购买
下载掌阅APP,畅读海量书库
立即打开
畅读海量书库
扫码下载掌阅APP

1.1 复习笔记

一、通信的基本概念

1 通信的发展

(1)通信的概念

通信是发送者(人或机器)和接收者之间通过某种媒体进行的信息传递。

(2)通信的发展历程

①1837年,莫尔斯发明有线电报。

②1876年,贝尔发明电话。

③1918年,调幅无线电广播问世。

④1936年,商业电视广播开播。

⑤1983年,蜂窝状移动通信网(蜂窝网)在美国投入商业使用。

⑥1983年,美国国防部将阿帕网分为军网和民网,后者逐渐发展为今天的因特网。

2.消息、信息与信号

(1)消息

①消息的定义

消息是指通信系统传输的对象,它是信息的载体。

②消息的分类

连续消息:消息的状态连续变化或不可数,如语音、温度数据等。

离散消息:消息具有可数的有限个状态,如符号、文字、数字数据等。

(2)信息

①信息的定义

信息是消息中所包含的有效内容。

②信息与消息的关系

消息是信息的物理表现形式,而信息是消息的内涵。

(3)信号

①信号的定义

信号是消息的传输载体。

②信号的分类

a.模拟信号

模拟信号是指载荷消息的信号参量取值是连续(不可数、无穷多)的信号。

b.数字信号

数字信号是指载荷消息的信号参量只有有限个取值的信号。

(4)消息、信息和信号的关系

①消息是信息的物理形式;

②信息是消息的有效内容;

③信号是消息的传输载体。

二、通信系统模型

1 通信系统一般模型

图1-1 通信系统一般模型

(1)信息源

①信息源的作用

把各种消息转换成原始电信号。

②信息源的分类

a.模拟信源

模拟信源输出连续的模拟信号,如话筒、摄像机。

b.数字信源

数字信源输出离散的数字信号,如电传机、计算机等各种数字终端。

(2)发送设备

①发送设备的作用

a.产生适合在信道中传输的信号;

b.使发送信号特性和信道特性相匹配;

c.使发送信号具有抗信道干扰的能力;

d.使发送信号具有足够的功率以满足远距离传输的需要。

②发送设备的内容

包含变换器、放大器、滤波器、编码器、调制器、多路复用器等过程。

(3)信道

①信道的定义

信道是一种将来自发送设备的信号传送到接收端的物理媒质。

②信道的分类

无线信道和有线信道。

③信道的作用

信道传输信号的通路,并对信号产生各种干扰和噪声。

(4)噪声源

噪声源是信道中的噪声及分散在通信系统其他各处的噪声的集中表示。

(5)接收设备

①接收设备的作用

从受到减损的接收信号中正确恢复出原始电信号。

②接收设备的功能

a.将信号放大和反变换。

b.对于多路复用信号,解除多路复用,实现正确分路。

c.尽可能减小在传输过程中噪声与干扰所带来的影响。

(6)信宿

①信宿的定义

信宿是传送消息的目的地。

②信宿的作用

把原始电信号还原成相应的消息,如扬声器等。

2.模拟通信系统模型

图1-2 模拟通信系统模型

(1)模拟信源与信宿

①模拟信源的作用

模拟信源把连续消息变换成原始电信号,即基带信号。

②模拟信宿的作用

模拟信宿将基带信号变换为连续消息。

③基带信号

a.基带信号的定义

基带信号是从信源发出或送达信宿的信号的基本频带信号。

b.基带信号的基本特性

频谱通常从零频附近开始。

c.基带信号的实例

语音信号的频率范围为300Hz~3400Hz;

图像信号的频率范围为0~6MHz。

(2)调制器与解调器

①调制器的作用

把基带信号变换成适合在信道中传输的信号。

②解调器的作用

将信道中传输的已调信号变换为基带信号。

③已调信号

定义:经过调制以后的信号。

基本特征:携带有信息;其频谱通常具有带通形式,又称带通信号。

3.数字通信系统模型

图1-3 数字通信系统模型

(1)信源编码与译码

①信源编码的作用

a.提高信息传输的有效性,即通过某种压缩编码技术减少码元数目以降低码元速率。

b.完成模/数转换,即实现模拟信号的数字传输。

②信源译码的作用

信源译码是信源编码的逆过程,解压缩恢复原始码元,完成数/模转换恢复模拟信号。

(2)信道编码与译码

①信道编码

信道编码的作用是进行差错控制,信道编码器对传输的信息码元按一定的规则加入保护成分(监督码元),组成“抗干扰编码”。

②信道译码

信道译码是指信道译码器按相应的逆规则进行解码,从中发现或纠正错误以提高通信系统的可靠性。

(3)加密与解密

①加密的定义

加密是人为地将被传输的数字序列扰乱加上密码的处理过程。

②解密的定义

解密是在接收端与发送端处理过程相反的用来恢复原来信息的处理过程。

(4)数字调制与解调

①数字调制

a.数字调制的作用

把数字基带信号的频谱搬移到高频处,形成适合在信道中传输的带通信号。

b.数字调制的基本方式

振幅键控(ASK)、频移键控(FSK)、绝对相移键控(PSK)、相对(差分)相移键控(DPSK)。

②数字解调

a.数字解调的作用

从数字带通信号中还原出数字基带信号。

b.数字解调的基本方式

相干解调、非相干解调。

(5)同步

①同步的作用

使收发两端的信号在时间上保持步调一致。

②同步的分类

按照同步的功用不同,分为载波同步、位同步、群(帧)同步和网同步。

4.数字通信的特点

(1)优点

①抗干扰能力强,且噪声不积累;

②传输差错可控;

③便于用现代数字信号处理技术对数字信息进行处理、变换、存储;

④易于集成,使通信设备微型化,重量减轻;

⑤易于加密处理,保密性好。

(2)缺点

①需要较大的传输带宽;

②对同步要求高,系统设备复杂。

三、通信系统分类与通信方式

1 通信系统的分类

(1)按通信业务分类

根据通信业务的类型不同,分为电报通信系统、电话通信系统、数据通信系统、图像通信系统等。

(2)按调制方式分类

根据传输的信号是否经过调制,分为基带传输系统和带通传输系统。

(3)按信号特征分类

按传输的信号是模拟信号还是数字信号,分为模拟通信系统和数字通信系统。

(4)按传输媒质分类

按传输媒介的不同,分为有线通信系统(导线作为传输媒质完成通信)和无线通信系统(依靠电磁波在空间传播完成通信)。

(5)按工作波段分类

按通信设备的工作频率或波长不同,分为长波通信、中波通信、短波通信、远红外线通信等。

(6)按信号复用方式分类

按信号复用的方式不同,分为频分复用、时分复用、码分复用、波分复用、空分复用等。

①频分复用

频分复用是用频谱搬移的方法使不同信号占据不同的频率范围。

②时分复用

时分复用是用脉冲调制的方法使不同信号占据不同的时间区间。

③码分复用

码分复用是用正交的编码分别携带不同信号。

④波分复用

波分复用是将两种或多种不同波长的光载波信号经复用器汇合在一起并耦合到光线路中同一根光纤中进行传输。

⑤空分复用

空分复用是指让同一个频段在不同的空间内得到重复利用。

2.通信方式

(1)通信方式的定义

通信方式是指通信双方之间的工作方式或信号传输方式。

(2)通信工作方式的分类

对于点对点的通信,按消息传递的方向与时间的关系可分为单工、半双工和全双工通信。

①单工通信

单工通信是通信双方中只有一个可以进行发送,另一个只能接收的单方向传输的工作方式。

②半双工通信

半双工通信是通信双方都能收发消息,但不能同时进行收和发的工作方式。

③全双工通信

全双工通信是通信双方可同时收发消息的工作方式。

(3)通信传输方式的分类

在数据通信中,按数据码元传输方式不同可分为并行传输和串行传输。

①并行传输

a.并行传输的定义

并行传输是指将代表信息的数字码元序列以成组的方式在两条或两条以上的并行信道上同时传输。

b.并行传输的特点

优点:节省传输时间,速度快。

缺点:需多条通信信道,成本高。

c.并行传输的示意图

图1-4 并行传输

d.并行传输的应用

一般只用于设备之间的近距离通信。

②串行传输

a.串行传输的定义

串行传输是指将数字码元序列以串行方式一个码元接一个码元地在一条信道上传输。

b.串行传输的特点

优点:只需一条通信信道,所需线路铺设费用低。

缺点:速度慢,需外加同步措施以解决收、发双方码组或字符的同步问题。

c.串行传输的示意图

图1-5 串行传输

d.串行传输的应用

应用于远距离数字传输通信。

四、信息及其度量

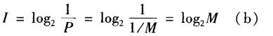
1 信息量的定义

假设P(x)表示消息发生的概率,I表示消息中所含的信息量,则消息x所含的信息量为

2.信息量的单位

信息量单位和公式(1-1-1)中对数的底a有关。

(1)比特单位

若a=2,则信息量的单位为比特(bit),简记为b。

通常广泛使用的单位为比特,这时有

(2)奈特单位

若a=e,则信息量的单位为奈特(nat)。

(3)哈特莱单位

若a=10,则信息量的单位为哈特莱(Hartley)。

3.信息量的计算

(1)等概率离散信号信息量

对于离散信源,M个波形等概率(P=1/M)发送,且每一个波形的出现是独立的,即信源是无记忆的,则传送M进制波形之一的信息量为

(2)非等概率离散信号信息量

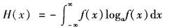
①信息源的熵的定义

设离散信源是一个由M个符号组成的集合,其中每个符号x i (i=1,2,3,…,M)按一定的概率P(x i )独立出现。则平均信息量为

②信息源的熵的性质

当P(x i )=1/M(每个符号等概率独立出现)时,信源的熵有最大值。

(3)连续信号信息量

假设f(x)为连续消息出现的概率密度,则连续消息的平均信息量为

五、通信系统主要性能指标

1 有效性

(1)有效性的定义

有效性是指传输一定信息量所占用的频带宽度,即频带利用率。

(2)有效性的度量

①模拟通信系统中的度量

传输同样的信源信号,所需的传输带宽越小,频带利用率越高,有效性越好。

②数字通信系统中的度量

a.频带利用率

频带利用率是单位带宽(每赫)内的传输速率,即

b.码元传输速率R B

码元传输速率是单位时间(每秒)传输码元的数目,单位为波特(Baud),简称传码率。

c.信息传输速率R b

信息传输速率是单位时间内传输的平均信息量,单位为比特/秒(b/s),简称传信率。

2.可靠性

(1)可靠性的定义

可靠性是指传输信息的准确程度。

(2)可靠性的度量

①模拟通信系统中的度量

通常用接收端输出信号与噪声功率比(S/N)来度量,它反映了信号经传输后的“保真”程度和抗噪声能力。

②数字通信系统中的度量

a.误码率P e

误码率是指错误接收的码元数在传输总码元数中所占的比例,即

b.误信率P b

误信率是指错误接收的比特数在传输总比特数中所占的比例,又称误比特率,即 ChQqH6i6A5wMgBvpglprKtC/VYB+3+Ea4gvbxYgCBqz9gUpTm+VldKdVovKFG9FG

点击中间区域
呼出菜单
上一章
目录
下一章
×