



可以将前述的试验系统简化为图2-2所示的模型。被测量称为系统的输入或激励,用 x ( t )表示;测试结果称为系统的输出或响应,用 y ( t )表示。所谓试验系统的特性是指系统的输出 y ( t )与输入 x ( t )的关系。
图2-2 简化的试验系统模型
汽车试验与其他工程测试一样,其输入 x ( t )具有两种不同的特征,即 x ( t )随时间的变化而变化或不随时间变化。若被测量 x ( t )不随时间变化或随时间缓慢变化时,系统的输出 y ( t )与输入 x ( t )之间的关系,称为试验系统的 静态特性,此系统称为静态试验系统 ;若被测量 x ( t )随时间的变化而变化,则系统的输出 y ( t )与输入 x ( t )之间的关系,称为试验系统的 动态特性,此系统称为动态试验系统 。
下式是任一静态系统的数学表达式。
式中 y ( t )——系统的输出(测试结果);
x ( t )——系统的输入(被测量);
a 0 , a 1 , a 2 ,…, a n ——与系统相关的常数。
若 a 0 ≠0,则表示即使没有输入却仍有输出,即当 x ( t )=0时, y ( t )= a 0 , a 0 称为试验系统的零点漂移。显然,不希望试验系统存在零点漂移。
另外,对于任何一个试验系统,若除 a 1 ≠0外,其他常数 a 0 , a 2 ,…, a n 均为0,则试验系统的输出与输入的关系最为简单,这是人们追求的目标,所以常将
称为理想的静态试验系统,它是一种没有零点漂移的线性系统。
评价试验系统静态特性的指标有:灵敏度、分辨率、重复性、回程误差、线性度、漂移等。
1.灵敏度
输入量的变化Δ x ( t )所引起输出量变化Δ y ( t )的大小,称为灵敏度,用 E 表示,即
对于非线性系统,灵敏度就是静态特性曲线上各点的斜率。当试验系统输出与输入的量纲相同时,显然灵敏度 E 反映的是输出量与输入量的倍数关系,也称为放大倍数。
放大倍数这一概念在测试领域具有十分重要的工程价值,主要体现在较小量的测试。因为对于较小量(材料的应变、车轮定位参数中的外倾角、前束角等都属于这类量)而言,要想达到高的测试精度,所需要的灵敏度往往会非常高。为了解决这一问题,常借用“放大倍数”这一概念,先将被测量放大若干倍以后再测试。被测量的放大可以采用机、电、光等不同的方式,究竟选用哪一种,视被测量的特性而定。
2.分辨率
分辨率是指试验系统能测量到最小输入量变化的大小,即能引起输出量发生变化的最小输入变化量,用Δ x 表示。由于试验系统在全量程范围内,各测量区间的Δ x 不一定总是相等,因此常用全量程范围内最大的Δ x (即Δ x max )来表示。
3.重复性
重复性是指用同一试验系统在相同的试验条件下对同一被测量进行多次测量,其各次测试结果的接近程度。重复性的好坏,在很大程度上反映了测量结果中随机误差的大小。换言之,随机误差大,则测试结果的重复性就差。
4.回程误差
回程误差又称迟滞性。在测试过程中,经常会出现正向输入(输入由小到大)所得到的输出规律与反向输入(输入由大到小)系统的输出规律不一致(图2-3),二者之间的差值称为回程误差。
5.线性度
线性度是指定度曲线偏离理想直线的程度。常用定度曲线与理想直线的最大偏差与测试系统量程之比来表示,即
式中 δ L ——线性度;
Δ L max ——定度曲线与理想直线的最大偏差;
y FS ——测试系统的量程。
图2-3 回程误差
6.漂移
漂移分为零点漂移和灵敏度漂移。漂移通常都是由温度的变化及元器件性能的不稳定所引起。图2-4是零点漂移和灵敏度漂移的示意图。对于一般的测试系统,灵敏度越高、测量范围越小,稳定性相对较差,即漂移相对较明显。
图2-4 漂移
在输入变化时,所测得的输出量不仅受研究对象(如汽车)动态特性的影响,还受试验系统动态特性的影响。如进行汽车行驶平顺性试验,在测试条件完全相同的情况下,用同一仪器系统对汽车不同位置进行测试,其结果均不相同;用不同的仪器对汽车同一部位进行测试,其结果也不可能完全相同。
为了获得准确的测试结果,所组成的仪器系统应该是线性的,其原因是:
1)对于动态试验系统,只有当系统是线性的,才便于用数学方法对其进行分析处理;
2)在动态测试中,非线性校正比较困难。
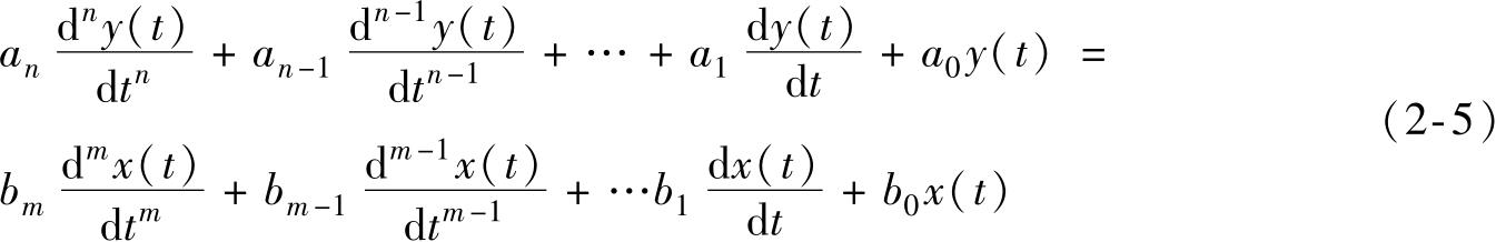
动态线性试验系统可用如下常系数微分方程描述。
式中 x ( t )——系统的输入;
y ( t )——系统的输出;
a n , a n -1 ,…, a 1 , a 0 和 b m , b m -1 ,…, b 1 , b 0 ——与系统结构参数有关的常数。
1.动态试验系统的性质
(1)叠加性 n 个输入同时作用于系统时的输出,等于这些输入单独作用于系统时系统各输出的和,即:
若
x 1 ( t )→ y 1 ( t )
x 2 ( t )→ y 2 ( t )
x n ( t )→ y n ( t )
则
[ x 1 ( t )+ x 2 ( t )+…+ x n ( t )]→[ y 1 ( t )+ y 2 ( t )+…+ y n ( t )]
(2)比例性 由叠加性知,若 x 1 ( t )= x 2 ( t )= x 3 ( t )=…= x k ( t )= x ( t )
且
x ( t )→ y ( t )
则
kx ( t )→ ky ( t )
即系统的输入增加 k 倍,则输出也增大 k 倍。
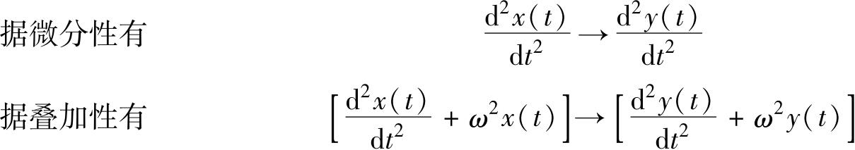
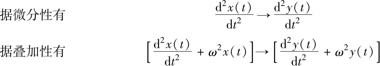
(3)微分性 系统输入微分的输出,等于原输入所引起输出的微分,即
(4)积分性 若系统的初始状态为零,则系统输入积分的输出,等于原输入所引起输出的积分,即
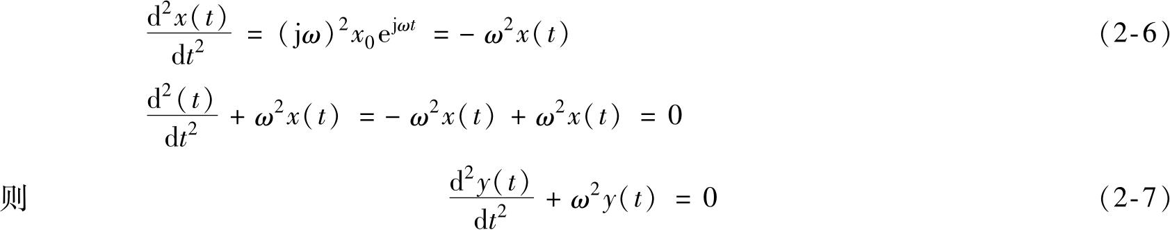
(5)频率保持性 若系统的输入为某一频率的简谐函数 x ( t )= x 0 e j ωt ,则系统的稳态输出亦是与之频率相同的简谐函数,只是幅值和相位有所不同。这一性质简单证明如下:
若
x ( t )→ y ( t )
由比例性得
ω 2 x ( t )→ ω 2 y ( t )
因为
x ( t )= x 0 e j ωt
解微分方程式(2-7)可得到唯一的解
式中 φ ——初相位。
线性系统的频率保持性对研究汽车的振动及仪器系统十分有用:
1)可以利用线性系统的频率保持特性消除干扰,若已知某线性系统输入的频率,则该系统输出的频率必然与之相同,显然,其他频率的信号就是来自外界的干扰——噪声。
2)可以利用线性系统的频率保持性判断系统的属性,对于一个未知系统,若输出的频率与输入的频率相同,则该系统一定是线性系统。
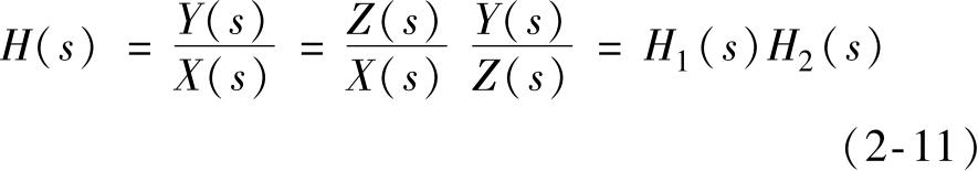
2.动态系统的传递函数
若线性系统的初始条件为零,即当 t= 0时,
则对线性系统微分方程式(2-5)进行拉普拉斯变换的结果为:
将输出的拉普拉斯变换与输入拉普拉斯变换的比值
称为系统的传递函数,常用
H
(
s
)表示,即
工程中的试验系统一般均为稳态系统,其传递函数分母中 s 的幂次数总是高于分子中 s 的幂次数,即 n > m 。因此,分母 s 的幂次 n 代表微分方程的阶数。 n =1, n =2, n =3,…,所对应的系统分别称为一阶系统,二阶系统,三阶系统……
由式(2-10)不难看出:
1)传递函数中没有输入 x ( t ),即它与系统的输入无关;
2)传递函数中的各系数 a n , a n -1 ,…, a 1 , a 0 和 b n , b n -1 ,…, b 1 , b 0 是由系统结构特征决定的,系统结构和类型的不同,其取值各异;
3)系统的传递函数 H ( s )是由适合任何线性系统的微分方程式(2-5)所得到的,因此它适合于各类系统(电系统、机械系统及机电混合系统等)。
正因为传递函数与系统的输入、输出无关且能够反映系统的全部特征,因此它是分析复杂系统的一个重要工具。
汽车试验用仪器设备通常是由多种不同器件所组成的复杂系统,为此我们必须要研究复杂系统的传递函数。对于任何一个复杂系统,都可以看成是由多个简单系统串联、并联、闭环或串并联、闭环混合而成的。若能求解串联、并联或闭环系统的传递函数,则可求解任何复杂系统的传递函数。
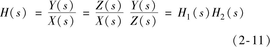
(1)串联系统的传递函数 图2-5是 H 1 ( s )和 H 2 ( s )组成的串联系统,设其传递函数为 H ( s ),由传递函数的定义可得
图2-5 串联系统
推而广之,由 n 个子系统串联在一起的大系统,其传递函数为
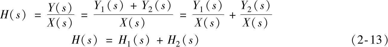
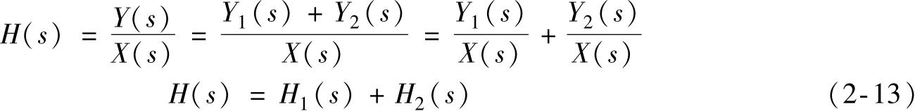
(2)并联系统的传递函数 图2-6是一并联系统,其传递函数 H ( s )为
对于 n 个子系统并联所组成的大系统,其传递函数为
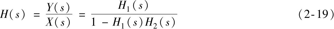
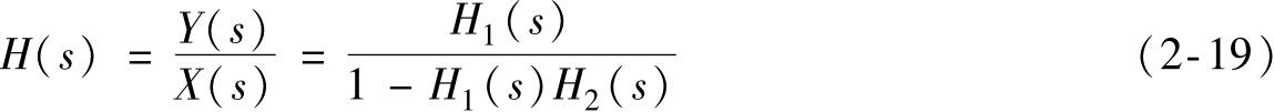
(3)闭环系统的传递函数 图2-7是两个子系统 H 1 ( s )和 H 2 ( s )组成的闭环系统,该系统的传递函数为:
图2-6 并联系统
图2-7 闭环系统
将式(2-16)~式(2-18)代入式(2-15)并整理,得