



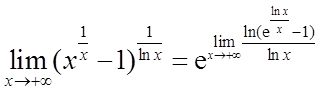
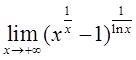
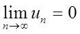
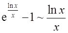
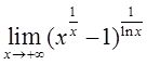
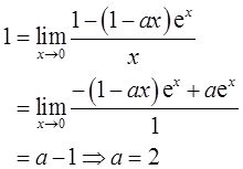
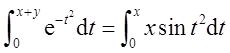
1 若
则a等于( )。
A.0
B.1
C.2
D.3
【答案】 C
【考点】 函数极限的计算
【解析】
故选C项。
2 设y 1 ,y 2 为一阶非齐次线性微分方程y′+p(x)y=q(x)的两个特解,若存在λ,μ使λy 1 +μy 2 为该方程的解,λy 1 -μy 2 为该方程对应齐次微分方程的解,则( )。
A.λ=1/2,μ=1/2
B.λ=-1/2,μ=-1/2
C.λ=2/3,μ=1/3
D.λ=2/3,μ=2/3
【答案】 A
【考点】 一阶线性微分方程组求解
【解析】 因为y 1 ,y 2 为一阶非齐次线性微分方程y′+p(x)y=q(x)的两个特解,所以
y 1 ′+p(x)y 1 =q(x),y 2 ′+p(x)y 2 =q(x)①
λy 1 +μy 2 为该方程的解,则(λy 1 +μy 2 )′+p(x)(λy 1 +μy 2 )=q(x)。将①代入上式可得λ+μ=1②,λy 1 -μy 2 为该方程对应齐次微分方程的解,则(λy 1 -μy 2 )′+p(x)(λy 1 -μy 2 )=0。将①代入上式可得λ-μ=0③,由②和③可得λ=μ=1/2,故选A项。
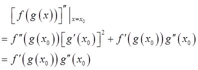
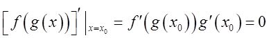
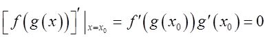
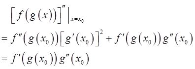
3 设函数f(x),g(x)具有二阶导数,且g″(x)<0,g(x 0 )=a是g(x)的极值,则f(g(x))在x 0 取到极大值的一个充分条件是( )。
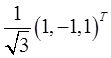
A.f′(a)<0
B.f′(a)>0
C.f″(a)<0
D.f″(a)>0
【答案】 B
【考点】 判断极值的条件
【解析】
即x=x 0 是f(g(x))的驻点。
若想要f(g(x))在x 0 取到极大值,只要f′(g(x 0 ))g″(x 0 )<0,即f′(g(x 0 ))>0,于是f′(a)>0是一个充分条件,故选B项。
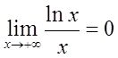
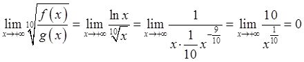
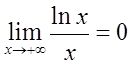
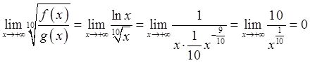
4 设f(x)=ln 10 x,g(x)=x,h(x)=e x/10 ,则当x充分大时,有( )。
A.g(x)<h(x)<f(x)
B.h(x)<g(x)<f(x)
C.f(x)<g(x)<h(x)
D.g(x)<f(x)<h(x)
【答案】 C
【考点】 函数的比较
【解析】
于是,当x充分大时,f(x)<g(x);
于是,当x充分大时,g(x)<h(x)。故选C项。
5 设向量组(Ⅰ)α 1 ,α 2 ,…α r ,可由向量组(Ⅱ)β 1 ,β 2 ,…β s 线性表示,则( )。
A.若向量组(Ⅰ)线性无关,则r≤s
B.若向量组(Ⅰ)线性相关,则r>s
C.若向量组(Ⅱ)线性无关,则r≤s
D.若向量组(Ⅱ)线性相关,则r>s
【答案】 A
【考点】 向量组的相关性判定
【解析】 向量组(Ⅰ)α 1 ,α 2 ,…α r ,可由向量组(Ⅱ)β 1 ,β 2 ,…β s 线性表示,则
r(α 1 ,α 2 ,…α r )≤r(β 1 ,β 2 ,…β s )≤s
对选项A,若向量组(Ⅰ)线性无关,则r(α 1 ,α 2 ,…α r )=r,故r≤s,即选A项。
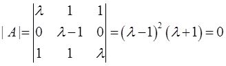
6 设A为四阶实对称矩阵,且A 2 +A=O,若A的秩为3,则A相似于( )。
A.
B.
C.
D.
【答案】 D
【考点】 相似矩阵的性质及判定
【解析】 因为A为4阶实对称矩阵,所以A必可相似对角化,且A的特征值全为实数。设λ为A的特征值,则λ 2 +λ=0⇒λ=0或λ=-1。又A的秩为3,则A的特征值为-1,-1,-1,0,故选D项。
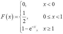
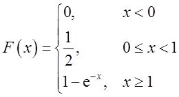
7 设随机变量X的分布函数为
则P{X=1}=( )。
A.0
B.1/2
C.1/2-e - 1
D.1-e - 1
【答案】 C
【考点】 概率的计算
【解析】 P{X=1}=F(1)-F(1-0)=1-e - 1 -1/2=1/2-e - 1 ,故选C项。
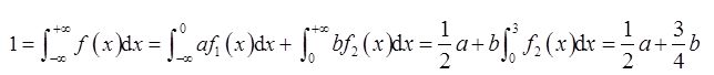
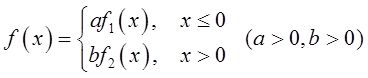
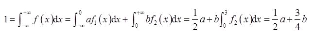
8 设f 1 (x)是标准正态分布的概率密度函数,f 2 (x)是[-1,3]上均匀分布的概率密度,且
为概率密度,则a,b应满足( )。
A.2a+3b=4
B.3a+2b=4
C.a+b=1
D.a+b=2
【答案】 A
【考点】 概率密度的性质
【解析】
所以
于是2a+3b=4,故选A项。
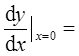
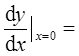
9 设可导函数y=y(x)由方程
确定,则
______。
【答案】 -1
【考点】 函数的微分
【解析】 由方程
可知,y(0)=0,两边对x求导得
所以
解得y′| x = 0 =-1。
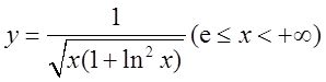
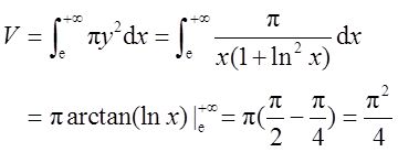
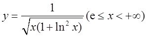
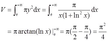
10 设有位于曲线
下方,x轴上方的无界区域G,则G绕x轴旋转一周所形成空间区域的体积为______。
【答案】 π 2 /4
【考点】 旋转体的体积
【解析】
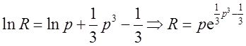
11 设某商品的收益函数为R(p),收益弹性为1+p 3 ,其中p为价格,且R(1)=1,则R(p)=______。
【答案】
【考点】 导数的经济意义——收益弹性的概念及计算
【解析】 由题设可知,1+p 3 =(dR/dp)·(p/R)⇒(dR/R)=[(1+p 3 )/p]dp⇒lnR=lnp+p 3 /3+C,将R(1)=1代入上式,则C=-1/3,故
12 曲线y=x 3 +ax 2 +bx+1有拐点(-1,0),则b=______。
【答案】 3
【考点】 函数的拐点
【解析】 拐点在曲线上,所以0=-1+a-b+1;又y=x 3 +ax 2 +bx+1二阶可导,所以0=y″(-1)=(6x+2a)| x =- 1 =-6+2a⇒a=3,b=a=3。
13 设A,B为3阶矩阵,且|A|=3,|B|=2,|A - 1 +B|=2,则|A+B - 1 |=______。
【答案】 3
【考点】 行列式的计算
【解析】 |A+B - 1 ||B|=|AB+E|,|A||A - 1 +B|=|AB+E|,所以|A||A - 1 +B|=|A+B - 1 ||B|⇒3×2=|A+B - 1 |×2⇒|A+B - 1 |=3。
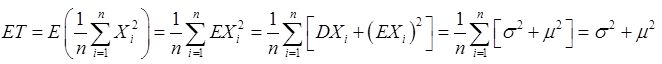
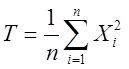
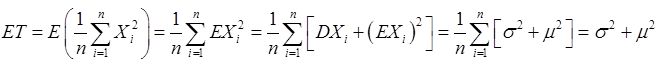
14 设X 1 ,X 2 ,…,X n 为来自总体X~N(μ,σ 2 )(σ>0)的简单随机样本,统计量
则ET=______。
【答案】 σ 2 +μ 2
【考点】 数学期望的计算
【解析】
三、解答题(15~23小题,共94分,解答应写出文字说明、证明过程或演算步骤。)
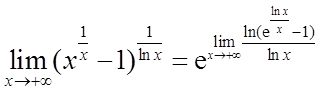
15 (本题满分10分)
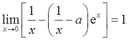
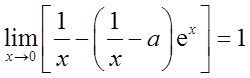
求极限
【考点】 极限的计算(洛必达法则)
解:
利用等价无穷小,由
得
故原极限=1/e。
16 (本题满分10分)
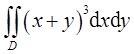
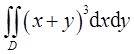
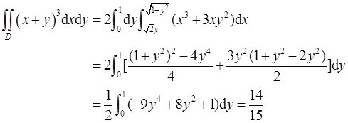
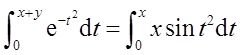
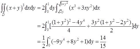
计算二重积分
,其中D由曲线
与直线
所围成。
【考点】 二重积分的计算
解: 画出积分域草图如下图1所示。
图1
由上可知,积分域关于x轴对称,又被积函数(x+y) 3 =x 3 +3x 2 y+3xy 2 +y 3 ,其中3x 2 y+y 3 是y的奇函数,x 3 +3xy 2 是y的偶函数,所以
17 (本题满分10分)
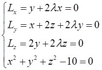
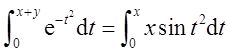
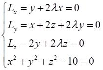
求函数M=xy+2yz在约束条件x 2 +y 2 +z 2 =10下的最大值和最小值。
【考点】 多元函数的极值问题
解: 设L=xy+2yz+λ(x 2 +y 2 +z 2 -10),令
解得
x=1,
z=2或x=-1,
z=-2或
y=0,
因为
所以比较后可得最大值为
,最小值为
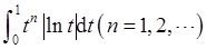
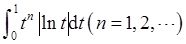
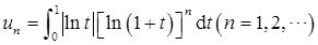
18 (本题满分10分)
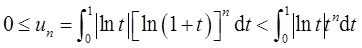
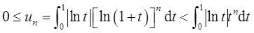
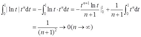
(Ⅰ)比较
与
的大小,说明理由;
(Ⅱ)记
,求极限
【考点】 积分的比较和极限的计算
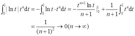
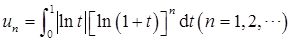
解: (Ⅰ)令f(t)=[ln(1+t)] n -t n ,f是连续函数。当n=1,0<t≤1时,f′(t)=1/(1+t)-1<0,所以此时f(t)=ln(1+t)-t<f(0)=0,0<ln(1+t)<t,从而有0<[ln(1+t)] n <t n (0<t≤1),所以f(t)=[ln(1+t)] n -t n <0,即有|lnt|[ln(1+t)] n <t n |lnt|,故
(Ⅱ)
又
所以由夹逼定理得
19 (本题满分10分)
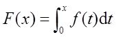
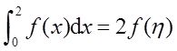
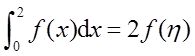
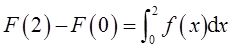
设函数f(x)在闭区间[0,3]上连续,在开区间(0,3)内存在二阶导数,且
(Ⅰ)证明:存在η∈(0,2),使得f(η)=f(0);
(Ⅱ)证明:存在ξ∈(0,3),使得f″(ξ)=0。
【考点】 拉格朗日中值定理和罗尔中值定理
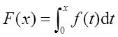
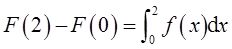
证: (Ⅰ)令
则由拉格朗日中值定理可得存在η∈(0,2),使得F(2)-F(0)=2f(η),而
即
又
所以f(0)=f(η)。
(Ⅱ)f(x)在闭区间[2,3]上连续,从而在该区间存在最大值M和最小值m,于是m≤f(2)≤M,m≤f(3)≤M⇒m≤[f(2)+f(3)]/2≤M。
由介值定理可得存在ζ∈[2,3],使得f(ζ)=[f(2)+f(3)]/2,于是f(0)=f(η)=f(ζ),η∈(0,2),ζ∈[2,3]。函数f(x)在[0,η],[η,ζ]均满足罗尔定理,所以存在ξ 1 ∈(0,η),ξ 2 ∈(η,ζ),使得f′(ξ 1 )=f′(ξ 2 )=0。函数f′(x)在[ξ 1 ,ξ 2 ]满足罗尔定理,故存在ξ∈(ξ 1 ,ξ 2 )⊂(0,3),使得f″(ξ)=0。
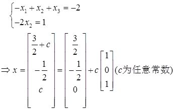
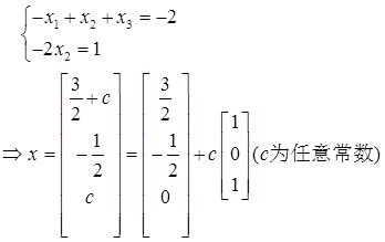
20 (本题满分11分)
设
已知线性方程组Ax=b有两个不同的解。
(Ⅰ)求λ,a;
(Ⅱ)求方程Ax=b的通解。
【考点】 方程组的求解和通解的表示
解: 线性方程组Ax=b有两个不同的解,则
可得λ=1或λ=-1。
当λ=1时,
则r(A)=2≠3=r( A ),所以λ=1不成立。
当λ=-1时,
因为Ax=b有解,所以a+2=0⇒a=-2。
(Ⅰ)综上,λ=-1,a=-2。
(Ⅱ)原方程与以下方程组同解
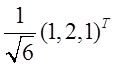
21 (本题满分11分)
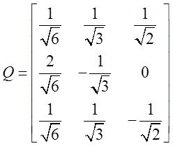
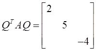
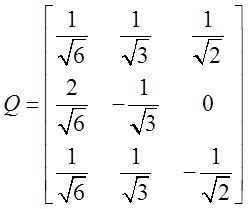
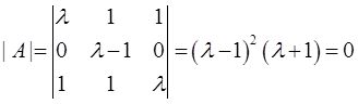
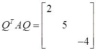
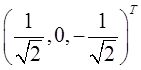
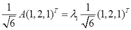
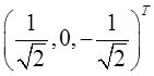
设
存在正交矩阵Q使得Q
T
AQ为对角阵,若Q的第一列为
,求a,Q。
【考点】 矩阵的特征值特征向量和正交矩阵
解: 由题设
于是
由于A的特征多项式|λE-A|=(λ-2)(λ-5)(λ+4)。所以A的特征值为2,5,-4。
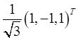
属于特征值5的一个单位特征向量为
属于特征值4的一个单位特征向量为
令
则有
故Q为所求矩阵。
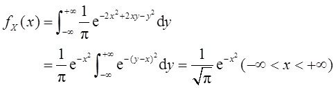
22 (本题满分11分)
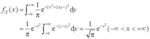
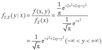
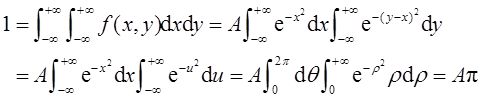
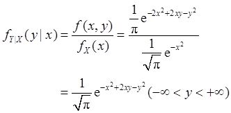
设二维随机变量(X,Y)的概率密度为
求常数A及条件概率密度f Y|X (y|x)。
【考点】 二维连续型随机变量条件概率密度的求解
解: 根据已知条件,可得
所以A=1/π。于是
X的边缘概率密度为
于是当-∞<x<+∞时,条件概率密度
23 (本题满分11分)
箱中装有6个球,其中红、白、黑球的个数分别为1,2,3个,现从箱中随机地取出2个球,记X为取出的红球个数,Y为取出的白球个数。
(Ⅰ)求随机变量(X,Y)的概率分布;
(Ⅱ)求Cov(X,Y)。
【考点】 二维离散型随机变量的概率分布和数字特征
解: (Ⅰ)X的可能值为0,1;Y的可能值为0,1,2。于是
P{X=0,Y=0}=C 3 2 /C 6 2 =3/15,P{X=1,Y=0}=C 3 1 /C 6 2 =3/15;
P{X=0,Y=1}=C 2 1 C 3 1 /C 6 2 =6/15,P{X=1,Y=1}=C 2 1 /C 6 2 =2/15;
P{X=0,Y=2}=C 2 2 /C 6 2 =1/15,P{X=1,Y=2}=0。
随机变量(X,Y)的概率分布如表1所示。
表1
(Ⅱ)由上可知X的概率分布和Y的概率分布分别如表2和表3所示。
表2
表3
所以EX=1/3,EY=2/3,EXY=2/15。
故Cov(X,Y)=EXY-EXEY=(2/15)-(1/3)(2/3)=-4/45。