



从前面两节的学习中我们了解到,欲对一个实际的试验系统有一个全面而深入的了解,需要知道系统的动态特性,那么对于由被测对象的汽车和试验仪器组成的实际试验系统,以及试验系统中各个不同的环节(如汽车本体、测试仪器)的动态特性如何获取呢?这便是本节将要重点讨论的问题。
获取试验系统动态特性的办法有很多种,在此着重介绍频率响应法和脉冲响应法。
由线性系统的频率保持特性可知,若系统的输入是常幅简谐函数,则系统的输出一定是一个同频率、定幅、相位差为 φ 的简谐函数。设系统的输入为
则系统的输出为
系统的频率响应函数
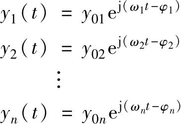
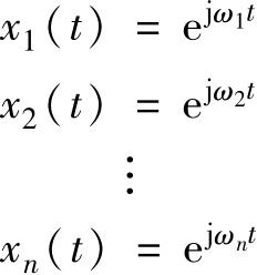
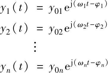
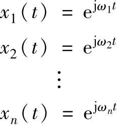
由式(2-61)可知,若给系统一系列不同频率单位幅值的简谐波输入,即
测出系统与之对应的输出为
在坐标纸上分别绘出输出的幅值 y n ( t ) -ω 曲线和 φ n -ω 曲线,即为系统的幅频特性曲线和相频特性曲线,然后再利用本章第七节中将要介绍的一元非线性回归分析,便可得到试验系统的幅频特性 A ( ω )和相频特性 φ ( ω ),系统的频率响应函数 H (j ω )为:
频率响应法获取测试系统动态特性的缺点是既麻烦又费时。因为要想得到频率响应函数 H (j ω ),需对系统进行一系列不同频率的简谐输入,待系统稳定后,测出与之对应的一系列输出。因此这种方法可行,但并不常用。
由前面的分析知,脉冲响应函数 h ( t )与频率响应函数 H (j ω )正好是一个傅里叶变换对,即:
由此可见,若给测试系统一个单位脉冲输入,记录下系统的输出
h
(
t
),然后对
h
(
t
)进行傅里叶逆变换,便可得到系统的频率响应函数
H
(j
ω
)。目前,各类谱分析设备基本上都具有此分析功能。比较频率响应法和脉冲响应法不难发现,脉冲响应法比频率响应法更简单易行。但需指出的是,在工程实际中,标准的单位脉冲是不存在的。但若给系统一作用时间小于
的冲击输入,即可近似地认为是单位脉冲输入。