



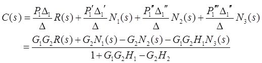
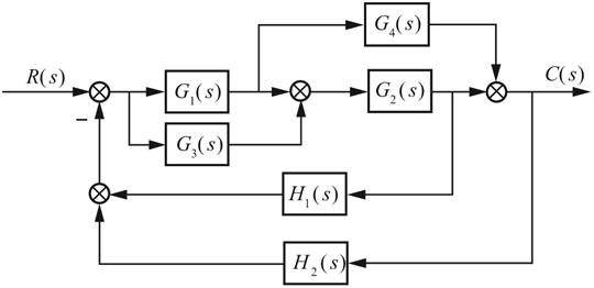
1 某系统结构如图2-3-1所示,R(s)为输入,P(s)为扰动,C(s)为输出。试:
(1)画出系统的信号流图;
(2)求传递函数C(s)/R(s)及C(s)/P(s);
(3)说明在什么条件下,输出C(s)不受扰动P(s)的影响。[华南理工大学2012研]
图2-3-1
答: (1)信号流图如图2-3-2所示。
图2-3-2
(2)①对于R(s)
由信号流图知有两条前向通道,增益分别为:
p 1 =G 1 G 2 G 3 G 4 ,p 2 =G 1 G 5
由信号流图知有四条回路,增益分别为:
L 1 =-G 2 G 3 H 2 ,L 2 =-G 1 G 2 H 1
L 3 =-G 1 G 2 G 3 G 4 H 3 ,L 4 =-G 1 G 5 H 3
各回路均相互接触,故Δ=1-L 1 -L 2 -L 3 -L 4
p 1 ,p 2 与各回路均接触,故
Δ 1 =1,Δ 2 =1
故由梅森公式知,传递函数为:
②对于P(s)
由信号流图知有两条前向通道,增益分别为:
p 1 ′=G 3 G 4 ,p 2 ′=-G 3 G 5 H 2
回路与上相同,p 1 ′与L 2 不接触,故Δ 1 =1-L 2 ;p 2 ′与各回路均接触,故Δ 2 =1。
故由梅森公式知,传递函数为:
(3)由C(s)/P(s)可知,当G 3 G 4 (1+G 1 G 2 H 1 )-G 3 G 5 H 2 =0时,即G 4 +G 1 G 2 G 4 H 1 =G 5 H 2 时,C(s)/P(s)=0,输出C(s)不受扰动P(s)的影响。
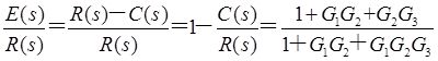
2 已知某系统的结构图如图2-3-3所示,求传递函数C(s)/R(s)和E(s)/R(s)。 [北京航空航天大学2012研]
图2-3-3
解: 由系统的结构图可知,单独回路有2个:L 1 =-G 1 G 2 ,L 2 =-G 1 G 2 -G 1 G 2 G 3 ,即:
∑L a =-G 1 G 2 -G 1 G 2 G 3
没有互不接触的回路,于是信号流图特征式为:
Δ=1-∑L a =1+G 1 G 2 +G 1 G 2 G 3
从源节点R到阱节点C的前向通路共有2条,其前向通路总增益以及余子式分别为:
p 1 =G 1 G 2 G 3 ,Δ 1 =1
p 2 =-G 2 G 3 ,Δ 2 =1
因此由梅森公式求得系统的传递函数为:
由于E(s)=R(s)-C(s),因此有:
3 已知某系统的结构图如图2-3-4所示,求传递函数C(s)/R(s)。 [北京航空航天大学2010研]
图2-3-4
解: 由系统结构图可知,本系统有三条前向通道,五个单独回路,没有互不接触回路,因此有:
L 1 =-G 1 (s)G 2 (s)H 2 (s)
L 2 =-G 2 (s)G 3 (s)H 2 (s)
L 3 =-G 2 (s)G 3 (s)H 1 (s)
L 4 =-G 1 (s)G 2 (s)H 1 (s)
L 5 =-G 1 (s)G 4 (s)H 2 (s)
Δ=1-(L 1 +L 2 +L 3 +L 4 +L 5 )=1+G 1 G 2 H 2 +G 1 G 2 H 1 +G 2 G 3 H 2 +G 2 G 3 H 1 +G 1 G 4 H 2
p 1 =G 1 (s)G 2 (s)
p 2 =G 2 (s)G 3 (s)
p 3 =G 1 (s)G 4 (s)
Δ 1 =Δ 2 =Δ 3 =1
由梅森增益公式可得,传递函数C(s)/R(s)为:
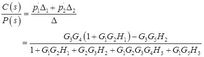
4 试确定图2-3-5所示系统的输出C(s)。 [南京航空航天大学2017研]
图2-3-5
解: 系统对应信号流图如图2-3-6所示。
图2-3-6
由信号流图知,系统有2条回路,L 1 =-G 1 G 2 H 1 ,L 2 =G 2 H 2 ,Δ=1-L 1 -L 2 。
对于R(s),有1条前向通道,P 1 =G 1 G 2 ,Δ 1 =1;
对于N 1 (s),有1条前向通道,P 1 ′=G 2 ,Δ 1 ′=1;
对于N 2 (s),有1条前向通道,P 1 ″=-G 2 ,Δ 1 ″=1;
对于N 3 (s),有1条前向通道,P 1 ‴=-G 1 G 2 H 1 ,Δ 1 ‴=1。
故由梅森公式
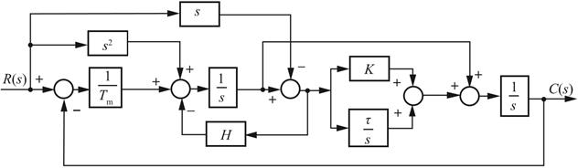
5 某负反馈控制系统框图如图2-3-7所示,试求系统的传递函数C(s)/R(s)。 [电子科技大学2010研]
图2-3-7
解: 由图可知,系统包含九条前向通道分别为:
P 1 =-K,P 2 =-τ/s,P 3 =H/s,P 4 =K,P 5 =τ/s,P 6 =1,P 7 =K/(T m s 2 ),P 8 =τ/(T m s 3 ),P 9 =1/(T m s 2 )
独立回路有四个分别为:
L 1 =-H/s,L 2 =-K/(T m s 2 ),L 3 =-τ/(T m s 3 ),L 4 =-1/(T m s 2 )
没有互不接触回路,故主特征式为:
Δ=1+K/(T m s 2 )+τ/(T m s 3 )+1/(T m s 2 )+H/s
因为前向通道与各单独回路均接触,所以各余子式为:
Δ 1 =Δ 2 =Δ 3 =Δ 4 =Δ 5 =Δ 6 =Δ 7 =Δ 8 =Δ 9 =1
由梅森增益公式可知,系统传递函数为:
6 系统的微分方程组为:
x 1 (t)=r(t)-c(t)
x 3 (t)=x 2 (t)-k 3 c(t)
式中T
1
,T
2
,k
1
,k
2
,k
3
均为正的常数,系统的输入为r(t),输出为c(t),试画出动态结构图,并求出传递函数
[厦门大学2013研]
解: 由x 1 (t)=r(t)-c(t)可以得图2-3-8所示结构:
图2-3-8
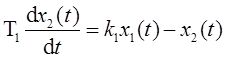
由第二个公式经过拉普拉斯变换得:
可得图2-3-9所示结构。
图2-3-9
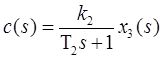
由x 3 (t)=x 2 (t)-k 3 c(t)得图2-3-10所示结构。
图2-3-10
由
变换得:
可得系统结构图如图2-3-11所示。
图2-3-11
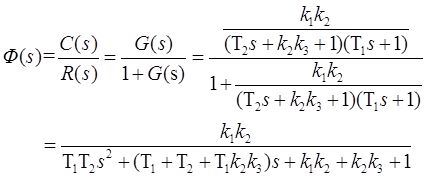
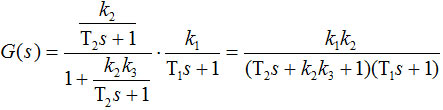
开环传递函数得:
闭环传递函数为: