



1-1 图1-2-1是液位自动控制系统原理示意图。在任意情况下,希望液面高度c维持不变,试说明系统工作原理并画出系统方块图。
图1-2-1 液位自动控制系统原理图
解: 当Q 1 ≠Q 2 时,液面高度的变化。例如,c增加时,浮子升高,使电位器电刷下移,产生控制电压,驱动电动机通过减速器减小阀门开度,使进入水箱的流量减少。反之,当c减小时,则系统会自动增大阀门开度,加大流入水量,使液位升到给定高度c。方块图如图1-2-2所示。
图1-2-2 液位自动控制系统方块图
1-2 图1-2-3是仓库大门自动开闭控制系统原理示意图。试说明系统自动控制大门开闭的工作原理并画出系统方块图。
图1-2-3 仓库大门自动开闭控制系统原理图
解: 当合上开门开关时,产生偏差电压信号,信号被放大后,驱动伺服电动机转动,带动绞盘使大门向上提起。同时,电位器电刷上移,测量电路重新达到平衡,电动机停止转动。反之,当合上关门开关时,伺服电动机反向转动,带动绞盘转动使大门关闭。方块图如图1-2-4所示。
图1-2-4 仓库大门自动控制系统方块图
1-3 图1-2-5(a)和(b)均为自动调压系统。设空载时,图(a)无差系统与图(b)有差系统的发电机端电压均为110V。试问带上负载后,图(a)和图(b)中哪个系统能保持110V电压不变?哪个系统的电压会稍低于110V?为什么?
图1-2-5 自动调压系统原理图
解: 图1-2-5(a)中的系统能够恢复到110V,图1-2-5(b)中的系统的端电压将稍低于110V。
图1-2-5(a)系统,当端电压低于给定电压时,其偏差电压经放大器放大使伺服电机SM转动,从而带动电刷,使得激磁电流增加,发电机端电压得以升高。偏差电压减小,直至伺服电机停止转动,故图1-2-5(a)中的系统端电压能够恢复到110V。
图1-2-5(b)系统,当偏差电压为零时,激磁电流也为零,发电机不能工作,故图1-2-5(b)中的系统的端电压将稍低于110V。
1-4 图1-2-6为水温控制系统示意图。冷水在热交换器中由通入的蒸汽加热,从而得到一定温度的热水。冷水流量变化用流量计测量。试绘制系统方块图,并说明为了保持热水温度为期望值,系统是如何工作的?系统的被控对象和控制装置各是什么?
图1-2-6 水温控制系统原理图
解: 方块图如图1-2-7所示。
图1-2-7 水温控制系统方块图
水温控制系统的控制方式是把按偏差的闭环控制与按扰动补偿的顺馈控制结合起来。
采用温度负反馈,若温度过高,使阀门关小,减小蒸汽量,热水温度回到给定值。采用扰动顺馈补偿,当冷水减少时,补偿量减小,使阀门关小,蒸汽量减少,以保持热水温度恒定。
系统的被控对象是热交换器,被控量是热水温度,控制装置是温度控制器。
1-5 图1-2-8是电炉温度控制系统原理示意图。试分析系统保持电炉温度恒定的工作过程,指出系统的被控对象、被控量以及各部件的作用,最后画出系统方块图。
图1-2-8 电炉温度控制系统原理图
解: 系统保持电炉温度恒定的工作过程:当炉温偏低时,偏差电压为Δu,且Δu为正,电动机“正”转,电流加大,炉温上升至Δu=0,电动机停止转动,炉温保持恒定。
当炉温偏高时,Δu为负,电动机“反”转,使供电电压减小,至炉温等于给定值为止。
被控对象是电炉,被控量是电炉炉温,伺服电动机、减速器、调压器是执行机构,热电偶是检测元件。方块图如图1-2-9所示。
图1-2-9 电炉温度控制系统方块图
1-6 图1-2-10是自整角机随动系统原理示意图。系统的功能是使接受自整角机TR的转子角位移θ o 与发送自整角机TX的转子角位移θ i 始终保持一致。试说明系统是如何工作的,并指出被控对象、被控量以及控制装置各部件的作用,画出系统方块图。
图1-2-10 自整角机随动系统原理图
解: 在一定范围内有:u e =k e (θ i -θ o )sinωt。该式是一个振幅随角偏差(θ i -θ o )的改变而变化的交流电压。经整流放大后,直流信号作用在伺服电动机电枢两端,带动负载和接收自整角机的转子,使其跟随发送自整角机的转子旋转,实现θ i =θ o 。
被控对象是负载轴,被控量是负载轴转角θ o ,电动机和减速器是执行机构,相敏整流放大器与功率放大器起着放大信号的作用,测速发电机是检测反馈元件。方块图如图1-2-11所示。
图1-2-11 自整角机随动系统方块图
1-7 在按扰动控制的开环控制系统中,为什么说一种补偿装置只能补偿一种与之相应的扰动因素?对于图1-2-12所示的按扰动控制的速度控制系统,当电动机的激磁电压变化时,转速如何变化?该补偿装置能否补偿这个转速的变化?
图1-2-12 按扰动控制的速度控制系统原理图
解: 按扰动控制的开环控制系统只适用于扰动是可测量的场合,因为这种控制方法获取信息来源于扰动量,并以此改变被控制的对象;且一种补偿装置只能补偿一种扰动因素,对其余扰动均不起补偿作用。
图1-2-12为按电枢电流进行补偿的速度控制系统。当电动机电压增大时,其转速上升;当电压减小时,其转速下降。不能补偿由激磁电压变化引起的转速变化。
1-8 图1-2-13为谷物湿度控制系统示意图。在谷物磨粉的生产过程中,有一种出粉最多的湿度,因此磨粉之前要给谷物加水以得到给定的湿度。图中,谷物用传送装置按一定流量通过加水点,加水量由自动阀门控制。加水过程中,谷物流量、加水前谷物湿度以及水压都是对谷物湿度控制的扰动作用。为了提高控制精度,系统中采用了谷物湿度的顺馈控制,试画出系统方块图。
图1-2-13 谷物湿度控制系统原理图
解: 该系统是一个按扰动补偿的复合控制系统,方块图如图1-2-14所示。
图1-2-14 谷物湿度控制系统方块图
1-9 图1-2-15为数字计算机控制的机床刀具进给系统。要求将工件的加工过程编制成程序预先存入计算机。加工时,步进电动机按照计算机给出的信息动作,完成加工任务。试说明该系统的工作原理。
图1-2-15 机床刀具进给系统方块图
解: 该系统是一开环控制系统。数字计算机将控制程序转换为控制X,Y,Z三个方向运动的电脉冲信号,经过脉冲分配与功率放大,信号输入到步进电动机,控制刀具与工件的相对运动位置,保证刀尖的运动轨迹符合工件的轮廓形状(此系统中只有顺向作用而没有反向联系)。
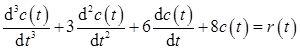
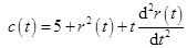
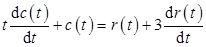
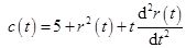
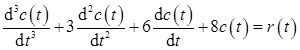
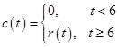
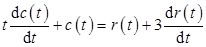
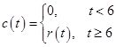
1-10 下列各式是描述系统的微分方程,其中c(t)为输出量,r(t)为输入量,试判断哪些是线性定常或时变系统,哪些是非线性系统。
(1)
(2)
(3)
(4)c(t)=r(t)cosωt+5
(5)
(6)c(t)=r 2 (t)
(7)
解: (1)非线性时变系统;(2)线性定常系统;(3)线性时变系统;(4)非线性时变系统;(5)线性定常系统;(6)非线性定常系统;(7)线性时变系统。