购买
下载掌阅APP,畅读海量书库
立即打开
畅读海量书库
扫码下载掌阅APP

2.2 课后习题详解

思考题

2-1 何谓确知信号?

答: 确知信号是指其取值在任何时间都是确定和可预知的信号,通常可以用数学公式表示它在任何时间的取值。例如,振幅、频率和相位都是确定的一段正弦波,它就是一个确知信号。

2-2 试分别说明能量信号和功率信号的特性。

答: (1)能量信号的能量为一个有限正值,但其平均功率等于零。

(2)功率信号的能量为无穷大,其平均功率为一个有限正值。

2-3 试用语言(文字)描述单位冲激函数的定义。

答: 单位冲击函数是指宽度无穷小,高度为无穷大,积分面积为1的脉冲。其仅有理论上的意义,是不可能物理实现的一种信号。

2-4 试画出单位阶跃函数的曲线。

答: 如图2-1所示。

图2-1

2-5 试述信号的四种频率特性分别适用于何种信号。

答: (1)功率信号的频谱适用于周期性的功率信号。

(2)能量信号的频谱密度适用于能量信号。

(3)能量信号的能量谱密度适用于能量信号。

(4)功率信号的功率谱密度适用于功率信号。

2-6 频谱密度S(f)和频谱C(jnω 0 )的量纲分别是什么?

答: 频谱密度的量纲是伏特/赫兹(V/Hz);频谱的量纲是伏特(V)。

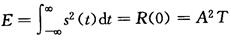
2-7 自相关函数有哪些性质?

答: 自相关函数的性质:

(1)自相关函数是偶函数;

(2)与信号的能谱密度函数或功率谱密度函数是傅立叶变换对的关系;

(3)当τ=0时,能量信号的自相关函数R(0)等于信号的能量,功率信号的自相关函数R(0)等于信号的平均功率。

2-8 冲激响应的定义是什么?冲激响应的傅里叶变换等于什么?

答: (1)冲激响应的定义:输入为单位冲激函数时系统的零状态响应,一般记作h(t)。

(2)冲激响应的傅里叶变换等于系统的频率响应,即H(f)。

习题

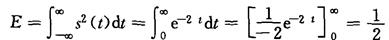
2-1 试判断下列信号是周期信号还是非周期信号,能量信号还是功率信号:

(1)s 1 (t)=e t u(t)

(2)s 2 (t)=sin(6πt)+2cos(10πt)

(3)s 3 (t)=e 2t

解: 若0<E<∞,而功率P→0,则为能量信号;若能量E→0,而0<P<∞,则为功率信号。

(1)s 1 (t)=e t u(t)的能量为

而功率为

所以s 1 (t)是能量信号,也是非周期信号。

(2)满足两个周期信号相加后仍是周期信号的条件为T=mT 1 +nT 2 ,其中m、n为正整数。

该信号中sin(6πt)的周期为 ,2cos(10πt)的周期为 ,则T 1 和T 2 的最小公倍数为

因此,s 2 (t)是周期为2的周期信号,而周期信号必然是功率信号。

(3)s 3 (t)=e 2t 的能量为

而功率为

由上可知,s 3 (t)既不是能量信号也不是功率信号,也是非周期信号。

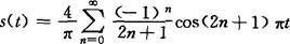
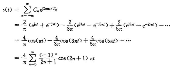
2-2 试证明图2-1中周期性信号可以展开为

图2-1

证明:取区间-1/2≤t≤3/2作为一个周期进行计算,并令周期T 0 =2。

由教材式(2.2-1)可得

将上式代入教材式(2.2-2),得

所以, 得证。

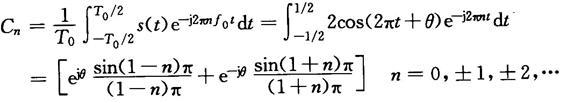
2-3 设信号s(t)可以表示成

s(t)=2cos(2πt+θ) -∞<t<∞

试求:(1)信号的傅里叶级数的系数C n

(2)信号的功率谱密度。

解: (1)由题可知,信号的振幅A=2,基频f 0 =1,周期T 0 =1,且由教材式(2.2-1)得信号s(t)的傅里叶级数的系数为

由上式可知,只有n=±1时,C n ≠0,可以得出│C n │=1,n=±1。

(2)由教材式(2.2-44)可得s(t)的功率谱密度为

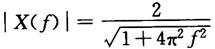
2-4 设有一信号如下:

试问它是功率信号还是能量信号,并求出其功率谱密度或能量谱密度。

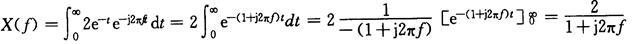
解: (1)x(t)的能量为

因此x(t)是能量信号。

(2)对x(t)进行傅里叶变换,可得其频谱密度为

所以

故x(t)的能量谱密度为

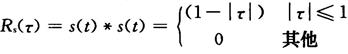
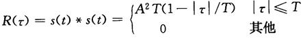
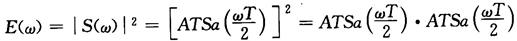
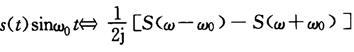
2-5 求图2-2所示的单个矩形脉冲(门函数)的频谱(密度)、能量谱密度、自相关函数及其波形、信号能量。

图2-2

解: 对s(t)进行傅里叶变换,可得其频谱函数为

则s(t)的能量谱密度为

已知能量信号的自相关函数和其能量谱密度是一对傅里叶变换。利用时域卷积特性可得,s(t)的自相关函数R(τ)为高为A、宽为T的两个门函数的卷积,即

其波形如图2-3所示

图2-3

所以s(t)的能量为

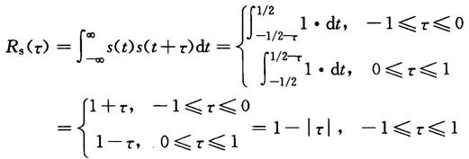
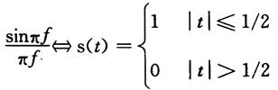
2-6 设信号s(t)的傅里叶变换为S(f)=sinπf/πf,试求此信号的自相关函数R s (τ)。

解: 方法1:该信号的能量谱密度为

其中

显然s(t)是一个门函数。利用时域卷积定理,可得自相关函数R s (τ)为

方法2:由自相关函数定义式,并参照图2-4。

图2-4

可得

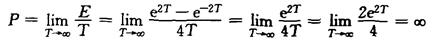
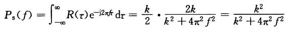
2-7 已知信号s(t)的自相关函数为

(1)试求其功率谱密度P s (f)和功率P;

(2)试画出R s (τ)和P n (f)的曲线。

解: (1)信号s(t)的功率谱密度P s (f)为

且功率P为

(2)R s (τ)和P s (f)的曲线如图2-5所示。

图2-5

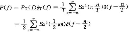
2-8 已知信号s(t)的自相关函数R(τ)是周期T=2的周期性函数,其在区间(-1,1)上的截断函数为

R T (τ)=1-│τ│  -1≤τ<1

试求s(t)的功率谱密度P(f)并画出其曲线。

解: s(t)的自相关函数可表示为

R(τ)=R T (τ)*δ T (τ)

其中

已知功率信号的自相关函数和其功率谱密度是一对傅里叶变换。利用时域卷积特性,可得s(t)的功率谱密度为

其波形如图2-6所示。

图2-6

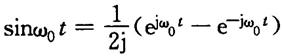
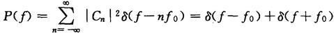
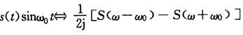
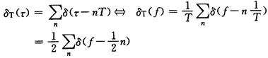
2-9 (1)求正弦信号c(t)=sinω 0 t的频谱(密度);

(2)已知 ,试求x(t)=s(t)sinω 0 t的频谱(密度)。

解: (1)由欧拉公式可知

利用 和傅里叶变换的频移特性,可得正弦信号的频谱为

(2)方法一:由(1)的结果和频域卷积定理,可得

方法二:因为 ,所以根据傅里叶变换的频移特性可直接得出 vbpoIUErGR0OUrDE/Bik6M6FzRnK0HpiNwxVl8LRvDQTvo4lGpS5U7U4xKmmDC4h

点击中间区域
呼出菜单
上一章
目录
下一章
×