



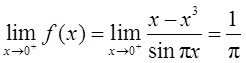
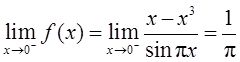
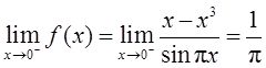
1 函数f(x)=(x-x 3 )/sinπx的可去间断点的个数为( )。
A.1
B.2
C.3
D.无穷多个
【答案】 C
【考点】 间断点的类型
【解析】 首先找出使f(x)无定义的点:即满足sinπx=0的点,得x=0,±1,±2,±3,…,若上述点为可去间断点,则f(x)在该点的左右极限存在且相等,又sinπx=0,则必有分子x-x 3 =0,即可去间断点可能为x=0,±1。又
所以
综上可知,可去间断点有3个。
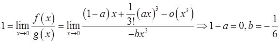
2 当x→∞时,f(x)=x-sinax与g(x)=x 2 ln(1-bx)为等价无穷小,则( )。
A.a=1,b=-1/6
B.a=1,b=1/6
C.a=-1,b=-1/6
D.a=-1,b=1/6
【答案】 A
【考点】 等价无穷小的定义
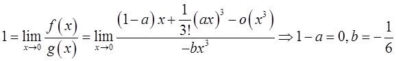
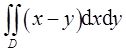
【解析】 当x→0时,有
f(x)=x-sinax=x-[ax-(ax) 3 /3!+ο(x 3 )]=(1-a)x+(ax) 3 /3!-ο(x 3 )
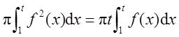
g(x)=x 2 ln(1-bx)~(-bx 3 )
由于f(x)=x-sinax与g(x)=x 2 ln(1-bx)为等价无穷小,则
故a=1,b=-1/6。
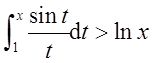
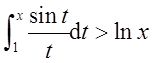
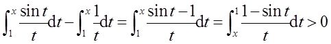
3 使不等式
成立的x的范围是( )。
A.(0,1)
B.(1,π/2)
C.(π/2,π)
D.(π,+∞)
【答案】 A
【考点】 积分的计算和比较大小
【解析】
等价于
又在上述四个区间内,(1-sint)/t>0,故若要使上式成立,则须0<x<1。
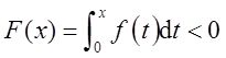
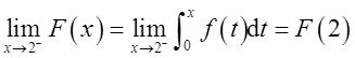
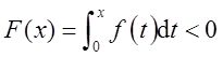
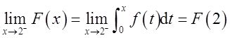
4 设函数y=f(x)在区间[-1,3]上的图形如图1所示。
图1
则
的图形为( )。
【答案】 D
【考点】 定积分的应用
【解析】 由图可知:
(Ⅰ)在区间(-1,0)上,f(x)≥0,则F(x)在此区间单调递增,排除A项。
(Ⅱ)
表示y=f(x),x=0,x=x 0 与x轴所围曲边梯形位于x轴上方的图形面积减去位于x轴下方的图形面积所得差值,则当0<x<1时,由图可知
排除C项。
(Ⅲ)又当2<x<3时,f(x)=0,故
即F(x)在x=2处连续,排除B项。
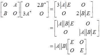
5
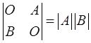
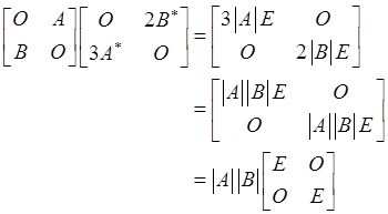
设A,B均为2阶矩阵,A
*
,B
*
分别为A,B的伴随矩阵,若|A|=2,|B|=3,则分块矩阵
的伴随矩阵为( )。
A.
B.
C.
D.
【答案】 B
【考点】 伴随矩阵
【解析】 由于
因此选项B正确。
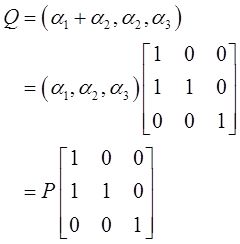
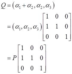
6 设A,P均为3阶矩阵,P T 为P的转置矩阵,且
若P=(α 1 ,α 2 ,α 3 ),Q=(α 1 +α 2 ,α 2 ,α 3 ),则Q T AQ为( )。
A.
B.
C.
D.
【答案】 A
【考点】 矩阵的计算
【解析】 由题设可知
于是
7 设事件A与事件B互不相容,则( )。
A.P( A B )=0
B.P(AB)=P(A)P(B)
C.P(A)=1-P(B)
D.P( A ∪ B )=1
【答案】 D
【考点】 概率的基本公式
【解析】 由题意可知,
即P( A ∪ B )=1。
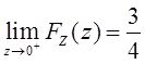
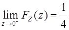
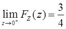
8 设随机变量X与Y相互独立,且X服从标准正态分布N(0,1),Y的概率分布为P{Y=0}=P{Y=1}=1/2,记F Z (z)为随机变量Z=XY的分布函数,则函数F Z (z)的间断点的个数为( )。
A.0
B.1
C.2
D.3
【答案】 B
【考点】 概率分布和函数的间断点
【解析】 F Z (z)=P{Z≤z}=P{XY≤z}=P{XY≤z|Y=0}P{Y=0}+P{XY≤z|Y=1}P{Y=1}=P{0≤z}/2+P{X≤z}/2。
当z≤0时,F Z (z)=P{X≤z}/2=Φ X (z)/2;当z>0时,F Z (z)=1/2+P{X≤z}/2=1/2+Φ X (z)/2。于是
故z=0为F Z (z)的间断点。
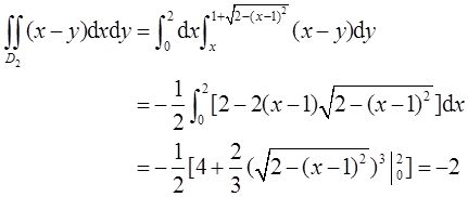
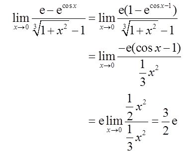
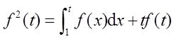
9
______。
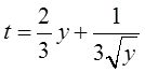
【答案】 3e/2
【考点】 极限的计算
【解析】
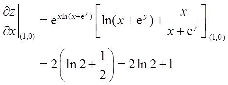
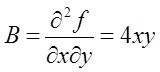
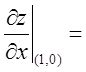
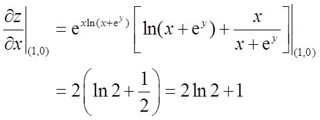
10
设z=(x+e
y
)
x
,则
______。
【答案】 2ln2+1
【考点】 多元函数的偏微分
【解析】
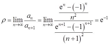
11
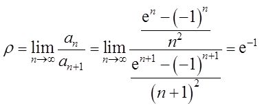
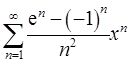
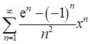
幂级数
的收敛半径为______。
【答案】 e - 1
【考点】 幂级数的收敛半径
【解析】
的收敛半径为
12 设某产品的需求函数为Q=Q(p),其对价格p的弹性ε p =0.2,则当需求量为10000件时,价格增加一元会使产品收益增加______元。
【答案】 8000
【考点】 导数的经济意义——边际、弹性的概念及计算
【解析】 由题意知,收益函数为L=Qp,于是L′=Q′p+Q。又ε p =-Q′p/Q=0.2,则Q′p=-0.2Q,即L′=0.8Q,L′| Q = 10000 =0.8Q| Q = 10000 =8000,即价格增加一元会使产品收益增加8000元。
13
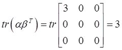
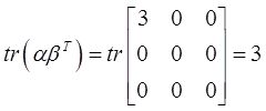
设α=(1,1,1)
T
,β=(1,0,k)
T
。若矩阵αβ
T
相似于
,则k=______。
【答案】 2
【考点】 矩阵的相似
【解析】
β
T
α为一实数,其值等于矩阵αβ
T
的主对角线元素之和。又矩阵αβ
T
相似于
,则
故3=β T α=1+k,即k=2。
14 设X 1 ,X 2 ,…,X m 为来自二项分布总体B(n,p)的简单随机样本, X 和S 2 分别为样本均值和样本方差。设T= X -S 2 ,则ET=______。
【答案】 np 2
【考点】 二项分布和期望的计算
【解析】 由题意可得E X =np,ES 2 =np(1-p),ET=E( X -S 2 )=E X -ES 2 =np-np(1-p)=np 2 。
三、解答题(15~23小题,共94分,解答应写出文字说明、证明过程或演算步骤。)
15 (本题满分9分)
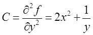
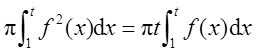
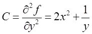
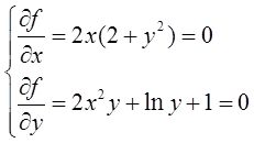
求二元函数f(x,y)=x 2 (2+y 2 )+ylny的极值。
【考点】 二元函数的极值
解: 由题意,令
解得唯一驻点(0,1/e)。
由于
于是(B 2 -AC)| ( 0 , 1/e ) =[16x 2 y 2 -2(2+y 2 )(2x 2 +1/y)]| ( 0 , 1/e ) =-2e(2+1/e 2 )<0,且A>0。故(0,1/e)为函数f(x,y)的极小值点,且极小值为f(0,1/e)=-1/e。
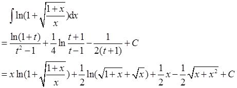
16 (本题满分10分)
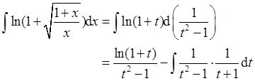
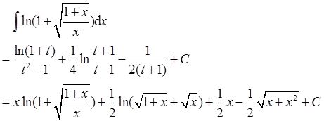
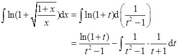
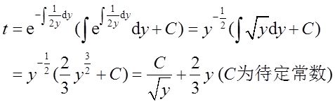
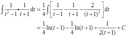
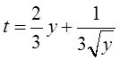
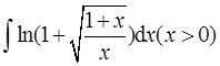
计算不定积分
【考点】 不定积分的计算(换元积分)
解: 令
则x=1/(t 2 -1),于是
而
C为任意常数。故
17 (本题满分10分)
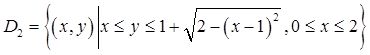
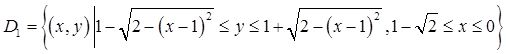
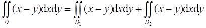
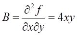
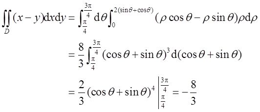
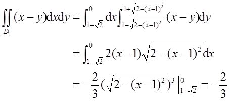
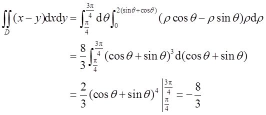
计算二重积分
,其中D={(x,y)|(x-1)
2
+(y-1)
2
≤2,y≥x}。
【考点】 二重积分的计算
解: 方法一:如图2所示。
图2
区域D的极坐标表示为:0≤ρ≤2(sinθ+cosθ),π/4≤θ≤3π/4。
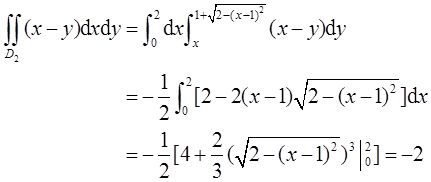
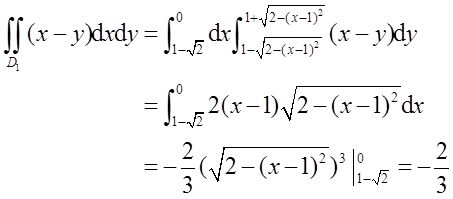
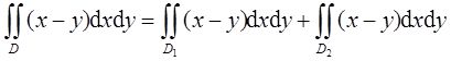
方法二:将区域D分成D 1 ,D 2 两部分(如图3所示):
图3
其中
由二重积分的性质知,
又
故
18 (本题满分11分)
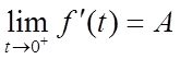
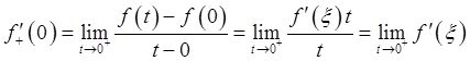
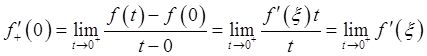
(Ⅰ)证明拉格朗日中值定理:若函数f(x)在[a,b]上连续,在(a,b)内可导,则存在ξ∈(a,b),使得f(b)-f(a)=f′(ξ)(b-a);
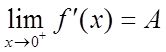
(Ⅱ)证明:若函数f(x)在x=0处连续,在(0,δ)(δ>0)内可导,且
则f + ′(0)存在,且f + ′(0)=A。
【考点】 拉格朗日中值定理和罗尔中值定理
证: (Ⅰ)取F(x)=f(x)-{[f(b)-f(a)](x-a)}/(b-a),由题意知,F(x)在[a,b]上连续,在(a,b)内可导,且F(a)=f(a)-{[f(b)-f(a)](a-a)}/(b-a)=f(a),F(b)=f(b)-{[f(b)-f(a)](b-a)}/(b-a)=f(a)。根据罗尔定理得,存在ξ∈(a,b),使得F′(ξ)=f′(ξ)-[f(b)-f(a)]/(b-a)=0,即f(b)-f(a)=f′(ξ)(b-a)。
(Ⅱ)对于任意的t∈(0,δ),有f(x)在[0,t]上连续,(0,t)内可导,由右导数定义及拉格朗日中值定理有,
其中ξ∈(0,t)。
由于
且当t→0 + 时,ξ→0 + ,所以
故f + ′(0)存在,且f + ′(0)=A。
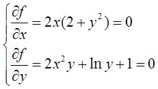
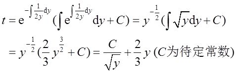
19 (本题满分10分)
设曲线y=f(x),其中f(x)是可导函数,且f(x)>0。已知曲线y=f(x)与直线y=0,x=1及x=t(t>1)所围成的曲边梯形绕x轴旋转一周所得的立体体积值是该曲边梯形面积值的πt倍,求该曲线的方程。
【考点】 旋转体的体积
解: 由题意知,
在等式两边对t求导得,
将t=1代入上式得f(1)=1或f(1)=0(舍去)。再求导得:2f(t)f′(t)=2f(t)+tf′(t),记f(t)=y,则dt/dy+t/2y=1,故
将t=1,y=1代入得C=1/3,从而
故所求曲线方程为
20 (本题满分11分)
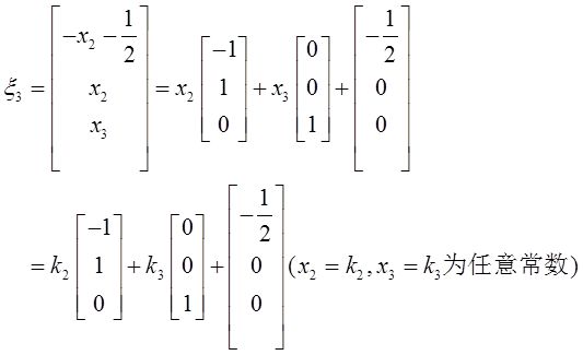
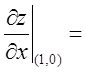
设
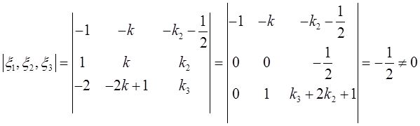
(Ⅰ)求满足Aξ 2 =ξ 1 ,A 2 ξ 3 =ξ 1 的所有向量ξ 2 ,ξ 3 ;
(Ⅱ)对(Ⅰ)中的任意向量ξ 2 ,ξ 3 证明ξ 1 ,ξ 2 ,ξ 3 线性无关。
【考点】 矩阵的秩和向量组的相关性
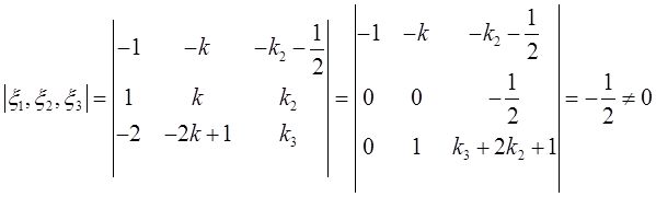
解: (Ⅰ)
于是r(A)=r( A )=2,取x 2 为自由变量,可得x 3 =-2x 2 +1,x 1 =-x 2 。故
设
则
于是r(B)=r( B )=1,取x 2 ,x 3 为自由变量,则x 1 =-x 2 -1/2,故
(Ⅱ)证法1:由(Ⅰ)知
故ξ 1 ,ξ 2 ,ξ 3 线性无关。
证法2:由题设可得Aξ 1 =0。设存在一组数k 1 ,k 2 ,k 3 使得k 1 ξ 1 +k 2 ξ 2 +k 3 ξ 3 =0①,在等式两端左乘A,得k 1 Aξ 1 +k 2 Aξ 2 +k 3 Aξ 3 =0,即k 2 Aξ 2 +k 3 Aξ 3 =0,即k 2 ξ 1 +k 3 Aξ 3 =0②,再在等式两端左乘A,得k 2 Aξ 1 +k 3 A 2 ξ 3 =0,即k 3 ξ 1 =0,于是k 3 =0,代入②式得k 2 ξ 1 =0,故k 2 =0。将k 2 =k 3 =0代入①式可得k 1 =0,从而ξ 1 ,ξ 2 ,ξ 3 线性无关。
21 (本题满分11分)
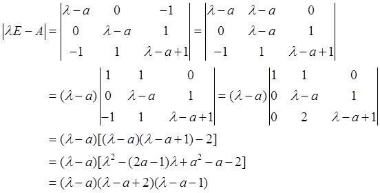
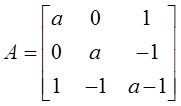
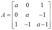
设二次型f(x 1 ,x 2 ,x 3 )=ax 1 2 +ax 2 2 +(a-1)x 3 2 +2x 1 x 3 -2x 2 x 3 。
(Ⅰ)求二次型f的矩阵的所有特征值;
(Ⅱ)若二次型f的规范型为y 1 2 +y 2 2 ,求a的值。
【考点】 矩阵的特征值和二次型的规范型
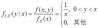
解: (Ⅰ)由题设知,二次型f的矩阵为
由于
于是f的矩阵A所有的特征值为λ 1 =a,λ 2 =a-2,λ 3 =a+1。
(Ⅱ)若二次型f的规范型为y 1 2 +y 2 2 ,则它的正惯性指数为2。于是f的矩阵A的特征值中有两个大于零,一个为零.显然λ 3 >λ 1 >λ 2 ,故λ 2 =a-2=0,即a=2。
22 (本题满分11分)
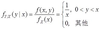
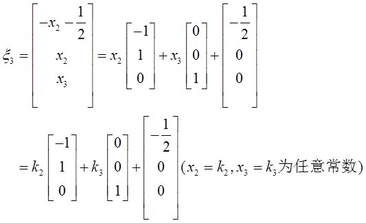
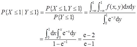
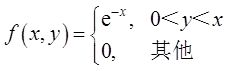
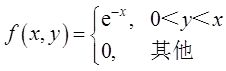
设二维随机变量(X,Y)的概率密度为
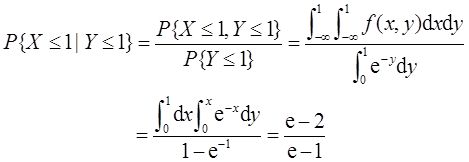
(Ⅰ)求条件概率密度f Y|X (y|x);
(Ⅱ)求条件概率P{X≤1|Y≤1}。
【考点】 二维随机变量条件概率密度
解: (Ⅰ)X的概率密度为
当x>0时,有
(Ⅱ)y的概率密度为
23 (本题满分11分)
袋中有1个红球、2个黑球与3个白球,现有放回地从袋中取两次,每次取一个球。以X,Y,Z分别表示两次取球所取得的红球、黑球与白球的个数。
(Ⅰ)求P{X=1|Z=0};
(Ⅱ)求二维随机变量(X,Y)的概率分布。
【考点】 二维离散型随机变量概率和概率分布的计算
解: 由于本题是有放回地取球,则基本事件总数为36。
(Ⅰ)P{X=1|Z=0}=P{X=1,Z=0}/P{Z=0}=[(1×2+2×1)/36]/[(3×3)/36]=4/9。
(Ⅱ)X,Y的可能取值均为0,1,2,且
P{X=0,Y=0}=(3×3)/36=1/4
P{X=0,Y=1}=(2×2×3)/36=1/3
P{X=0,Y=2}=(2×2)/36=1/9
P{X=1,Y=0}=(2×1×3)/36=1/6
P{X=1,Y=1}=(2×1×2)/36=1/9
P{X=1,Y=2}=0
P{X=2,Y=0}=(1×1)/36=1/36
P{X=2,Y=1}=0
P{X=2,Y=2}=0
故二维随机变量f(x,y)的概率分布如表1所示。
表1