购买
下载掌阅APP,畅读海量书库
立即打开
畅读海量书库
扫码下载掌阅APP

4.3 名校考研真题详解

一、填空题

1 若要使确定信号不失真地通过线性系统,则此系统要满足______条件。 [北科2010研]

【答案】 H( )=

【解析】 信号经过信道不失真,信道要满足理想信道特性条件:幅频特性为一条水平线,相频特性是一条通过原点的直线,即H( )=

2 信号通过随参信道多径传播,当信号带宽超过多径传播的最大时延差引起的相关带宽时,会产生______衰落。 [北科2010研]

【答案】 频率选择性

【解析】 当通过随参信道传输的信号带宽大于多径信道相干带宽时,信号的不同频率分量受到不同程度的衰落,使信号受到频率选择性衰落,会引起码间干扰。当信号的带宽远小于信道的相干带宽时,信号的频率分量通过信道传输所受到的衰落相同,信号受到平坦性衰落。

3 香农信道容量公式 是在______条件下推导得到的。[北科2010研]

【答案】 限时限频限功率的连续高斯白噪声信道

【解析】 对于带宽受限、平均功率有限的高斯白噪声连续信道,可推导出香农信道容量公式

4 由电缆、光线、卫星中继等传输媒质构成的信道是______信道,由电离层反射、对流层散射等传输媒质构成的信道是______信道。 [北科2010研;南邮2010研]

【答案】 恒参;随参

【解析】 由电缆、光纤、卫星中继等传输媒质构成的信道随环境变化很小,比较稳定,为恒参信道;而由电流层反射、对流层散射等传输媒质的性质随机变化,且电磁波信号的多径传输使得信道特性随时间随机变化,属于随参信道。

5 若信源的信息速率 ______ 信道容量,则存在一种编码方式,可保证通过该信道传送信息的差错率任意小。反之,若信源的信息速率 ______ 信道容量,则对于任何编码,传送的差错率都将大于某个不为零的正值。 [北邮2006研]

【答案】 小于;大于

二、判断题

1 有线信道属于恒参信道,又称时不变信道。(  ) [南邮2011研]

【答案】

2 在随参信道中,为了使信号基本不受频率选择性衰落的影响,要求信号的带宽大于多径衰落信道的相关带宽。(  ) [南邮2010、2009研]

【答案】

3 无线移动通信信道中运动的速度越大和波长越大,引入的多普勒效应就越大。(  ) [南邮2011研]

【答案】

【解析】 多普勒效应的产生是以相对运动为前提,而不是绝对速度。

4 如果符号的间隔小于无线信道的相干时间,则该信道属于时间选择信道。(  ) [南邮2011研]

【答案】

【解析】 符号的间隔小于无线信道的相干时间等价于带宽大于相关带宽,属于频率选择信道。时间选择是由于多普勒效应产生的,和相干时间不是一个概念。

三、选择题

1 恒参信道传输特性的不理想会引起信号的(  )失真和(  )失真。 [南邮2009研]

A.高频,低频

B.幅频,相频

C.低频,相位

D.码间,频率

【答案】 B

【解析】 恒参信道传输性不理想,则|H(ω)|≠K表示信号中不同频率分量分别受到信道不同的衰减,引起幅频失真;τ(ω)≠t d 表示信号中不同频率分量分别受到信道不同的时延,引起相频失真。

2 下列选项中(  )与无线通信中的多径现象无关。 [南邮2010、2009研]

A.码间干扰

B.门限效应

C.频率选择性衰落

D.瑞利衰落

【答案】 B

【解析】 多径效应由信道的时间色散引起:信号经过反射、散射等不同路径的传输,于不同的时刻到达接收端,从而形成多径效应。①多径效应会使数字信号的码间串扰增大。②多径时域上的色散在频域上表现为相干带宽,即会产生频率选择性衰落。③在无线通信信道环境中,电磁波经过反射折射散射等多条路径传播到达接收机后,总信号的强度服从瑞利分布。同时由于接收机的移动及其他原因,信号强度和相位等特性又在起伏变化,故称为瑞利衰落。因此,瑞利衰落与多径有关。当输入信噪比低于一定数值时,解调器输出信噪比急剧恶化,这种现象称为门限效应,与多径现象无关。

四、简答题

1 什么是二进制编码信道?画出示意图并写出误码率公式。 [南邮2011研]

答: 以二进制为编码进制的信道称为二进制编码信道。示意图如图4-1所示。

图4-1

其中, 是正确转移的概率,而 是错误转移的概率。

误码率公式为

2.简述分集接收的原理,并给出不同支路信号合并的主要方式。 [北京科技大学2011研]

答: (1)分集接收,是指接收端对它收到的多个衰落特性互相独立(携带同一信息)的信号进行特定处理的一种方法,它不仅可以降低发射功率,而且可以降低信号电平起伏。

分集的基本原理是通过多个信道(时间、频率或者空间)接收到承载相同信息的多个副本,由于多个信道的传输特性不同,信号多个副本的衰落就不会相同。接收机使用多个副本包含的信息能比较正确的恢复出原发送信号。

(2)不同支路信号合并的主要方式

①选择性合并:选择性合并是检测所有分集支路的信号,以选择其中信噪比最高的那一支路的信号作为合并器的输出。

②最大比值合并:最大比值合并是一种最佳合并方式,它对多路信号进行同相加权合并,权重是由各支路信号所对应的信号功率与噪声功率的比值所决定的,最大比值合并的输出SNR等于各路SNR之和。

③等增益合并:等增益合并无需对信号加权,各支路的信号是等增益相加的。

五、计算、证明题

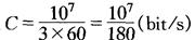
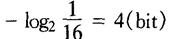
1 某一待传输的图片约含2.5×10 6 个像素,为了很好地重现图片,需要将每个像素量化为16个亮度电平之一,假若所有这些亮度电平等概出现且互不相干,并设加性高斯噪声信道中的信噪比为30dB,试计算用3min传送一张这样的图片所需的最小信道带宽(假设不压缩编码)。 [哈尔滨工业大学2007研]

解: 由题可知,每个像素的信息量为

故一张图片的信息量为

3min传送一张图片所需的信道容量为

又已知信道中信噪功率比为30dB,即 。所以由香农公式

从中可求得

B=5.57kHz

2 写出高斯噪声条件下,香农信道容量公式,且:

(1)证明当信号功率与噪声功率谱密度n 0 一定时,无限增大信号带宽,信道容量趋于一定值;

(2)带宽与信噪比的互换含义是什么,以调制信号为例加以说明。[北科2006;南京大学2010研]

解: 由香农公式

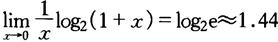
(1)其他值都一定,当B→∞时有

其中利用了关系式

所以当信号功率与噪声功率谱密度n 0 一定时,无限增大信号带宽,信道容量趋于一定值。

(2)带宽与信噪比的互换含义:减小带宽,同时提高信噪比可以维持原来的信道容量。在调制信号中,如果信噪比一定,增加带宽可以增加信道容量,但同时可能造成信噪比下降。 ChQqH6i6A5wMgBvpglprKtC/VYB+3+Ea4gvbxYgCBqz9gUpTm+VldKdVovKFG9FG

点击中间区域
呼出菜单
上一章
目录
下一章
×