



沿 K ′的 x ′轴放置一根米尺,令其起点与点 x ′=0重合,终点与点 x ′=1重合。问米尺相对于参考系 K 的长度是多少?我们只要求出在参考系 K 的某一特定时刻 t 、米尺的起点和终点相对于 K 的位置,就会知道这个长度。借助于洛伦兹变换第一方程,该两点在 t =0的时刻其值表示为
x
(米尺始端)=
x
(米尺始端)=
两点间的距离为
但米尺以速度
v
相对于
K
移动。因此,沿本身长度方向以速度
v
移动的刚性米尺的长度为
米,因而刚性米尺在运动时比静止时短,而且进行越快运动的刚性米尺就越短。当速度
v
=
c
,我们就有
,对于比这更大的速度,平方根就变为虚值,由此的结论为:在相对论中,速度
c
的意义为极限速度,任何实在的物体既不能达到也不能超出它。
当然,作为极限速度的速度 c 的这个特性也可以从洛伦兹变换方程中看到,如果选取了大于 c 的 v 值,这些方程就没有意义。
反之,如果所思考的是静止在
x
轴上,相对于
K
的一根米尺,我们就应发现,当从
K
′去判断时,米尺的长度是
,这与我们进行考察的基础,即相对性原理完全吻合。
从先验的观点来看,我们一定能够认识到变换方程中量杆和钟的物理行为,因为 z、y、x、t 的值正是借助量杆和钟所获得的测量结果。如果我们以伽利略变换为基础进行考虑,就不会得出量杆因运动而收缩的结果。
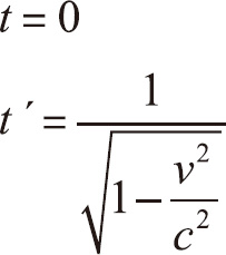
假设我们现在考虑放在 K ′的原点( x ′=0)上一个永久不变的秒钟。 t ′=0和 t ′=1对应于该钟的两滴答声。对于这两滴答声响,洛伦兹变换第一和第四方程式给出:
由
K
判断,该钟以速度
v
运动;由参考物体判断,该钟在两次滴答声之间所经过的时间不是1秒,而是比1秒钟长一些的
秒。由此可看出,该钟在静止时比运动时走得快一点。速度
c
在此的意义上也是一种不可达到的极限速度。
在同一时刻,同一物体的坐标从一个坐标系变换到另一个坐标系,叫做“坐标变换”。联系这两组坐标的方程,叫做“坐标变换方程”。
设两个惯性参考系 S 和 S ′,参考系 S ′,设时刻 t = t ′=0时,两坐标系的坐标原点 O 与 O ′重合,则某一时点 P 的坐标变换方程是:
这叫做“伽利略坐标变换方程”。
这个变换方程已经对时间、空间性质作了某些假定。这些假定主要有两条:
第一,假定了时间对于一切参考系都是相同的,即假定存在着与任何具体参考系的运动状态无关的同一的时间,表现为 t = t ′。既然时间是不变的,那么,时间间隔在一切参考系中也都是相同的,即时间间隔与参考系的运动状态无关。时间是用钟测量的数值,这相当于假定存在不受运动状态影响的时钟。
第二,假定了在任一确定时刻,空间两点间的长度对于一切参考系都是相同的,也就是假定空间长度与任何具体参考系的运动状态无关。
经典力学时空观(绝对时空观) 牛顿说:“绝对的、真正的和数学的时间,就其本质而言,是永远均匀地流逝着,与任何外界事物无关。”“绝对空间,就其本质而言,是与任何外界事物无关的,它永远不动、永远不变。”
按照这种观点,时间和空间是彼此独立的,互不相关,并且不受物质和运动的影响。这种绝对时间可以形象地比拟为独立的不断流逝着的水;绝对空间可比拟为能容纳宇宙万物的一个无形的、永不动的容器。
伽利略变换是绝对时空观的数学表述。
伽利略速度变换法则:
加速度变换关系为:
在所有惯性系中,加速度是不变量。
12世纪,金人入侵中原,苏颂古钟被毁,中国传统制表技术辗转流传。蒙古人入主中土后,仅让占星术继续发展,以保国运,其余所有关系的学问,都一概漠然置之。
16世纪中叶,最早一批从欧洲传到中国的时钟,由耶稣会教士引入。他们以传扬基督信仰,建立天国为职志,借着传扬西方科学知识来达到宣教目的。1582年,第一个洋钟运入中国,并于同年12月27日献给两广总督陈瑞。
1601年,利玛窦神父到中国,向万历皇帝进贡一座有驱动坠的铁钟。它每小时发声四次;钟身置于木柜内,柜身刻有龙饰,以鹰嘴指示用汉字写成的时间刻字。利玛窦神父本人连同两位本地工匠造了一个铜钟,可以每隔两小时 (一更) 报时一次。
中国宫廷的造钟坊是清乾隆年间 (1736—1795年) 建立的,监督的沙林神父属下有差不多100名奴仆。
1810年左右,有几份报告提到当时在广东省售卖时钟的西方商人,说他们经营惨淡,原因是要面对来自本地产品的竞争——它们可以半价出售。
1824年,宝威兄弟从瑞士到广东经商,复兴钟表业。当时,宝威的手表是在纳沙泰尔的弗勒里耶生产。时至今日,这些地方仍然是制表中心。
1840年,宝威兄弟率先为自己的产品采用了中国的商标名称,叫做“宝哗”或“播威”,都是从“宝威”字音译而来的。直至20世纪初,这牌子仍然深受欢迎。
计算时间的仪器 合成图片
从古至今,人们计算时间的方式有很多种。沙漏是利用沙由一容器流向另一容器的速度来计时。钟摆时钟以摆动的钟是摆来计算时间。石英表和原子钟分别利用石英晶体及原子的振动来计算时间。
杆影测时 古人很早就知道,直立的标杆影长不断地随太阳在天上的位置的不同而变化。看杆影比直接观测太阳要方便,但测时结果是不等时的。《史记·司马穰苴列传》中就有春秋时代“立表下漏”测时的记载。用杆影测时法测定中午的时刻精度很高,是中国古代用来校正漏壶计时的主要方法之一。
圭表 甲骨文中有关时间的字大多从日字,说明测时的依据是太阳。根据太阳的运动判断一天内的时间变迁,圭表是最早使用的仪器。一根竿子立在地上,可以根据影子的长短和方向判断季节和一天内的时刻,1967年在江苏仪征的一座东汉墓中出土了一件铜圭表,不用时可以折叠起来,像一把铜尺,使用时将圭从表的凹槽中立起,使用和携带都很方便。
日晷 在圭表的基础上发展起来的日晷到汉代已做得很精细,1897年和1932年先后在内蒙古、河南、山西出土了三块秦末汉初的晷仪,上有69条刻线,占盘面的2/3,其余部分没有刻线,当为黑夜见不到日影的部分。三块出土地点不同,而其结构和所刻字体都相同,这表明秦汉时圭表和晷仪已很流行。
漏刻 作为计量时间的仪器,漏壶是最早发明的。古籍载:“漏刻之作,盖肇于轩辕之日,宣乎夏商之代。”这可能是一种传说。较可靠的资料见于《周礼·夏官》,其中载有挈壶氏,由于古代的漏壶上面有一个提梁,故称挈壶。挈壶氏“掌挈壶,……以水火守之,分以日夜”。西汉以前的漏壶现在未见实物,传世最早的漏壶为西汉时制,1958年、1967年、1975年分别出土于陕西兴平、河北满城、内蒙古默特右旗,都是铜铸圆柱状,上有提梁,下有漏嘴,梁上方有小孔,是插刻箭的。
漏刻
城铜漏于1968年出土于河北省满城西汉中山靖王刘胜之墓。壶中水量排放从满壶到浅,先后流量不一,故其计时精度不太高,它不能做为天文仪器,只能在日常生活中作为粗略的时段计时工具。
为了改进单壶漏水不均匀的缺点,东汉时代开始用二级漏壶,以便互相补偿,如张衡的漏水转浑天仪。
经过秦汉时代的发展和创造,圭表、仪象、日晷、漏刻等天文仪器得到很大发展,并已普遍使用,这些仪器构成了我国2000年间用于天文观测和时间工作的主要仪器系列。
流量计时 最古老的守时工具无疑是泄水型漏壶。后来有以沙代水的沙漏,有以油灯耗油量多少来计时的灯钟,也有燃香的香篆钟 (香火在金属盒内沿篆字式的沟槽蜿蜒前进) 等等。中国现存最古的漏壶是西汉时代的。世界上现存最古的滴漏是公元前14世纪的埃及水钟。
机械钟 中国汉代天文学家张衡做的水运浑象,能显示恒星出没、中天等天象,与室外天象完全相符。这是世界上最早的水力推动的机械钟。
唐代天文仪器制造家梁令瓒所制的水运浑象,除能符合天象外,另立两个木人每刻自动击鼓,每辰自动击钟。这是张衡水运浑象的改良型机械钟。
在宋代,苏颂和韩公廉等共同创造水运仪象台。
元代有郭守敬制的大明殿灯漏。
明代詹希元造五轮沙漏。这些机械钟具有完整的齿轮系、凸轮和擒纵机构。
欧洲的机械钟开始于14世纪,此后盛行了约400年。
摆钟 1582年,伽利略发现了摆的等时性。
1656—1657年,荷兰惠更斯把摆引入机械钟,从而创立了摆钟。
1673年,惠更斯采用摆轮—油丝系统,造出一种便于携带的钟表。
1735年,英国哈里森首次制造出航海钟,解决了当时资本主义发展中亟待解决的航海定位问题。
1896年,法国吉尧姆研制低膨胀系数的合金钢,造出精度极高的天文摆钟。如果把钟装入真空的玻璃罩内,存放在地下室,保持恒温,即为天文摆钟,每天的误差不超过千分之几秒。