购买
下载掌阅APP,畅读海量书库
立即打开
畅读海量书库
扫码下载掌阅APP

1.2 课后习题详解

思考题

1-1 以无线广播和电视为例,说明教材图1-3模型中信源、信宿及信道包含的具体内容是什么?

答: (1)在无线电广播中

①信源:从声音转换而成的原始电信号。

②信宿:从复原的原始电信号转换成的声音。

③信道:载有声音和影像的无线电波。

(2)在电视系统中

①信源:从影像转换而成的电信号。

②信宿:从复原的原始电信号转换成的影像。

③信道:载有声音和影像的无线电波。

1-2 何谓数字信号?何谓模拟信号?两者的根本区别是什么?

答: (1)数字信号是指载荷消息的信号参量仅有有限个取值的信号;模拟信号是指载荷消息的信号参量取值为连续(不可数、无穷多)的信号。

(2)两者的根本区别在于载荷消息信号参量的取值是连续的还是离散可数的。时间域上的连续与否不能作为区分模拟信号和数字信号的标准。

1-3 何谓数字通信?数字通信有哪些优缺点?

答: (1)数字通信是指利用数字信号来传递信息的一种通信系统。其中主要有信源编码与译码、数字调制与解调、同步以及加密与解密等组成部分。

(2)数字通信的优缺点:

①优点:

a.抗干扰能力强,且噪声不积累。数字通信特有的抽样判决再生的接收方式使得其拥有较强的抗干扰能力。

b.传输差错可控。在数字通信系统中,可通过信道编码技术进行检错与纠错,降低误码率,提高传输质量。

c.易于加密处理,且保密性好。

d.便于存储、处理和交换;数字通信的信号形式和计算机所用的信号一致,都是二进制代码,因此便于与计算机联网,也便于用计算机对数字信号进行存储,处理和交换,可使通信网的管理,维护实现自动化,智能化。

e.易于集成,使通信设备微型化,重量减轻。

f.便于构成综合数字网和综合业务数字网。采用数字传输方式,可以通过程控数字交换设备进行数字交换,以实现传输和交换的综合。

②缺点:可能需要较大的传输带宽。

1-4 数字通信系统的一般模型中各组成部分的主要功能是什么?

答: 数字通信系统的一般模型中各组成部分的主要功能是:

(1)信源编码与译码功能是提高信息传输的有效性和进行模数转换;

(2)信道编码和译码功能是进行差错控制,从而增强数字信号的抗干扰能力;

(3)加密与解密的功能是保证传输信息的安全;

(4)数字调制和解调功能是把数字基带信号搬移到高频处以便在信道中传输;

(5)同步的功能是在首发双方时间上保持一致,保证数字通信系统的有序,准确和可靠的工作。

1-5 按调制方式,通信系统如何分类?

答: 按调制方式,通信系统分为:

(1)基带传输系统。基带传输系统是将未经调制的信号直接传送,如市内电话、有线广播,一般的无线传输很少用到基带传输系统。

(2)带通传输系统。带通传输是对各种信号调制后输出的信号。带通传输系统的应用非常广泛,无线传输领域基本上都是利用带通传输系统。

1-6 按传输信号的特征,通信系统如何分类?

答: 按传输信号的特征,通信系统分为:

(1)模拟通信系统。模拟通信系统是指系统信道中所传输的信号为模拟信号的通信系统。

(2)数字通信系统。数字通信系统是指系统信道中所传输的信号为数字信号的通信系统。

1-7 按复用方式,通信系统如何分类?

答: 按复用方式,通信系统分为:

(1)频分复用。频分复用是用频谱搬移的方法使不同信号占据不同的频率范围。

(2)时分复用。时分复用是用脉冲调制的方法使不同信号占据不同的时间区间。

(3)码分复用。码分复用是用正交的编码分别携带不同的信号。

1-8 单工、半双工及全双工通信方式是按什么标准分类的?解释它们的工作方式并举例说明。

答: (1)单工、半双工及全双工通信方式是按照消息传递的方向与时间关系分类的。

(2)工作方式:

①单工通信是指消息只能单向传输的工作方式,通信双方只有一个进行发送,另一个只能接受,如广播,遥测,无线寻呼等。

②半双工通信是指通信双方都能进行收发信息,但是不能同时进行收发的工作方式,如使用同一载频的普通对讲机、问询及检索等。

③全双工通信是指通信双方能同时进行收发消息的工作方式,如电话和计算机之间的高速数据通信等。

1-9 并行传输和串行传输的适用场合及特点?

答: (1)并行传输和串行传输的适用场合分别为:

①并行传输一般适用于设备之间的近距离通信。比如一般的计算机内部通信。

②串行传输一般适用于远距离传输。普通的通信系统都是采用串行传输。

(2)并行传输和串行传输的特点分别为:

①并行传输

a.优点:传输速度快,节省时间,无需附加设备就能实现收发双方字符同步。

b.缺点:需要多条通信线路,成本高。

②串行传输

a.优点:只需一条通信线路,成本低。

b.缺点:传输速度慢,需要外加同步措施解决收发双方码组或字符同步。

1-10 通信系统的主要性能指标是什么?

答: 通信系统的主要性能指标是有效性和可靠性。有效性是指一定信息量所占用的频带宽度,即频带利用率;可靠性是指传输信息的准确程度。

1-11 衡量数字通信系统有效性和可靠性的性能指标有哪些?

答: (1)衡量数字通信系统的有效性的性能指标:码元传输速率和频带利用率。传输同样的信源信号,所需的传输带宽越小,频带利用率越高,有效性越好;传输同样的信源信号,所需的时间越少,即码元传输速率越大,则有效性越高。

(2)衡量数字通信系统的可靠性的性能指标:差错概率。差错概率常用误码率和误信率表示。误码率是指错误接收的码元数在传输总码元数中所占的比例,更确切地说,误码率是码元在传输过程中被传错的概率;误信率又称误比特率,是指错误接收的比特数在传输总比特数中所占的比例。

1-12 何谓码元速率和信息速率?它们之间的关系如何?

答: (1)码元速率(R B )是指每秒钟传送码元的数目,单位为波特;信息速率(R b )是指每秒钟传送的平均信息量,单位是bit/s。

(2)码元速率与信息速率的关系为:R b =R B 2 M(M进制码元携带㏒ 2 M比特的信息量)。信息速率总是码元速率的整数倍。

1-13 何谓误码率和误信率?它们之间的关系如何?

答: (1)误码率和误信率的定义分别为:

①误码率是指码元在传输系统中被传错的概率,即错误接收的码元数在传输总码元数中所占的比例,

②误信率是指码元在传输系统中被丢失的概率,即错误接收地比特数在传输总比特数中所占的比例,

(2)误码率和误信率的关系:它们是描述差错率的两种不同表述。在二进制中,二者数值相等。

1-14 消息中包含的信息量与以下哪些因素有关?

(1)消息出现的概率;

(2)消息的种类;

(3)消息的重要程度。

答: 由信息论以及概率论可知,信息量的度量为

这种度量消息中信息量的方式必须能够用来度量任何消息,而与消息的种类无关。同时,这种度量方法也应该与消息的重要程度无关。因此消息中包含的信息量与(1)有关。

习题

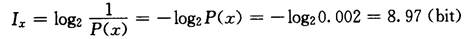
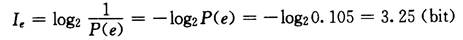
1-1 已知英文字母e出现的概率为0.105,x出现的概率为0.002,试求e和x的信息量。

解: e的信息量为

x的信息量为

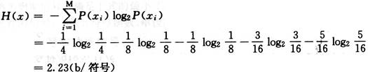
1-2 设有四个符号,其中前三个符号的出现概率分别为1/4,1/8,1/8,且各符号的出现是相互独立的。试计算该符号集的平均信息量。

解: 因为各符号的概率之和等于1,所以第四个符号的概率为1/2,故该符号集的平均信息量为

1-3 某信源符号集由字母A、B、C、D组成,若传输每一个字母用二进制码元编码,“00”代替A,“01”代替B,“10”代替C,“11”代替D,每个二进制码元宽度为5ms。

(1)不同的字母是等可能出现时,试计算传输的平均信息速率;

(2)若每个字母出现的可能性分别为

试计算传输的平均信息速率。

解: (1)由于每个二进制码元宽度为5ms,又一个字母由两个二进制码元组成,所以一个字母的持续时间为

T B =2×5ms

则传送字母的符号速率为

故不同字母等可能出现时,传输的平均信息速率为

(2)该信号源符号集的平均信息量为

故传输的平均信息速率为

1-4 一部电话机键盘上有10个数字键(0~9)。设发送数字1的概率为0.3,发送数字3和8的概率分别为0.14,发送数字2,4,5,6,7,9和0的概率分别为0.06,试求:

(1)每键的平均信息量(熵);

(2)如果按键速率为2个/s,试计算传送的信息速率。

解: (1)每键的平均信息量为

(2)由题可知,R B =2个/s,故传送的信息速率为

R b =R B ·H=2×3.02=6.04(b/s)

1-5 设某信源的输出由128个不同的符号组成。其中16个出现的概率为1/32,其余112个的出现概率为1/224。信源每秒发出1000个符号,且每个符号彼此独立。试计算该信源的平均信息速率。

解: 每个符号的平均信息量为

又已知符号速率R B =1000Baud,故平均信息速率为

1-6 设二进制数字传输系统每隔0.4ms发送一个码元。试求:

(1)该系统的信息速率;

(2)若改为传送十六进制信号码元,发送码元间隔不变,则系统的信息速率变为多少?(设各码元独立等概率出现)

解: (1)由题可知,码元宽度T B =0.4ms,则码元速率R B =1/T B =2500Baud。又二进制系统的信息速率等于码元速率,故该系统的信息速率为

R b =R B =2500(b/s)

(2)由于码元间隔(码元宽度)不变,则码元速率也不变,仍为2500Baud,故传送十六进制码元时,系统的信息速率为

1-7 某信源符号集由A,B,C,D和E组成,设每一符号独立出现,其出现概率分别为1/4,1/8,1/8,3/16和5/16。若每秒传输1000个符号,试求:

(1)该信源符号的平均信息量;

(2)1h内传送的平均信息量;

(3)若信源等概率发送每个符号,求1h传送的信息量。

解: (1)该信源符号的平均信息量(熵)为

(2)已知R B =1000Baud,所以该信源符号的平均信息速率为

则1h传送的平均信息量为

(3)等概率发送时的信源熵为

此时平均信息速率最大,故1h传送的信息量为

1-8 设某四进制数字传输系统的信息速率为2400b/s,接收端在0.5h内共收到216个错误码元,试计算该系统的误码率P e

解: 已知信息速率R b =2400b/s,则码元速率为

所以0.5h(1800s)内传送的码元个数为

又错误码元数N e =216个,所以误码率P e 2IItQefVAR6wmct0sCorXePZFAneLZrCw8lqK2fDcVnckXd7LdmLRucAcDUii6kG

点击中间区域
呼出菜单
上一章
目录
下一章
×