购买
下载掌阅APP,畅读海量书库
立即打开
畅读海量书库
扫码下载掌阅APP

《史记》(宋淳熙三年张杅桐川郡斋刻八年耿秉重修本)之史记索隐序书影。

《史记》(宋淳熙三年张杅桐川郡斋刻八年耿秉重修本)之史记集解序书影。

《史记》(宋淳熙三年张杅桐川郡斋刻八年耿秉重修本)之史记目录书影。

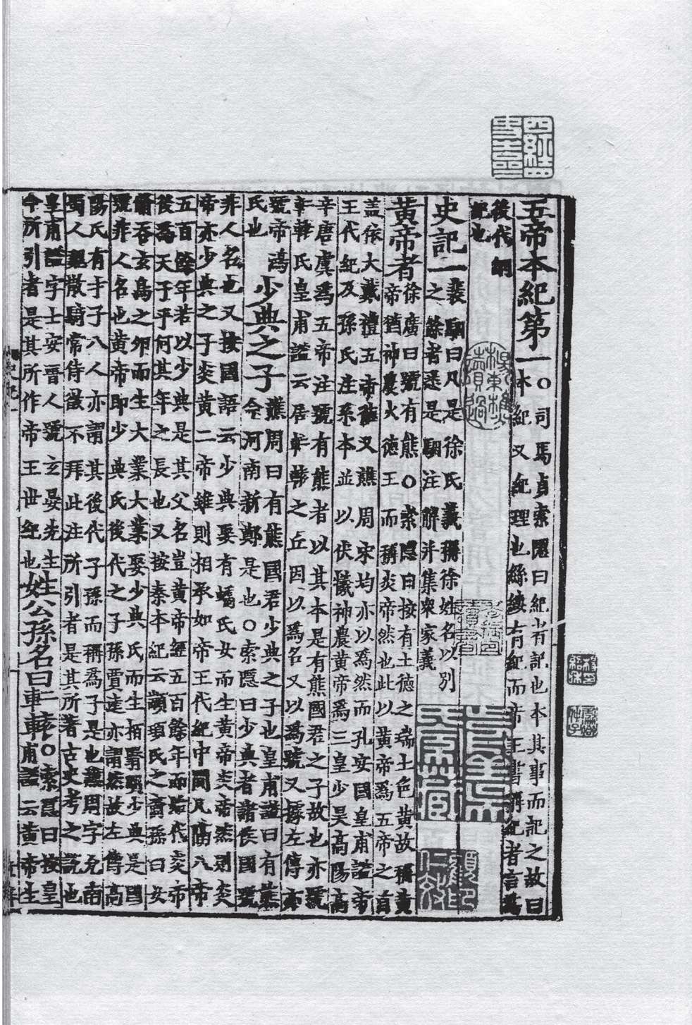
《史记》(宋淳熙三年张杅桐川郡斋刻八年耿秉重修本)之正文书影。 hRBJNEBCtG5C5BybYqNN2TGiQUk2QFb94TsShSggDzBu65JJz18gWE54EbPACJQ6

点击中间区域
呼出菜单
上一章
目录
下一章
×