购买
下载掌阅APP,畅读海量书库
立即打开
畅读海量书库
扫码下载掌阅APP

二、核心纲要

(一)有机化合物的成键特点

1.碳原子的成键特点。

(1)每个碳原子能与其他原子形成四个共价键。

(2)碳原子之间的结合方式有链状(碳碳单键、碳碳双键和碳碳三键)和环状两种。

2.其他原子的成键特点。

(1)每个氢、卤原子能形成一个共价键。

(2)每个氧原子能形成两个共价键。

(3)每个氮原子能形成三个共价键。

3.几种常见描述有机物的化学用语(以丙烯为例)如表1-2-1所示。

表1-2-1

【注意】

① 将碳、氢元素符号省略,只表示分子中键的连接情况,每个拐点或终点均表示有一个碳原子,称为键线式。

② 只忽略C—H键,其余的化学键不能忽略。

③ 碳、氢原子不标注,其余原子必须标注(含羟基、醛基和羧基中氢原子)。

(二)同分异构现象和同分异构体

1.同分异构现象和同分异构体的概念。

(1)同分异构现象:化合物具有相同的分子式,但具有不同结构的现象,叫作同分异构现象。

(2)同分异构体:具有同分异构现象的化合物互为同分异构体。

精华点拨

同系物、同分异构体、同素异形体和同位素的比较如表1-2-2所示。

表1-2-2

【注意】

① 最简式相同的化合物不一定是同分异构体。例如,HCHO、CH 3 COOH、HCOOCH 3 、C 6 H 12 O 6 的最简式相同,但分子式不同。

② 同分异构现象在有机化合物中广泛存在,在某些无机化合物中也存在,如CO(NH 2 2 和NH 4 OCN、HOCN(氰酸)和HNCO(异氰酸)。

③ 同分异构体之间的化学性质可能相似也可能不相似,但它们的物理性质一定不同。各同分异构体中,分子里支链越多,熔、沸点一般越低。

2.同分异构体的种类。

(1)碳链异构:由于碳原子的连接次序不同而引起的异构现象,如 和CH 3 CH 2 CH 2 CH 3

(2)官能团位置异构:在相同碳链上由于官能团的位置不同而引起的异构现象,如H 3 C—CH 2 —CH==CH 2 和H 3 C—CH==CH—CH 3

(3)官能团类别异构:由于官能团的不同而引起的异构现象,如单烯烃与环烷烃,二烯烃、炔烃与环烯烃,醇与醚,酚与芳香醇或芳香醚,醛与酮,羧酸与酯,硝基化合物与氨基酸,葡萄糖与果糖,蔗糖与麦芽糖等。

(4)顺反异构(在第二章中的脂肪烃中会具体讲)。

3.同分异构体的书写顺序:官能团异构(类别异构)——碳链异构——位置异构。

(1)取代法。该法的实质是将同分异构体看作是由官能团取代烃中的不同氢而形成的。该法适合于卤代烃、醇、醛和羧酸等有机物同分异构体的书写。

① 书写时首先写出有机物的碳链结构。

② 利用等效氢规律判断可以被取代的氢的种类,一般有几种等效氢就有几种取代位置,也就有几种同分异构体。

等效氢规律如下。

a.同一个碳原子上的氢原子属于等效氢原子。例如, 分子中—CH 3 上的3个氢原子是等效氢原子。

b.同一分子中处于轴对称位置或镜面对称位置上的氢原子属于等效氢原子。例如, 分子中有两种等效氢原子,即甲基上的氢原子和苯环上的氢原子。

c.同一个碳原子上相同取代基上的氢原子属于等效氢原子。例如, 分子中有两种等效氢原子。

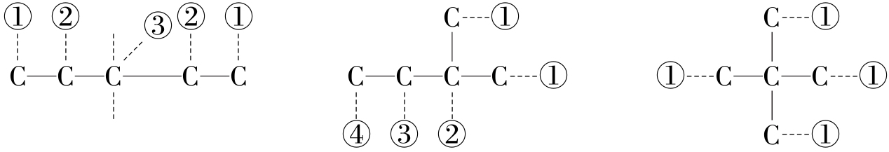
【例1-2-1】 写出分子式为C 5 H 12 O的醇的同分异构体。

【解析】 (1)先不考虑羟基,写出烷烃C 5 H 12 的同分异构体,共有3种碳链结构(H已省略):

(2)利用等效氢规律,判断各种碳链结构中可被取代的氢的种数(序号相同的是等效氢)。

(3)用—OH取代不同种H,得到醇的各种同分异构体。

所以,C 5 H 12 O的醇的同分异构体共有8种。

(2)插入法。该法适合于酯、醚、酮、烯、炔等官能团镶在碳链中的有机物同分异构体的书写。方法是先将官能团拿出,然后写出剩余部分的碳链结构,再利用对称规律找出可插入官能团的位置,将官能团插入。对称位置不可重复插入。

【例1-2-2】 写出分子式为C 5 H 10 O 2 属于酯的同分异构体。

【解析】 (1)将酯基 拿出后,剩余部分有两种碳链结构:

(2)利用对称规律可判断出各种碳链结构中的可插入位置。注意, 不仅可插在C—C键间,也可插在C—H键间形成甲酸酯。

(3)将 插入。注意,酯基在C—C键间插入时可正反插入,但对称结构处将重复。例如, 中①位置就是对称点,正反插入时重复(H已省略,下同):

而在②位置正反插入时,得两种酯

(4)将 插在C—H键间时,只能是 中C连H,不可O连H,否则成酸。例如, 是酸,而 是甲酸丁酯。

如果这个方法用得不顺利,我们可以用分碳的方法来进行,就是总共有5个碳的酯,所以酸1醇4、酸2醇3、酸3醇2、酸4醇1,这样可能会更方便。

(3)烃基法。卤代烃、醇、醛、酸等类烃的衍生物,均可表示为R—A(R为烃基,A为官能团或指定原子团)的形式,则其同分异构体就是烃基—R变化造成的,烃基—R的种数即为其同分异构体数。因此,凡是可看成R—A形式的有机物同分异构体,只要考虑烃基—R的种数即可。

【例1-2-3】 写出对位上有—C 4 H 9 的苯胺的可能有的同分异构体。

【解析】 据题意,可把 作为一个指定原子团,属于连接到烃基上的一类。因为丁基—C 4 H 9 共有4种,即—CH 2 CH 2 CH 2 CH 3 ,故对位上有—C 4 H 9 的苯胺同分异构体共有4种。

(4)定一议二法。含有两个或两个以上取代基的同分异构体书写,若只凭想象写很容易造成重、漏现象。

① 将所有取代基拿下,分析母体对称性,找出被一个取代基取代的产物种类。

② 分析各种一取代物的对称性,看第二个取代基可进入的位置……直至全部取代基都代入。

【例1-2-4】 有一化合物萘( ),若其两个H原子被一个Cl原子和一个—NO 2 取代,试写出所得到的同分异构体的结构简式。

【解析】 (1)分析萘分子结构的对称性:

可见萘的一取代位置有两个,所以一氯(或一硝基)取代物有两种:

(2)分析萘的一氯代物的对称性,发现均无对称关系,各有7个不同位置可代入—NO 2 ,所以其同分异构体共有14种(结构简式略)。

(5)等价代换法。等价代换法就是用相关联的等量关系或对应因子代替,进行推理分析或计算的方法,如果用以解答某些同分异构题,便会迅速得出结构。

【例1-2-5】 已知分子式为C 12 H 12 的物质A的结构简式为 ,A苯环上的二溴代物有9种同分异构体,由此推断A苯环上的四溴代物的同分异构体有几种?

【解析】 二溴代物的苯环上有两个Br、4个H;而四溴代物的苯环上连的是两个H、4个Br。若把二溴代物的H换成Br,Br换成H,恰好为四溴代物,故四溴代物的同分异构体也必有9种。

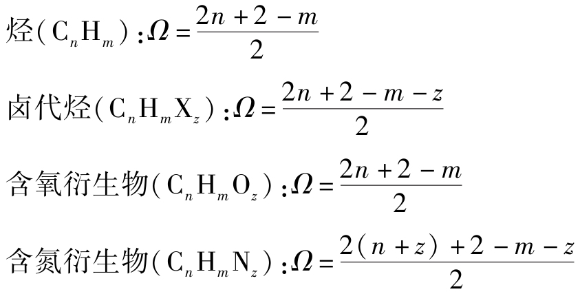
(6)不饱和度法。不饱和度( Ω )又称缺H指数,有机物每有一个不饱和度,就比相同碳原子数的烷烃少两个H原子,所以有机物每有一个环或一个双键( ),相当于有一个不饱和度,C≡≡C—相当于两个不饱和度, 相当于4个不饱和度。利用不饱和度可帮助推测有机物可能有的结构,写出其同分异构体。常用的计算公式如下。

精华点拨

不饱和度法往往是书写同分异构体的第一步,先根据分子式计算出不饱和度,再结合其他信息初步判断出结构中含有哪些官能团。

【例1-2-6】 某有机物的结构简式为 ,写出与该有机物互为同分异构体的属于芳香化合物的同分异构体的结构简式。

【解析】 该有机物的分子式为C 7 H 8 O,其不饱和度 Ω =4。芳香化合物中必有苯环,从C 7 H 8 O的组成看只能有一个苯环,因为一个苯环就有4个不饱和度,所以取代基中C、H、O都以单键相连。

若为酚,则有3种,即

若为醚,则只有一种,即

若为醇,则只有一种,即

所以,共有5种。 x3wO8EBxTzmQYeTvWh3HGBmBsbsizk+x7qpaNKM7KgyFIP+enM0zrwpLIbZ3goCf

点击中间区域
呼出菜单
上一章
目录
下一章
×