



假设我们的老朋友火车车厢以恒定的速度 v 在铁轨上行驶,并且有一个乘客在车厢里以速度 w 沿行驶方向从车厢一头走到另一头,那么对于路基而言,乘客向前走得有多快呢?简单地说,乘客前行的速度 W 有多大呢?唯一可能的解答只能根据下列考虑而得:如果车厢中的乘客停止行动一秒钟,相对于路基而言他在这一秒钟里前进了一段距离 v ,在数值上与车厢的速度相等。但他在以恒定速度前行的车厢中向前走动,在这一秒钟里他相对于车厢,也就是相对于路基多走了一段距离 w ,这段距离在数值上等于乘客在车厢里走动的速度。因而,在所考虑的这一秒钟里该乘客总共相对于路基走了距离 W = v + w 。我们随后将会看到,这一表述经典力学的速度相加定理的结果,是不能加以支持的;换句话说,我们刚才写下的定律是不成立的,但我们暂且认为它是正确的。
临界速度
平坦宇宙在空间上是有限的,所以就存在一个旋转的临界速度,一旦低于这个临界速度,时空中任何物体都旋转得比光慢。就像平坦的空间中刚体的运动速度,在远离其轴时,刚体的转动比光速还要快。
速度,指描述物体位置变化快慢和方向的物理量。位移和所历时间之比,称为这段时间内的“平均速度”。如果这一时间极短 (趋近于零) ,这一比值的极限称为物体在该时刻的速度或者“瞬时速度”。速度是矢量,它的方向在直线运动中沿直线方向,在曲线运动中沿运动轨道的切线方向。
简单地说,速度就是描述物体运动快慢的物理量,定义为位移随时间的变化率。
定义式为: v (速度) = d (位移) / t (时间)
在国际单位制中,速度的最基本单位是米每秒,国际符号是m/s,中文符号是米/秒。依据国际单位制的定义1米是光在真空中1/299792458秒移动的距离,所以光在真空中的速度是299792458米/秒。
速度和速率不同,速度是矢量,有方向性,所以可有负值;速率没有方向性,所以没有负值。
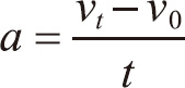
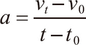
描述运动物体的速度变化快慢程度的物理量。它是矢量,其合成与分解遵从平行四边形法则 (作用在一个点上的两个力,其合力亦作用在该点上。合力的大小等于以两力大小为边的平行四边形的对角线的长度,方向是由该点出发的四边形对角线方向) 。加速度是以速度的变化量跟发生这种变化所经过的时间的比值来量度的。物体在做直线运动时,如果在某一时刻 t 0 的速度是 v 0 (初速度) 到时刻 t 的速度变为 v t (末速度) ,那么 v t - v 0 就称为在 t - t 0 这段时间内的速度变化量,用 a 代表加速度,其表达式为
如果 t 0 =0,则上式可写成