购买
下载掌阅APP,畅读海量书库
立即打开
畅读海量书库
扫码下载掌阅APP

4.1 复习笔记

一、无线信道

无线信道中信号的传输是利用电磁波在空间的传播来实现。

1.电磁波的传播分类

分类标准:根据通信距离、频率和位置的不同分类。

(1)地波传播

①定义

地波传播是频率较低(约2MHz以下)的电磁波趋于沿弯曲的地球表面传播,有一定的绕射能力的传播方式。

②传播图

图4-1 地波传播

③传播距离

在低频和甚低频段,地波能够传播超过数百千米或数千千米。

(2)天波传播

①定义

天波传播是频率较高(2MHz~30MHz)的电磁波利用电离层反射的传播方式。

②传播图

图4-2 天波传播

③传播距离

电磁波经电离层的多次反射,传播距离可达10000km以上。

(3)视线传播

①定义

视线传播是频率高于30MHz的电磁波类似光波传播,不具有绕射能力的传播方式。

②传播图

图4-3 视线传播

③收发天线距离计算

设收发天线的高度均为h,则

式中,D为收发天线间距离(km)。

④局限

视线传播的传播距离有限。

⑤解决方案

a.无线电中继通信:经过多次转发,实现远程通信。

b.卫星通信:提高天线高度,视线传输距离变大。

(4)散射传播

①定义

散射传播是利用大气层中传播媒介的不均匀性对无线电波的散射作用进行的超短波,微波超视距传播的一种传播方式。

②分类

a.电离层散射

由于电离层的不均匀性,使30MHz~60MHz频段入射的电磁波产生散射现象。

b.对流层散射

由于对流层中的大气不均匀性,使100MHz~4000MHz频段入射的电磁波产生散射现象。

c.流星余迹散射

定义:由于流星经过大气层时产生的很强的电离余迹,使30MHz~100MHz频段入射的电磁波产生散射现象。

应用:只用于低速存储、高速突发的断续方式传输数据。

③特点

a.利用传播媒体的不均匀性;

b.散射信号的能量分散于许多方向;

c.接收点散射信号的强度小。

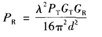
2.电磁波的接收功率

式中,P T 为发射功率;G T 为发射天线增益;G R 为接收天线增益;d为传播距离;λ为电磁波的波长(m)。

3.电磁波的传播损耗

(1)定义

传播损耗是发射机输出功率与接收机输入功率之比。

(2)计算

式中,L fr 为自由空间传播损耗;P T 为发射机输出功率(W);P R 为接收机输入功率(W);d为距离(m);λ为波长(m)。

二、有线信道

1 有线信道的传输方式

有线信道利用人造的传导电或光信号的媒体来传输信号。

2.有线信道的分类

(1)明线

①定义

明线是指平行架设在电线杆上的架空线路,本身是导电裸线或带绝缘层的导线。

②特点

a.传输损耗低;

b.易受天气和环境的影响;

c.对外界噪声干扰较敏感;

d.架设大量复杂线路难以实现。

(2)对称电缆

①定义

对称电缆是由若干对叫做芯线的双导线放在一根保护套内制造成的电缆。

②设计

a.设计实现

将每一对导线都做成扭绞形状,如图4-4所示:

图4-4 双绞线

b.设计目的

减小各对导线之间的干扰。

③特点

a.芯线比明线细;

b.损耗较明线大;

c.性能较稳定;

d.能广泛用于用户接入电路。

(3)同轴电缆

①定义

同轴电缆是由内外两根同心圆柱形导体构成,在这两根导体间用绝缘体隔离开的电缆。

②结构

图4-5 实心介质同轴线

内导体为实心导线,外导体是一根空心导电管或金属编织网,外导体外面为一层绝缘保护层,内外导体间填充实心介质材料,或用空气作介质。

③特点

a.很好的电屏蔽作用;

b.广泛应用于有线电视广播。

(4)光纤

①定义

光纤是可以传输光信号的光导纤维。

②结构

光纤是由折射率不同的两种导光介质纤维制成的。其内层称为纤芯,在纤芯外的另一种折射率的介质,称为包层。其结构如图4-6所示。

图4-6 光纤结构示意图

③分类

a.阶跃型光纤

阶跃型光纤是折射率在两种介质内均匀不变,仅在边界处发生突变的光纤。

b.梯度型光纤

梯度型光纤是纤芯折射率沿半径增大方向逐渐减小,光波的传输路径因折射而逐渐弯曲的光纤。

④信号传输原理

由于纤芯的折射率n 1 比包层的折射率n 2 大,光波在两层的边界处产生全反射,经多次反射可实现远距离传输。

⑤信号传输模式分类

a.单模光纤

单模光纤是指传播一种模式的光纤。

b.多模光纤

多模光纤是指可以传输多种模式的光纤。传输过程中会产生色散:

材料色散:由材料的折射率随频率变化产生。

模式色散:由不同模式的光波的群速不同引起。

波导色散:由不同频率分量的光波的群速不同引起。

⑥光纤损耗

a.光纤损耗的最小值

图4-7 光纤损耗与光波波长的关系

由图可见,在1.31μm和1.55μm波长上出现两个损耗最小点。

b.最小光纤损耗的意义

将光波的波长选择在光纤传输损耗最小的波长上,使光波在光纤传输时受到最小的衰减,以便传输尽量远的距离。

三、信道的数学模型

1 调制信道模型

(1)数学表示式

式中,e i (t)为信道输入端信号电压;e o (t)为信道输出端的信号电压;n(t)为噪声电压。

(2)数学模型图

图4-8 调制信道数学模型

(3)分类

①随参信道

定义:随参信道是信号失真可能随时间作随机变化,特性随机变化的信道。

用例:无线电中继和卫星通信等视线传播信道。

②恒参信道

定义:恒参信道是特性基本上不随时间变化,或变化极慢极小的信道。

用例:其他无线通信。

(4)失真

①失真的原因

乘性干扰k(t)和加性干扰n(t)对信号产生的影响导致信号的失真。

②失真的类型

线性失真、非线性失真、时间延迟以及衰减等。

2.编码信道模型

(1)编码信道的模型

对于二进制编码,信道模型为

图4-9 二进制编码信道模型

(2)编码信道的特性

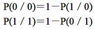
用转移概率来描述编码信道的特性。

①正确转移概率

正确转移概率是P(0/0)和P(1/1)。

②错误传输概率

P(1/0)是发送“0”而接收“1”的概率;

P(0/1)是发送“1”而接收“0”的概率。

③转移概率的计算

(3)编码信道的特点

①输入和输出信号是数字序列;

②误差来源于传输序列中的数字发生错误;

③转移概率取决于调制信道是否理想。

四、信道特性对信号传输的影响

1 无失真传输要求

(1)振幅-频率特性要求

振幅特性与频率无关,即其振幅-频率特性曲线是一条水平直线。

(2)相位-频率特性要求

相位特性是一条通过原点的直线,或其传输群时延(即系统在某频率处的相位对频率的变化率)与频率无关,等于常数。

2.失真

(1)线性失真

①频率失真

a.定义:频率失真是指信道的振幅-频率特性曲线不满足呈一条理想水平直线而引起的失真。

b.影响:使模拟信号的波形产生畸变。在传输数字信号时,造成码间串扰。

c.补偿措施:用一个线性网络进行补偿,使其频率特性与信道的频率特性之和在信号频谱占用的频带内为一条水平直线。

②相位失真

a.定义:相位失真是由信道的相位特性不满足群时延为常数的理想特性而引起的失真。

b.影响:相位失真对于数字信号的传输影响很大,引起码间串扰,使误码率增大。

c.补偿措施:用一个线性网络进行补偿。

(2)非线性失真

①定义

非线性失真是指信道输入和输出信号的振幅关系不是直线关系的失真。

②分类

a.谐波失真

定义:非线性特性使信号产生新的谐波分量。

产生原因:由信道中的元器件特性不理想造成。

b.频率偏移失真

定义:信道输入信号的频谱经过信道传输后产生了平移。

产生原因:由发送端和接收端中用于调制解调或频率变换的振荡器的频率误差引起。

c.相位抖动失真

定义:信道输入信号的相位谱经过信道传输不稳定。

产生原因:由振荡器的频率不稳定产生。

③特性图

图4-10 非线性特性

(3)衰落

①衰落的定义

衰落是指信号的包络因传播而产生起伏变化的现象。

②衰落的分类

快衰落:由多径效应引起的衰落。

慢衰落:由于移动台的不断运动,电波传播路径地形地貌的不断变化,路径上季节、日夜、天气等的变化使得衰落的起伏周期较长的一种衰落。

频率选择性衰落:衰落和频率有关,不同频段上衰落特性不一样,当频率超过相干带宽时发生频率选择性衰落。

(4)多径效应

①产生原因

信号经过几条路径到达接收端,而且每条路径的长度(时延)和衰减都随时间而变。

②产生影响

使数字信号的码间串扰增大。

③解决措施

降低码元传输速率以减小码间串扰的影响。

3.经过信道传输后的数字信号

(1)确知信号

确知信号是指接收端能够准确知道其码元波形的信号。

(2)随机相位信号

随机相位信号是指相位由于传输时延的不确定而带有随机性,使接收码元的相位随机变化的信号。

(3)起伏信号

起伏信号是指包络随机起伏、相位也随机变化的接收信号。

五、信道中的噪声

1 噪声的定义

噪声是指信道中存在的不需要的电信号。

2.噪声的影响

噪声是一种加性干扰,会使模拟信号失真,数字信号发生错码,并限制信息的传输速率。

3.噪声的分类

(1)按照来源分类

①人为噪声

人为噪声是由人类的活动产生的噪声。

②自然噪声

a.定义

自然噪声是自然界中存在的各种电磁波辐射。

b.特例-热噪声

定义:是指来自一切电阻性元器件中电子的热运动的噪声。

特点:频谱均匀分布,统计特性服从高斯分布,又称高斯白噪声。

(2)按照性质分类

①脉冲噪声:突发性地产生,幅度很大,其持续时间比间隔时间短得多,频谱较宽,频率越高其频谱的强度越小。

②窄带噪声:看作是一种非所需的连续的已调正弦波,或振幅恒定的单一频率的正弦波。

③起伏噪声:遍布在时域和频域内的随机噪声。

六、信道容量

1 信道容量的定义

信道容量是指信道能够传输的最大平均信息速率。

2.离散信道容量

(1)离散信道容量C

式中, 为每个发送符号x i 的平均信息量,称为信源的熵; 为接收符号y i 已知后,发送符号x i 的平均信息量。

(2)离散信道容量

式中,r为单位时间内信道传输的符号数,单位:(符号/s); 单位:(b/s)。

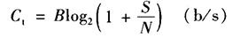
3.连续信道容量

(1)信道容量表达式

对于带宽有限、平均功率有限的高斯白噪声连续信道,其信道容量为

式中,S为信号平均功率(w);N为噪声功率(w);B为带宽(Hz)。

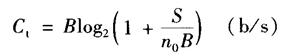
当噪声单边功率谱密度为n 0 时,信道容量为

(2)信道容量增大的方法

①增大信号功率S;

②减小噪声功率谱密度n 0 ChQqH6i6A5wMgBvpglprKtC/VYB+3+Ea4gvbxYgCBqz9gUpTm+VldKdVovKFG9FG

点击中间区域
呼出菜单
上一章
目录
下一章
×