



为了便于用数学方法研究汽车试验中各被测量之间的规律,在静态测量数据处理中,寻求用简便的经验公式表达各变量之间的关系显得尤为重要。根据最小二乘法原理确定经验公式的数理统计方法称为回归分析。处理两个变量之间的关系称为一元回归分析。
如果对两个变量 x 和 y 分别进行了 n 次测量,得到 n 对测量值( x i , y i ),( i= 1,2,…, n )将其描在直角坐标图上,就得到 n 个坐标点。若各点都分布在一条直线附近,则可用一条直线来代表变量 x 与 y 之间的关系。
式中
——回归直线上的理论计算值,即试验结果的估计值;
a , b ——线性回归方程的系数。
下面利用一个实例介绍一元线性回归分析的方法和步骤。
例如,某车辆在水平道路上直线行驶,根据不同的距离,测出车辆行驶的时间,对应的数值见表2-2。取距离 s 为自变量,用 x 表示;时间 t 为因变量,用 y 表示。将表2-2中的数据画在坐标图上,如图2-29所示。
表2-2 实测汽车行驶距离与时间的关系
1.确定函数的类型
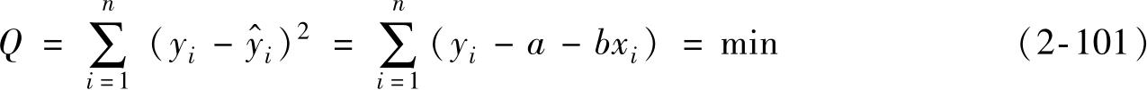
从图2-29可以看出,测试结果均落在一条直线附近,于是可以利用一条直线来表达变量之间的关系,即
式中
——试验结果的估计值;
x ——实测的车辆行驶距离;
a , b ——线性回归方程的系数。
2.确定函数中的各系数
计算实测值
y
i
与用回归直线式(2-100)算出的
值的差值
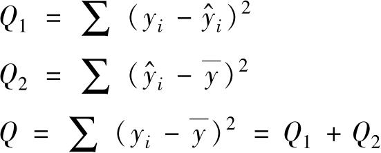
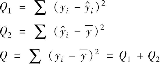
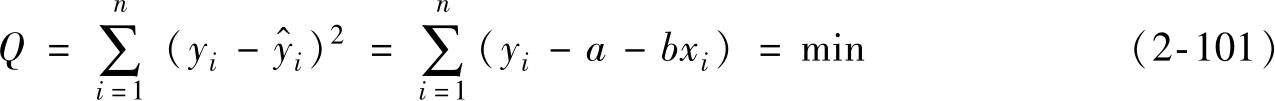
,该差值越小,说明回归直线越接近理想直线。回归分析的原则是找出一条直线使其与实测数据之间的误差比任何其他直线与实测数据之间的误差都小。由于差值
有正有负,因此若该差值的二次方和最小,则拟合出的直线符合前述回归分析的原则,这就是最小二乘法的基本思想。记为
图2-29 某车行驶时间-距离的关系曲线
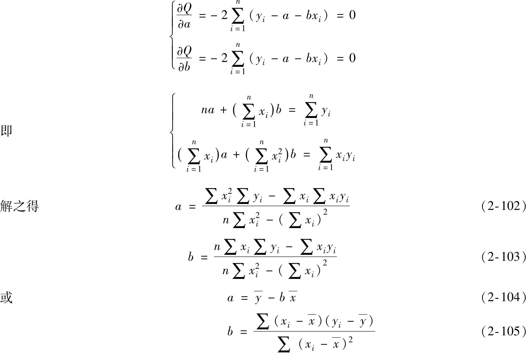
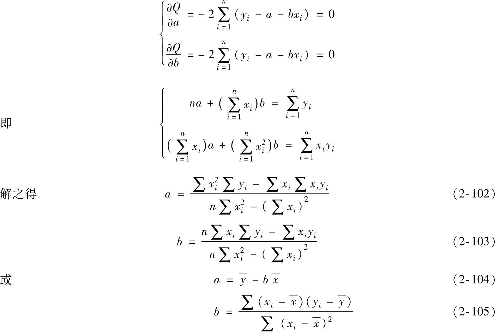
将 Q 分别对 a 、 b 求偏导数并令其等于0,便得到如下方程组
式中
。
用式(2-102)、式(2-103)或式(2-104)、式(2-105)求出 a 、 b ,即可得到回归方程
3.回归方程的检验
尽管最小二乘法反映的是误差最小原则,但所求得的经验公式的精度并非一定可以满足要求。因为,由前面的分析过程不难看出,前面计算中的误差最小只是测试结果与我们所选定曲线类型之间的误差最小,或许实测结果的规律原本就与选定曲线的类型不符。为此需对曲线拟合的精度进行检验。关于精度检验,人们提出过多种方法,在此仅介绍一种在工程上最常用的方法,即相对误差法。
精度就是相对误差的大小。若能将经验公式的检测结果与实测值之间的相对误差控制在要求的范围内,显然符合工程上的要求,即
式中 [ v ]——允许的相对误差。
1.确定经验公式类型
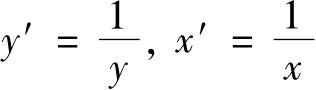
如果两个变量之间存在非线性关系,例如对数函数关系、指数函数关系和双曲线关系等,那么可以通过适当的变量变换将非线性关系转化为线性关系,然后利用前面介绍的线性回归方法进行回归处理。最后将求出的线性关系还原为非线性关系,便可得到所要求的拟合曲线。将测试结果描在坐标图上,并用光滑曲线将其连起来。将试验曲线与典型曲线(图2-30中列出了一些)进行比较,选取与试验曲线最接近的曲线方程作为经验公式的类型。
2.将曲线进行直线化变换
如:
1)双曲线方程
令
则
变为
y′=a+bx′
2)对数曲线 y=a+b lg x
令
则 对数曲线 y=a+b lg x 变为 y=a+bx′
3)指数曲线 y=c e bx
对上式两边取对数得:ln y= ln c+bx
令
则指数曲线 y=c e bx 变为 y′=c′+bx
3.进行一元线性回归
用前面所介绍的一元线性回归分析方法进行回归处理。
4.检验其曲线拟合的精度
若曲线拟合的精度达不到所需精度的要求,则应重新选择曲线类型进行拟合,直至满足精度要求为止。
5.将直线方程变回原曲线方程
图2-30 几种常见的典型曲线
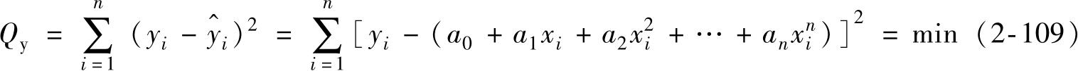
前面所述的典型曲线往往是有限的,当试验结果与任何一条典型曲线都不相符时,就要寻找新的曲线,显然那就是多项式
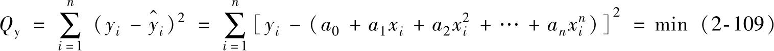
1.多项式幂次数的确定
关于多项式幂次数的确定,前人提出过多种不同的方法,无论是哪种方法,都存在计算过程非常复杂的缺点。在此介绍一种简单易行的试凑法,先在3~5的范围内初选一个 n 。
2.确定多项式系数
同样用最小二乘法,即
令
,解此方程组即可求出
a
0
,
a
1
,
a
2
…,
a
n
。
3.经验公式精度的检验
多项式回归拟合精度的检验方法与一元线性回归相同。若检验发现回归精度不符合要求,则将 n 加1再重复上述的回归过程,直至达到回归精度的要求。
1.多元线性回归
对一组样本( x 1 i , x 2 i ,…, x mi : y i ),设 x 1 i , x 2 i ,…, x mi 与 y i 线性相关,即
式中 b 0 、 b 1 ——待求的估计值;
ε i ——n 个相互独立的等精度正态偶然误差,其矩阵表达式为
依据最小二乘原理,
可得关于 B 的正则方程组
解之得
多元线性回归方程为
2.线性回归效果检验
构造统计量
查 F 分布表得到 F a ( m , n-m -1),两者相比较,判断回归效果是否显著,其中,
3.逐步回归分析
多元回归需要评估各变量作用的大小。逐步回归分析的基本思想是按照变量 x 1 , x 2 ,…, x m 对 y 作用的大小,逐个引入回归方程。当新变量的引入变得不显著时,则随时从方程中剔除,直到既不能引入又不能剔除其他变量时为止,从而得到最优的回归方程。在具体实施过程中,主要是求解正则方程组,对每个过渡回归方程用偏回归平方、方差分析和 F 显著性检验。