



1
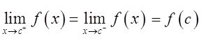
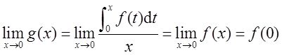
设函数f(x)在区间[-1,1]上连续,则x=0是函数
的( )。
A.跳跃间断点
B.可去间断点
C.无穷间断点
D.振荡间断点
【答案】 B
【考点】 函数间断点的类型
【解析】
首先利用间断点的定义确定该点为间断点,然后利用如下的间断点的类型进行判断。
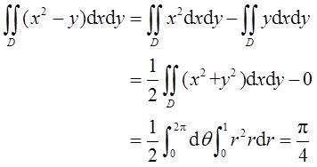
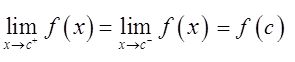
第一类间断点:x=x
0
为函数f(x)的间断点,且
与
均存在,则称x=x
0
为函数f(x)的第一类间断点,其中:
①跳跃型间断点:
②可去型间断点:
第二类间断点:x=x
0
为函数f(x)的间断点,且
与
之中至少有一个不存在,则称x=x
0
为函数f(x)的第二类间断点,其中:
①无穷型间断点:
与
至少有一个为∞;
②振荡型间断点:
或
为振荡型,极限不存在。
由于题设中g(0)不存在,故x=0是函数g(x)的可去间断点。
2
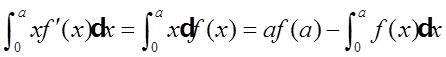
如图1,曲线段的方程为y=f(x),函数f(x)在区间[0,a]上有连续的导数,则定积分
等于( )。
图1
A.曲边梯形ABOD的面积
B.梯形ABOD的面积
C.曲边三角形ACD的面积
D.三角形ACD的面积
【答案】 C
【考点】 积分的几何意义
【解析】
而
表示曲边梯形OBAD的面积,故
表示曲边三角形ACD的面积。
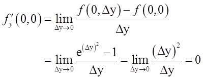
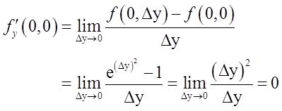
3 已知
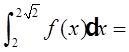
则函数在原点偏导数存在的情况是( )。
A.f x ′(0,0),f y ′(0,0)都存在
B.f x ′(0,0)不存在,f y ′(0,0)存在
C.f x ′(0,0)存在,f y ′(0,0)不存在
D.f x ′(0,0),f y ′(0,0)都不存在
【答案】 B
【考点】 二元函数的偏导数的定义
【解析】 由偏导数的定义知
不存在;
存在。
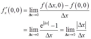
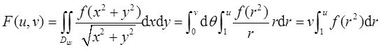
4 设函数f(x)连续,
其中区域D uv 为图2中阴影部分,则∂F/∂u=( )。
图2
A.vf(u 2 )
B.vf(u 2 )/u
C.vf(u)
D.vf(u)/u
【答案】 A
【考点】 利用极坐标变换计算二重积分
【解析】 利用极坐标,得
所以∂F/∂u=vf(u 2 )。
5 设A为n阶非零矩阵,E为n阶单位矩阵,若A 3 =O,则( )。
A.E-A不可逆,E+A不可逆
B.E-A不可逆,E+A可逆
C.E-A可逆,E+A可逆
D.E-A可逆,E+A不可逆
【答案】 C
【考点】 矩阵可逆的判定
【解析】 A 3 =O⇒A 3 +E=E⇒(A+E)(A 2 -A+E)=E,则A+E可逆,A 3 =O⇒A 3 -E=-E⇒(E-A)(A 2 +A+E)=E,即E-A可逆。
6
设
,则实数域上与A合同的矩阵是( )。
A.
B.
C.
D.
【答案】 D
【考点】 矩阵合同的判定
【解析】
由题意易知
为实对称矩阵,进而得A的特征值为-1,3,则x
T
Ax的正负惯性指数分别为1,1。可以求出选项中各矩阵的特征值,
的特征值为-1,-3;
的特征值为1,3;
的特征值为1,3;
的特征值为-1,3,知只有D项中矩阵符合。
7 设随机变量X,Y独立同分布,且X的分布函数为F(x),则Z=max{X,Y}的分布函数为( )。
A.F 2 (x)
B.F(x)F(y)
C.1-[1-F(x)] 2
D.[1-F(x)][1-F(y)]
【答案】 A
【考点】 求分布函数
【解析】 由X,Y独立同分布知,Y的分布函数也为F(x)。记Z的分布函数为F Z (x),则
F Z (x)=P{max{X,Y}≤x}=P{X≤x,Y≤x}=P{X≤x}P{Y≤x}(X与Y独立)=F 2 (x)
8 随机变量X~N(0,1),Y~N(1,4),相关系数ρ XY =1,则( )。
A.P{Y=-2X-1}=1
B.P{Y=2X-1}=1
C.P{Y=-2X+1}=1
D.P{Y=2X+1}=1
【答案】 D
【考点】 相关系数及其性质
【解析】 方法一:由X~N(0,1),Y~N(1,4)知EX=0,DX=1,EY=1,DY=4。由于ρ XY =1,所以存在常数a,b,使得P{Y=aX+b}=1,从而EY=aEX+b,得b=1,而
得a=2,故应选D项。
方法二:本题利用排除法。由ρ XY =1,可知X,Y正相关,排除A、C、B项。若Y=2X-1,由EX=0,得到EY=-1,排除B,可知应选D。
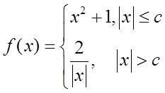
9 设函数
在(-∞,+∞)上连续,则c=______。
【答案】 1
【考点】 函数连续性的判定
【解析】 由题意知,
f(c)=c 2 +1,若
则c=1。
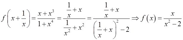
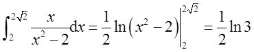
10
设函数f[x+(1/x)]=(x+x
3
)/(1+x
4
),则
______。
【答案】 (ln3)/2
【考点】 积分的计算方法
【解析】 由
得
11
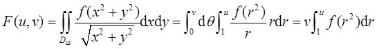
设D={(x,y)|x
2
+y
2
≤1},则
______。
【答案】 π/4
【考点】 二重积分的计算
【解析】 由于积分区域D关于x轴,y轴对称,所以有
12 微分方程为xy′+y=0满足条件y(1)=1的解y=______。
【答案】 1/x
【考点】 微分方程的求解
【解析】 由题意得,xy′+y=0⇒y′/y=-1/x,两边积分得y=C/x,C为待定常数,将y(1)=1代入得C=1,即y=1/x。
13 设三阶矩阵A的特征值是1,2,2,E为三阶单位矩阵,则|4A - 1 -E|=______。
【答案】 3
【考点】 矩阵的特征值与行列式之间的关系
【解析】 由于A - 1 的特征值是1,1/2,1/2,从而4A - 1 -E的特征值是3,1,1,即|4A - 1 -E|=3×1×1=3。
14 设随机变量X服从参数为1的泊松分布,则P{X=EX 2 }=______。
【答案】 1/(2e)
【考点】 泊松分布及其概率分布
【解析】 服从参数为1的泊松分布的概率分布为:P{X=i}=e -1 /i!。又EX 2 =DX+(EX) 2 =1+1=2,故P{X=EX 2 }=P{X=2}=(e - 1 )/2=1/(2e)。
三、解答题(15~23小题,共94分,解答应写出文字说明、证明过程或演算步骤。)
15 (本题满分9分)
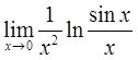
计算
【考点】 极限的求解方法(洛必达法则)
解: 利用下列等价无穷小
由
16 (本题满分10分)
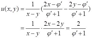
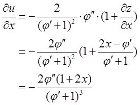
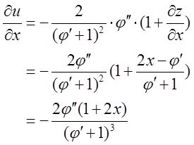
设x=z(x,y)是由方程x 2 +y 2 -z=φ(x+y+z)所确定的函数,其中φ具有二阶导数,且φ′≠1。
(Ⅰ)求dz;
(Ⅱ)记u(x,y)=(∂z/∂x-∂z/∂y)/(x-y),求∂u/∂x。
【考点】 多元函数的微分计算
解: (Ⅰ)在方程x 2 +y 2 -z=φ(x+y+z)两端求微分得2xdx+2ydy-dz=φ′(x+y+z)(dx+dy+dz),即dz=[(2x-φ′)dx+(2y-φ′)dy]/(φ′+1)。
(Ⅱ)
17 (本题满分11分)
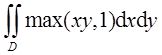
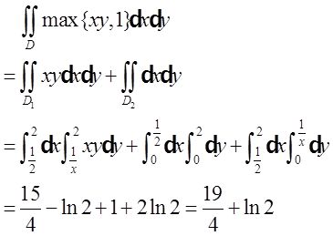
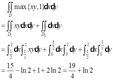
计算
,其中D={(x,y)|0≤x≤2,0≤y≤2}。
【考点】 二重积分的计算
解: 曲线xy=1将区域D分成如图3所示的两个区域D 1 和D 2 。则有
图3
18 (本题满分10分)
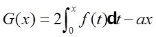
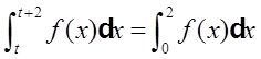
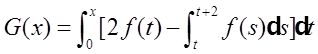
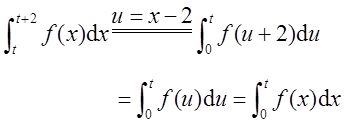
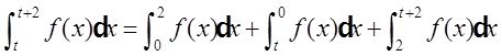
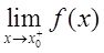
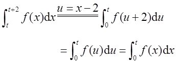
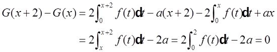
设f(x)是周期为2的连续函数。
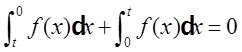
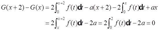
(Ⅰ)证明:对任意的实数t,有
(Ⅱ)证明:
是周期为2的周期函数。
【考点】 积分函数的计算
证明:(Ⅰ)对任意实数t都有
而
又因为
所以
(Ⅱ)由(Ⅰ)知任意实数t都有
记
则
则对任意的z,有
故G(x)是周期为2的周期函数。
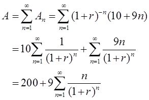
19 (本题满分10分)
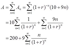
设银行存款的年利率为r=0.05,并依年复利计算,某基金会希望通过存款A万元实现第一年提取19万元,第二年提取28万元,…,第n年提取(10+9n)万元,并能按此规律一直提取下去,问A至少应为多少万元?
【考点】 级数的求和
解: 设A n 为用于第n年提取(10+9n)万元的贴现值,则A n =(1+r) - n (10+9n),故
设
x∈(-1,1),
所以S[1/(1+r)]=S(1/1.05)=420(万元)。故A=200+9×420=3980(万元),即至少应存入3980万元。
20 (本题满分12分)
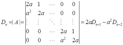
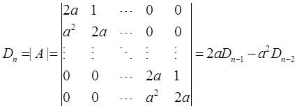
设n元线性方程组Ax=b,其中矩阵
x=(x 1 ,x 2 ,…,x n ) T ,b=(1,0,…,0) T 。
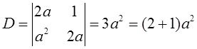
(Ⅰ)证明行列式|A|=(n+1)a n ;
(Ⅱ)当a为何值时,该方程组有唯一解,并求x 1 ;
(Ⅲ)当a为何值时,该方程组有无穷多解,并求通解。
【考点】 行列式的计算,方程组有解的判定及其解的情况
解: (Ⅰ)由题意知
现用数学归纳法证明|A|=(n+1)a n :
当n=2时,
显然成立;
假设n≤k时,D k =(k+1)a k ,则当n=k+1时,有D k + 1 =2aD k -a 2 D k - 1 =2a(k+1)a k -a 2 ka k - 1 =(k+2)a k + 1 。
综上可得,|A|=(n+1)a n 。
(Ⅱ)|A|=(n+1)a n ≠0,即a≠0,方程组有唯一解,设将A的第一列用b替换后所得矩阵为A 1 ,根据克莱姆法则,得x 1 =|A 1 |/A 1 =D n - 1 /[(n+1)a n ]=na n - 1 /[(n+1)a n ]=n/[(n+1)a]。
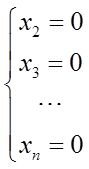
(Ⅲ)当a=0时,方程组有无穷多解,此时
则Ax=0的同解方程组为
易求得Ax=0的基础解系为(1,0,…,0) T 。又
则(0,1,…,0) T 是Ax=b的特解,从而Ax=b的通解为x=k(1,0,…,0) T +(0,1,…,0) T ,其中k为任意常数。
21 (本题满分10分)
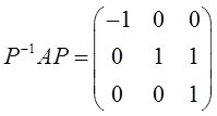
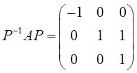
设A为3阶矩阵,α 1 ,α 2 为A的分别属于特征值-1,1的特征向量,向量α 3 满足Aα 3 =α 2 +α 3 。
(Ⅰ)证明:α 1 ,α 2 ,α 3 线性无关;
(Ⅱ)令P=(α 1 ,α 2 ,α 3 ),求P - 1 AP。
【考点】 向量组的相关性判定和矩阵的运算
解: (Ⅰ)设存在数k 1 ,k 2 ,k 3 ,使得k 1 α 1 +k 2 α 2 +k 3 α 3 =0①。由已知条件知Aα 1 =-α 1 ,Aα 2 =α 2 。用矩阵A分别乘式①的左右两边,得-k 1 α 1 +k 2 α 2 +k 3 (α 2 +α 3 )=0②。式①-②得2k 1 α 1 -k 3 α 2 =0。
由于α 1 ,α 2 为A的分别属于-1,1的特征向量,所以α 1 ,α 2 线性无关,即k 1 =k 3 =0,代入①得k 2 α 2 =0。因为α 2 是A的特征向量,α 2 ≠0,得k 2 =0,即k 1 =k 2 =k 3 =0,所以α 1 ,α 2 ,α 3 线性无关。
(Ⅱ)由题意有
因为α 1 ,α 2 ,α 3 线性无关,所以矩阵P可逆,得
22 (本题满分11分)
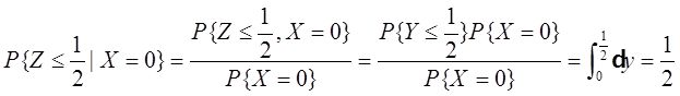
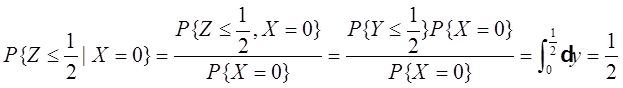
设随机变量X与Y相互独立,X的概率分布为P{X=i}=1/3(i=-1,0,1),Y的概率密度为
记Z=X+Y。
(Ⅰ)求P{Z≤1/2|X=0};
(Ⅱ)求Z的概率密度f Z (z)。
【考点】 求概率和概率密度函数
解: (Ⅰ)
(Ⅱ)设Z的分布函数为F(z),则其值域非零时z的区间为[-1,2]。
当z<-1时,F Z (z)=0;
当z>2时,F Z (z)=1;
当-1≤z<2时,F Z (z)=P{Z≤z}=P{X+Y≤z}=P{X+Y≤z︱X=-1}P{X=-1}+P{X+Y≤z︱X=0}P{X=0}+P{X+Y≤z︱X=1}P{X=1}=[P{Y≤z+1}+P{Y≤z}+P{Y≤z-1}]/3=[F Y (z+1)+F Y (z)+F Y (z-1)]/3。
故Z的分布密度函数为
23 (本题满分11分)
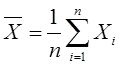
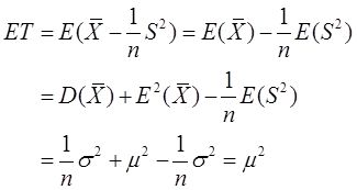
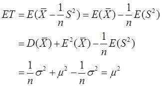
设X 1 ,X 2 ,…,X n 是总体N(μ,σ 2 )的简单随机样本,记
T= X 2 -S 2 /n
(Ⅰ)证明T是μ 2 的无偏估计量;
(Ⅱ)当μ=0,σ=1时,求DT。
【考点】 参数估计中的无偏估计及方差的计算
解: (Ⅰ)由题意知
故T是μ 2 的无偏估计量。
(Ⅱ)当μ=0,σ=1时, X ~N(0,1/n),即有n X 2 ~χ 2 (1),(n-1)S 2 ~χ 2 (n-1),而D(χ 2 (n))=2n。则