



汽车试验用仪器系统通常由传感器、放大器、信号调制解调器、滤波器及信号处理设备等组成。所谓测试系统中的负载是相对前一级设备而言的,即后一级的设备是前一级设备的负载。如放大器是传感器的负载,信号处理设备是滤波器的负载等。在汽车测试过程中,人们都希望被测物理量经传感器测得并转换成的电信号,经过一系列中间设备(如放大器、调制解调器等)的处理后,信号的大小、特征仍能与原被测量保持一致。但事实往往并非如此,信号在多级设备的交换中不可避免地会发生一些变化,这种现象称为试验系统的负载效应。
负载效应这一名词来自于电路系统,其本意是电路的后级与前级相连时,由于后级阻抗的影响而带来系统阻抗变化的一种效应。
图2-20是一电压输入型的传感器与放大器相连的示意图,在传感器的输出端子A和B与放大器相连之前,设传感器的输出电压为 u 0 。若端子A、B之间的阻抗为 Z AB ,放大器的阻抗为 Z 1 ,若将传感器和放大器连成一个回路,根据戴维南定理,可将其简化成图2-20b所示的等效电路。此时,放大器的输入电压 u 1 为:
图2-20 负载效应的示意图
显然, u 1 ≠ u 0 ,其原因是阻抗 Z 1 的存在。欲使 u 1 接近 u 0 ,则应使 Z 1 >> Z AB ,即负载的输入阻抗必须远大于前级系统的输出阻抗。将式 (2-65)推广到包括非电系统在内的所有系统,则有
式中 y g ( t )——广义变量的输出;
x g ( t )——广义变量的输入;
Z i ——广义输入阻抗;
Z 0 ——广义输出阻抗(或称负载阻抗)。
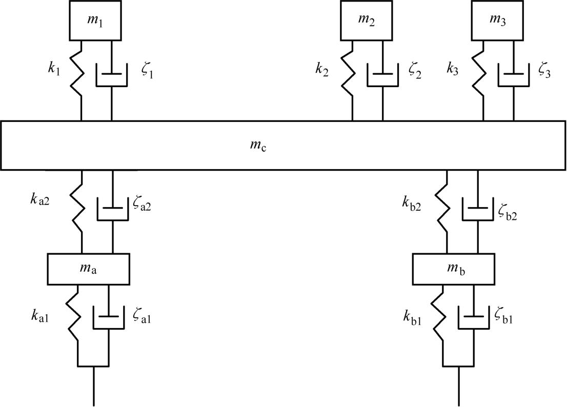
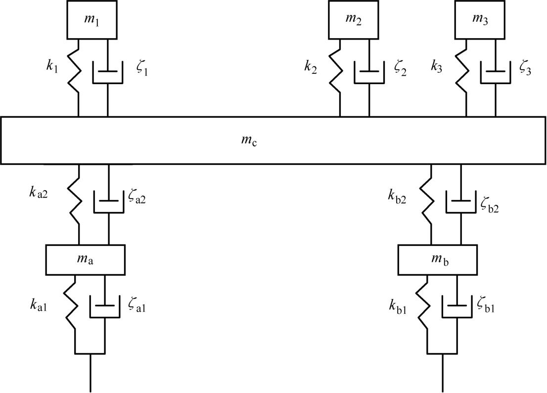
任何一个试验系统,至少应由被测对象和测量装置二者组成。如图2-21所示。 H 1 ( S )和 H 2 ( S )分别是被测对象和测试装置的传递函数。 x ( t )为被测量,被测对象的输出量 Z ( t ) =L -1 [ H 1 ( S ) X ( S )],测试系统的输出 y ( t ) =L -1 [ H 2 ( S ) Z ( S )]。在 y ( t )与 z ( t )之间,由于传感器、信号调理及数据处理等中间环节的影响及系统前、后环节间的能量交换,试验系统的输出 y ( t )很可能不等于被测量,甚至也不等于被测对象的输出量 z ( t )。在前面对串联、并联系统传递函数的分析中,均没有记入前、后环节间的能量交换因素,而对于实际的测试系统,除光、波等非接触式传感器之外,任何系统的互联均会产生能量交换,因此对于图2-21所示的串联系统,其传递函数 H 1 ( S )和 H 2 ( S )乘积只要不等于1,测试系统的输出就不可能与被测量完全相等,其结果必然会影响测试精度,这种对测试精度的影响称为测试系统的 负载效应 。图2-22是汽车试验中的一个典型的例子,尽管加速度传感器、非接触式五轮仪及数据记录设备的质量 m 1 、 m 2 和 m 3 与汽车的总质量 m 相比是一个较小的量,但 m 1 、 m 2 和 m 3 的存在会不可避免地改变汽车的动态特性,即被测对象(汽车)自身的传递函数发生了变化,已不再是原来的 H 1 ( s ),而变成了包含 m 1 、 m 2 、 m 3 、 k 1 、 k 2 、 k 3 和 ζ 1 、 ζ 2 、 ζ 3 在内的新的传递函数 H′ 1 ( s )。由于 H′ 1 ( s )≠ H 1 ( s ),所以必然会带来测试误差,即负载效应。正因为如此,在汽车行驶平顺性试验的标准中,对测点上所坐人的身高、体重及坐姿都作出严格规定。汽车总质量 m=m a +m b +m c 。
图2-21 被测对象与测试装置组成的系统
图2-22 简化的汽车振动模型
m a 、 m b 、 m c —汽车前桥、后桥的质量、汽车簧载质量
m 1 、 m 2 和 m 3 —加速度传感器、五轮仪和数据记录设备的质量
k 1 , k 2 , k 3 和 ζ 1 , ζ 2 , ζ 3 —m 1 、 m 2 、 m 3 安装部位的刚度和阻尼 k a1 , k b1 —前后轮的刚度
ζ a1 , ζ b1 —前后车轮的阻尼 k a2 , k b2 —前后悬架的刚度 ζ a2 , ζ b2 —前后悬架的阻尼
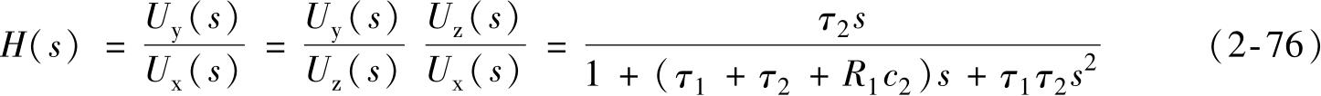
图2-23a和b是不同的一阶系统,第一个一阶系统的微分方程为:
将式(2-68)代入式(2-67)并整理,得
对上式进行拉普拉斯变化,得第一个一阶系统的传递函数。
式中 τ 1 ——时间常数, τ 1 =c 1 R 1 。
图2-23 两个一阶系统的互联
用同样的办法可得第二个一阶系统的传递函数
式中 τ 2 ——时间常数, τ 2 =c 2 R 2 。
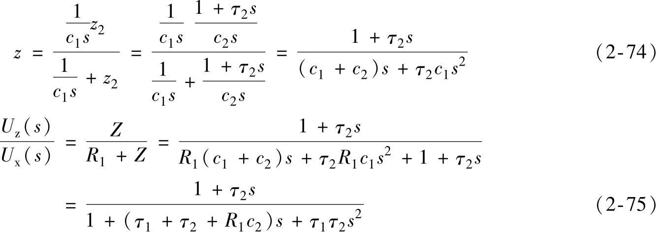
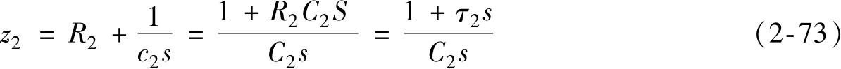
若不加任何隔离措施将此两个一阶系统直接串联(图2-23a),则输出电压与联接点的电压比为
联接点右侧的阻抗 z 2 为
令 z 为 R 1 右边电路的阻抗,其值为
显然,两个一阶系统联接后的传递函数应为
由式(2-76)和式(2-77)可以看出, H ( s )≠ H 1 ( s ) H 2 ( s )。其原因是:在两个串联的一阶系统之间有能量交换所带来的负载效应。欲避免此负载效应,最简单的办法是隔离,即在两级之间插入跟随器,跟随器的输入阻抗很大,基本上不从第一级取电流。此外,跟随器的输入内阻极小,不因后端的负载而改变其输出电压。
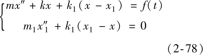
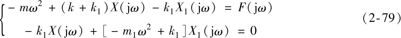
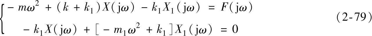
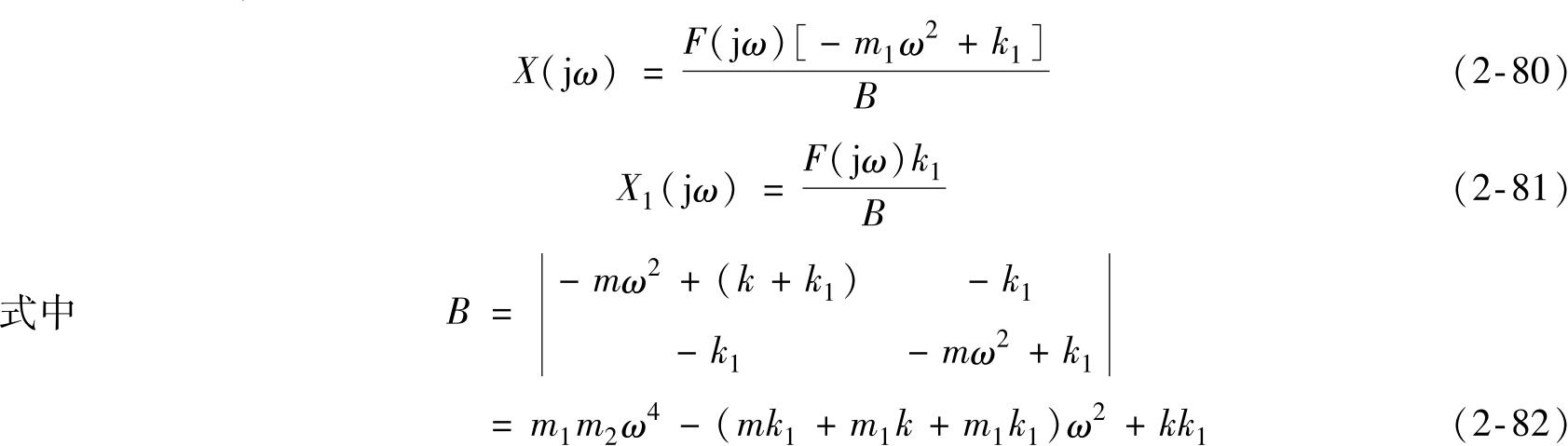
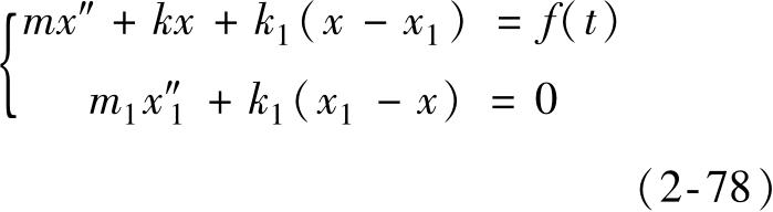
若将图2-22所示测量汽车振动的试验系统简化模型进一步简化,便可得到图2-24所示的由两个最简单的二阶系统串联的振动模型。根据牛顿第二定律可列出该振动测试系统的微分方程
图2-24 简化的汽车振动测量系统
对上式进行傅里叶变换并整理,得
解上述方程组,得
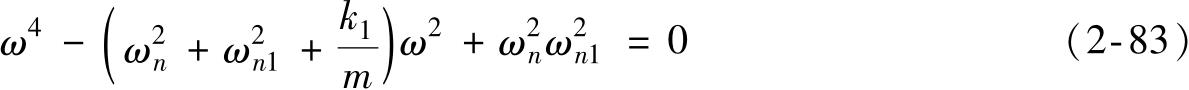
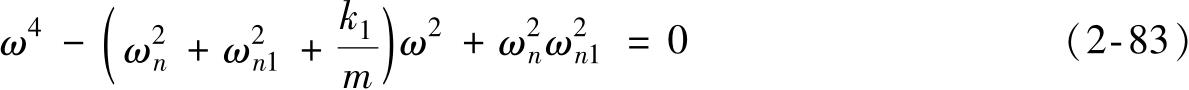
令 B =0,并将等式两边同时除以 mm 1 得
式中
ω
n
——k
、
m
系统的固有频率,
;
ω
n
1
——k
1
、
m
1
系统的固有频率,
。
解方程式(2-83)可得两个二阶系统直接串联所组成的大系统的固有频率 ω 。若将 k 、 m 和 k 1 、 m 1 两个系统隔离后串联,则式(2-80)和式(2-81)中的分母(为了便于与未隔离的系统区别,在此用 B′ 表示)为
令 B ′=0,并将等式两边同时除以 mm 1 得
比较式(2-83)和式(2-84)可知,直接串联和隔离后串联所组成的系统,其固有频率不相等,因为 ω 2 项前的系数不同。
从式(2-83)中不难看出,若将这两系统互联后,系统的固有频率不再是原两个系统的固有频率,而是向两端偏移,即:一阶固有频率比互联前的低频要低,二阶固有频率比互联前的高频要高。其偏移量的大小由参与能量交换的元件参数( m 和 k 1 )决定。这一现象表明,被测对象装上传感器后,系统的动态特性发生了变化。欲提高测量精度,就必须尽可能地减小包括传感器在内的测量系统对系统动态特性的影响。这一点对于汽车试验而言尤为重要。因为试验时,整个测试系统都需要置于车上。因此,汽车道路试验仪器的小型化和非接触测量一直是人们追求的一个重要目标。