购买
下载掌阅APP,畅读海量书库
立即打开
畅读海量书库
扫码下载掌阅APP

三、全能突破

基础演练

1.下列化合物不属于有机物的是(  )。

A.CH 3 CH 2 OH

B.CH 3 COOH

C.CH 3 COOCH 3

D.CO 2

2.下列原子或原子团不属于官能团的是(  )。

A.CH 3 CH 2

B.—F

C.—OH

D.

3.按碳的骨架分类,下列说法正确的是(  )。

A.CH 3 CH(CH 3 2 属于链状化合物

B. 属于芳香化合物

C. 属于脂环化合物

D. 属于芳香化合物

4.下列说法正确的是(  )。

A.羟基跟链烃基直接相连的化合物属于醇类

B.含有羟基的化合物属于醇类

C.酚类和醇类具有相同的官能团,因而具有相同的化学性质

D.分子内含有苯环和羟基的化合物都属于酚类

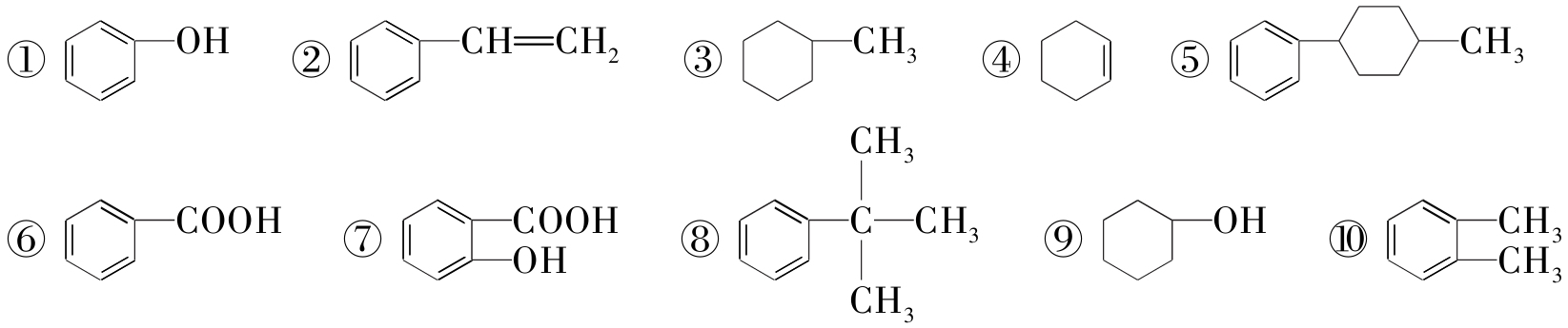
5.下列物质属于酚类的是(  )。

6.对下列有机物进行分类。

(1)属于芳香化合物的是__________。

(2)属于芳香烃的是__________。

(3)属于苯的同系物的是__________。

能力提升

7.某有机物的结构简式为CH 2 ==CHCOOH,它含有的官能团正确的是(  )。

A.③④

B.②③④

C.①②④

D.①②③④

8.警察常从案发现场的人体气味来获取有用线索,人体气味的成分中含有以下化合物:①辛酸;②壬酸;③环十二醇;④5,9-十一烷酸内酯;⑤十八烷;⑥己醛;⑦庚醛。下列说法正确的是(  )。

A.①、②、⑥、⑦分子中碳原子数小于10,③、④、⑤分子中碳原子数大于10

B.①、②是无机物,③、⑤、⑦是有机物

C.①、②、⑥、⑦均是酸性化合物

D.②、③、④含氧元素,⑤、⑥、⑦不含氧元素

9.已知维生素A的结构简式如下所示,关于它的说法正确的是(  )。

A.维生素A是一种酚

B.维生素A具有环己烷的结构单元

C.维生素A的一个分子中有3个双键

D.维生素A的一个分子中有30个氢原子

10.下列关于(CH 3 CH 2 2 CHCH 3 的系统命名正确的是(  )。

A.2-乙基丁烷

B.2-甲基戊烷

C.3-甲基戊烷

D.3-乙基丁烷

11.某烷烃的结构简式为 ,它的正确命名应是(  )。

A.2-甲基-3-丙基戊烷

B.3-异丙基己烷

C.2-甲基-3-乙基己烷

D.5-甲基-4-乙基己烷

12.辛烷值常用来表示汽油的质量,汽油中异辛烷的爆震程度最小,一般将其辛烷值标定为100。图1-1-3所示为异辛烷分子的球棍模型,则异辛烷的系统命名为(  )。

图1-1-3

A.1,1,3,3-四甲基丁烷

B.2,2,4-三甲基戊烷

C.2,4,4-三甲基戊烷

D.2,3,4-三甲基戊烷

13.按系统命名法,下列烃的命名一定错误的是(  )。

A.2,2,3-三甲基-4-乙基己烷

B.2-甲基-3-乙基己烷

C.2-甲基-4-乙基己烷

D.1-甲基-2-乙基庚烷

14.某有机物的结构简式为 ,其名称正确的是(  )。

A.5-乙基-2-己烯

B.3-甲基庚烯

C.3-甲基-5-庚烯

D.5-甲基-2-庚烯

15.结构简式为 的化合物正确的命名是(  )。

A.3,4-二甲基-2,3-戊二烯

B.2,3-二甲基-2,4-戊二烯

C.2,3-二甲基-1,3-戊二烯

D.2,3-二甲基-2,3-戊二烯

16.下列系统命名正确的是(  )。

A.2-甲基-4-乙基戊烷

B.2,3-二乙基-1-戊烯

C.2-甲基-3-丁炔

D.对二甲苯

17.下列有机物的命名正确的是(  )。

18.下列有机物的命名正确的是(  )。

A.二溴乙烷:H 2 CBrCH 2 Br

B.3-乙基-1-丁烯:H 2 C==CHCH(CH 3 )CH 2 CH 3

C.2-甲基-2,4-己二烯:(CH 3 2 C==CHCH==CHCH 3

D.2,2,3-三甲基戊烷:(CH 3 3 CCH 2 CH(CH 3 2

19.根据要求对下列物质进行分类。

A.CH 3 CH==CHC(CH 3 3

B.CH 2 ICH==CHCH 2 I

C.

D.HOCH 2 CH==CHCH 2 COOH

(1)属于烃的是_____。

(2)属于卤代烃的是_____。

(3)既属于醛又属于酚的是_____。

(4)既属于醇又属于羧酸的是_____。

20.按要求填空。

(1)对下列物质进行命名。

CH 3 CH 2 CH(CH 3 )CH 2 CH(CH 2 CH 3 2 :_____。

CH 3 CH==CHCH(CH 3 )CH 2 CH 3 :_____。

CH≡≡CCH 2 CH 2 CH(CH 3 )CH 2 CH 3 :_____。

(2)写出下列物质的结构简式。

2,4,6-三甲基辛烷:__________。

1,3-丁二烯:__________。

3,4-二甲基-1-戊炔:__________。

1,3,5-三甲苯:__________。

21.有9种微粒:①NH 2 - ;②—NH 2 ;③Br - ;④OH - ;⑤—NO 2 ;⑥—OH;⑦NO 2 ;⑧CH 3 + ;⑨—CH 3

(1)上述9种微粒中,属于官能团的有_____(填数字序号)。

(2)其中能跟—C 2 H 5 结合生成有机物分子的微粒有_____(填数字序号)。

(3)其中能跟C 2 H 5 + 结合生成有机物分子的微粒有_____(填数字序号)。

高考链接

22. (安徽) 北京奥运会期间对大量盆栽鲜花施用了S-诱抗素制剂,以保证鲜花盛开,S-诱抗素的分子结构为 (提示: )。下列关于该分子的说法正确的是(  )。

A.含有碳碳双键、羟基、羰基、羧基

B.含有苯环、羟基、羰基、羧基

C.含有羟基、羰基、羧基、酯基

D.含有碳碳双键、苯环、羟基、羰基

23. (上海改编) 根据有机化合物的命名原则,下列命名正确的是(  )。

巅峰突破

24.已知 可简写为 。降冰片烯的分子结构可表示为

(1)降冰片烯属于_____。

A.环烃

B.不饱和烃

C.烷烃

D.芳香烃

(2)降冰片烯的分子式为_____。

(3)降冰片烯不具有的性质是(  )。

A.能溶于水

B.能发生氧化反应

C.能发生加成反应

D.常温常压下为气体

25.下列有机化合物中,有多个官能团。

(1)可以看作醇类的是_____。

(2)可以看作酚类的是_____。

(3)可以看作羧酸类的是_____。

(4)可以看作酯类的是_____。 Hyf5chhgubqxSIYFhJt4dzs87f018BdUa1S599N/4hIBi2fPZujpzRKUAaNYnM7y

点击中间区域
呼出菜单
上一章
目录
下一章
×