自动减少,留给人们的可支配收入也会自动地少减少一些,从而使消费和需求也自动地少下降一些。在实行累进税的情况下,经济衰退使纳税人的收入自动进入较低纳税档次,政府税收下降的幅度会超过收入下降的幅度,从而可起到抑制衰退的作用。
②政府转移支付的自动增减。在经济繁荣时期,税收自动增加,同时由于失业人数和需要救济的人数减少,政府转移支付减少,这会抑制消费和投资的过快增长,有助于遏制需求进一步膨胀;而一旦经济萧条,失去工作的人可立即从政府得到收入(失业救济金),以维持一定的消费需求,政府转移支付增加,这就能抑制消费和投资的过度减少,有助于减轻社会经济进一步下滑的程度。其他福利支出因经济波动而自动增减也有内在的反周期、促稳定的作用。
财政的内在稳定器作用的大小,取决于税收结构、转移支付结构及其水平。在边际消费倾向一定的条件下,边际税率越高,稳定经济的作用越大。比如,假设边际消费倾向为0.8,当税率为0.1时,则增加1美元投资就会使总需求增加3.57美元{1/[1-0.8×(1-0.1)]=3.57};若税率增至0.25时,则增加1美元投资只会使总需求增加2.5美元{1/[1-0.8×(1-0.25)]=2.5}。可见税率越高,自发投资冲击带来的总需求波动越小,说明自动稳定作用越大。
(3)农产品价格维持制度。经济萧条时,国民收入下降,农产品价格下降,政府依照农产品价格维持制度,按支持价格收购农产品,可使农民收入和消费维持在一定水平之上。经济繁荣时,国民收入水平上升,农产品价格上升,这时政府减少农产品的收购并抛售农产品,限制农产品价格上升,也就抑制农民收入增长,从而减少了总需求的增长。
但由于政府税收和转移支付自动调整的幅度不大,从总体看,财政政策工具“自动稳定器”的作用很有限。它只能减轻经济萧条或通货膨胀的程度,并不能改变经济萧条或通货膨胀的总趋势。