购买
下载掌阅APP,畅读海量书库
立即打开
畅读海量书库
扫码下载掌阅APP

第二节
汽车使用的相关知识

一、汽车的使用寿命

所谓汽车的使用寿命是指从汽车开始使用到不能使用之间的整个时期,它可以用累计使用年数或累计行驶里程数表示。汽车在使用过程中,由于机械磨损、老化、使用不当和事故损伤等各种原因,致使汽车的性能指标逐渐下滑,到了一定程度就应该报废这是自然规律。但是,从不同的角度研究汽车的使用寿命是不同的。不同的使用寿命,带来的经济效益是大不一样的,因此,研究汽车的使用寿命有着重要的经济意义。

1.汽车的使用寿命分类

汽车的使用寿命可分为汽车的技术使用寿命、经济使用寿命和合理使用寿命。

(1)汽车的技术使用寿命 汽车的技术使用寿命是指汽车从全新状态投入使用,直到主要机件达到技术极限状态且无法通过修理继续使用,致使汽车丧失使用价值所经历的总时间或总行驶里程。汽车的技术使用寿命主要取决于汽车总成及零部件的设计水平、制造工艺及技术、使用条件和保养维修水平。所以,对车辆进行修理已不能恢复汽车的主要使用性能,即汽车达到技术寿命时,应对车辆进行报废处理,并且其零部件也不能再作为配件使用。在使用过程中,合理的保养维修能够使汽车的技术寿命适当延长,但是,随着汽车技术的进步和汽车使用时间的延长,车辆维修的费用也会增加,所以,汽车技术进步越快,汽车的技术寿命越短。

(2)汽车的经济使用寿命 汽车的经济使用寿命是指从全新状态投入使用,到年平均总费用最低时之间的年限。超过这个年限,汽车在技术角度上仍可继续使用,但年平均总费用上升,在经济角度上不宜继续使用。

从汽车使用总成本出发,分析车辆制造成本、使用与维修费、管理费、车辆当前的折旧以及市场价格变化等因素,经过分析做出综合经济评定后,才能确定汽车经济使用寿命。在汽车更新政策允许的情况下,汽车用户在更新车辆时应以经济使用寿命为依据。

(3)汽车的合理使用寿命 汽车的合理使用寿命是以汽车的经济使用寿命为基础,考虑国民经济的发展和节约能源等因素,由国家和企业采取某些技术政策和方针制定出符合我国实际情况的使用期限。也就是说,虽然汽车已经达到了经济使用寿命,但是否要更新换代,还要视国家和当地的实际情况而定,如更新汽车的市场供求状况、更新资金和相关政策等因素。因此,国家根据我国的实际情况制定汽车更新的技术政策,考虑国民经济的可能性并加以修正,规定汽车的合理使用年限。

一般情况下,三者之间的关系为

汽车的技术使用寿命>汽车的合理使用寿命>汽车的经济使用寿命

2.汽车经济使用寿命常用的评价指标

汽车经济使用寿命常用的评价指标主要包括使用年限、行驶里程和大修次数。

(1)使用年限 所谓使用年限就是指汽车从投入运行开始直到报废期间的年数。这种方法的优点是除了考虑运行时的损耗外,还考虑闲置的自然损耗,计算简单。但是,其缺点也很明显,不能充分和真实地反映汽车的使用强度和使用条件,导致使用年数相同的车辆之间技术状况差异很大。

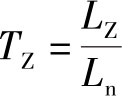
考虑上述原因,可采用折合使用年限这一指标。所谓折合使用年限就是汽车累计总的行驶里程与年均行驶里程之比,计算公式为

式中,T Z 为折合使用年限(年);L Z 为累计总的行驶里程(km);L n 为年均行驶里程(km/年)。

年均行驶里程是根据各个行业的经营情况,用统计方法得出的,与整个行业车辆的技术状态、完好率、出勤率、行驶速度、行驶路线和道路状况等因素有关。对于专营车辆和社会零散车辆,使用强度差别很大,年行驶里程相差也很大,采用折合使用年限,其使用年限也就不同,因此,采用折合使用年限更为合理。

(2)行驶里程 行驶里程是指汽车从投入运行开始到报废期间总的累计行驶里程。这种方法的优点是反映了汽车的真实使用强度,缺点是不能反映出运行条件的差异以及汽车停驶期间的自然损耗。

对于不同的营运车辆,运行条件不同,虽然使用年数大致相同,但是其累计行程可能差异很大,甚至悬殊,所以作为考核指标,行驶里程比使用年限更为合理。大多数的汽车运营企业都采用行驶里程作为车辆考核的指标。在二手车评估过程中,会遇到里程表损坏的情况(有时也可能是卖主故意行为),此时里程表上的累计行驶里程已不可靠,仅供参考。

(3)大修次数 汽车在使用过程中,随着行驶里程的增加,动力性和经济性逐渐下降,当下降到一定程度时,正常的维护和小修无法恢复车辆正常的技术状况,就要对车辆进行大修。汽车报废前,就需要权衡“买新车的费用加上旧车折旧造成的损失”与“大修费用加经营费用损失”两者的得失,综合衡量后决定是否要进行大修。可见,经济合理的大修次数是一项重要的技术指标。

3.影响汽车经济使用寿命的因素

汽车经济使用寿命的长短主要受车辆的损耗、使用强度、使用条件和当地的经济水平等因素的影响。

(1)车辆的损耗 车辆的损耗包括有形损耗和无形损耗。

1)有形损耗是指汽车在使用以及闲置过程中的损耗,如磨损、锈蚀、腐蚀、零件变形和疲劳损坏等。有形损耗会导致车辆使用成本增加。

2)无形损耗是指由于技术进步、生产率的提高,使得生产同样车型汽车的成本降低,从而导致原车型价格的下降;或者是由于技术进步、生产率的提高,出现了性能更好、效率更高的新车型,使得原车型价格下跌,促使旧车提前更新。这实际上是原车型相对贬值。

(2)使用强度 不同的汽车、不同的用途、不同的使用者,导致汽车的使用强度差异很大,汽车的经济使用寿命也不一样。各种车辆年均行驶里程从1万~15万km不等,年均行驶里程越长,汽车的使用强度越大,经济使用寿命也越短。表1-18中列出了几种常见车辆大致的使用强度。

表1-18 几种常见车辆大致的使用强度(单位:万km/年)

从表1-18中看出,私家车使用强度最低,长途客车的使用强度最高。当然,经常超载的大货车使用强度要大于正常运载的车辆。

(3)使用条件 汽车的使用条件包括道路条件及自然条件。

1)道路条件。道路条件对汽车的有形损耗与汽车的经济使用寿命影响很大。道路对车辆使用寿命的影响主要是道路等级和路面情况等因素。如果道路条件差,一方面使得车速慢,燃油消耗增加;另一方面使汽车的磨损增加,最终导致汽车的经济使用寿命下降。

2)自然条件。自然条件的差异主要是由于我国幅员辽阔,各地自然条件和地理环境相差较大,如各地温度、湿度、海拔、空气密度、含氧量以及空气中沙尘含量等都各不相同,使得不同地区汽车的经济使用寿命存在一定的差异。

(4)当地的经济水平 不同的国家或地区经济发展水平不同,我国各地的经济发展速度及发展水平有很大的差异。东南沿海各省经济发达,中西部地区经济相对落后,从而影响了汽车的经济使用寿命,如各地出租车的使用年限相差较大,为3~8年不等,某些地区8年后的出租车可以照常使用。

二、汽车的主要技术参数和性能指标

1.汽车的主要技术参数

(1)车长 车长是指车辆纵向最外端突出部位的两垂直面之间的距离,如图1-23所示。

图1-23 汽车车长

a)货车长 b)轿车长

(2)车宽 车宽是指平行于车辆纵向对称平面,车辆横向最外固定突出部位(除后视镜、侧面标志灯、方位灯、转向指示灯、挠性挡泥板、折叠式踏板、防滑链及轮胎与地面接触部分的变形)的两垂直面之间的距离,如图1-24所示。

(3)车高 车高是指车辆没有装载且处于可运行状态,车辆最高点与车辆支撑平面之间的距离,如图1-25所示。

图1-24 汽车车宽

图1-25 汽车车高

(4)其他尺寸规定 《汽车、挂车及汽车列车外廓尺寸、轴荷及质量限值》(GB 1589—2016)及《机动车运行安全技术条件》(GB 7258—2017)还有以下规定:

①当汽车或汽车列车处于满载状态、外后视镜底边离地高度不足1800mm时,其单侧外伸量不得超出汽车或汽车列车最大宽度处200mm。当外后视镜底边离地高度不小于1800mm时,其单侧外伸量不得超过汽车或汽车列车最大宽度处250mm。

②当汽车的顶窗和换气装置等处于开启状态时,不得超出车高300mm。

③汽车的后座和挂车前轴之间的距离不得小于3000mm(牵引中置轴挂车除外)。

④挂车及两轴货车的货箱栏板高度不得超过600mm,两轴自卸车、三轴及三轴以上货车的货箱栏板高度不得超过800mm,三轴及三轴以上自卸车的货箱栏板高度不得超过1500mm。

(5)轴距 轴距是指通过车辆同一侧相邻两车轮的中点,并垂直于车辆纵向平面的两垂线之间的距离。对于三轴以上的车辆,其轴距由从最前面的相邻两车轮之间的轴距分别表示,总轴距则是各轴距之和,如图1-26所示。

(6)轮距 当汽车轴的两端是单车轮时,轴距为车轮在支撑平面上留下轨迹的中心线之间的距离。当汽车车轴的两端是双车轮时,轮距为车轮中心平面(双轮车中心平面为外车轮轮辋内缘等距的平面)之间的距离,如图1-27所示。

图1-26 汽车轴距

a)轴距一 b)轴距二

图1-27 汽车轮距

a)轮距一 b)轮距二

(7)前悬 前悬(Front Overhang)是指通过两前轮中心的垂面与抵靠在车辆最前端(包括前拖钩、车牌及任何固定在车辆前部的刚性件),并且垂直于车辆纵向对称平面的垂面之间的距离,如图1-28所示。

(8)后悬 后悬(Rear Overhang)是指通过车辆最后车轮轴线的垂面与抵靠在车辆最后端(包括牵引装置、车牌及固定在车辆后部的任何刚性部件),且垂直于车辆纵向对称平面的垂面之间的距离,如图1-29所示。

(9)最小离地间隙 最小离地间隙是指车辆支撑平面与车辆上的中间区域内最低点之间的距离。中间区域是平行于车辆纵向对称平面,且与其等距离的两平面之间所包含的部分,两平面之间的距离是同一轴上两端车轮内缘最小距离(b)的80%,如图1-30所示。

图1-28 汽车前悬

图1-29 汽车后悬

图1-30 最小离地间隙

a)剖面图 b)侧面图

(10)接近角 接近角是指车辆静载下,地平面与前车轮轮胎相切平面之间的最大夹角,这样在车辆前轴的前方,车辆的所有点都位于切平面之上,而且车辆上的所有刚性部件(除踏板外),也都应位于此切平面之上,如图1-31所示。

(11)离去角 离去角是指车辆静载下,地平面与后车轮轮胎切平面之间的最大夹角,这样在车辆最后走的后部,车辆上所有点和刚性部件都位于这个平面上,如图1-32所示。

(12)转弯半径r 车辆的转弯半径是指将车辆的转向盘转到极限位置,外侧转向轮的中心平面轨迹圆半径(mm)。最小转弯半径说明汽车通过狭窄弯曲地带或绕过障碍物的能力。转弯半径越小,车辆的机动性越高,弯道通过性越强,掉头和停车越方便,如图1-33所示。

图1-31 接近角

图1-32 离去角

图1-33 汽车转弯半径

(13)质量m

1)最大总质量。汽车满载时的质量(kg)。

2)整车装备质量。指完整的设备和辅助设备(燃油、润滑油、冷却液及随车工具)的质量之和(kg)。

3)最大装载质量。最大总质量和整车装备质量之差(kg)。

4)最大轴载质量。汽车单轴所承载的最大总质量(kg)。

2.汽车的主要性能指标

汽车的主要性能指标包括汽车的动力性、燃油经济性、制动性、通过性操纵稳定性、行驶平顺性和环保性等。

(1)汽车的动力性 动力性是汽车首要的使用性能指标。汽车必须要有足够的牵引力才能克服各种行驶阻力,保证车辆能够以尽可能高的平均速度行驶。从获得尽可能高的平均行驶速度的观点出发,汽车的动力性可用以下三个指标来评定:

1)汽车的最高车速。汽车的最高车速是指在平直良好的路面上(水泥路面和沥青路面)汽车所能达到的最高行驶速度。

2)汽车的加速能力。汽车的加速能力是指汽车在行驶中迅速增加行驶速度的能力。汽车的加速能力常用汽车的原地起步加速性和超车加速性来评价。

①原地起步加速时间是指汽车由停车状态起步后以最大的加速强度加速,并恰当地选择最有利的换档时机,逐步换至最高档后达到某一预定的距离或车速所需的时间。一般常用0~400m的所需时间来表示,也可以用0~100km/h所需的时间来表示。原地起步加速时间越短,汽车动力性能越好。

②超车加速时间是指汽车用最高档或次高档由某一预定车速(该档最低稳定车速或30km/h)全力加速至某一高速所需的时间。这段时间越短,说明超车加速能力越强,从而可以减少超车过程中两车的并行时间,相对提高安全性。

3)汽车的爬坡能力。汽车的爬坡能力是指汽车满载时在良好的路面上以最低前进档所能爬行的最大坡度。

不同类型的汽车对上述三项指标要求有所不同。乘用车偏重于最高车速和加速能力,而商用车特别是载重汽车和越野汽车对最大爬坡度要求较高。

(2)汽车的燃油经济性 汽车在一定的使用条件下,以最少的燃油消耗量完成单位运输工作的能力,称为汽车的燃油经济性。为降低汽车使用成本,要求汽车以最少的燃油消耗,行驶尽量远的路程和完成尽量多的运输量。

汽车的燃油经济性评价指标有以下两种形式:

①汽车在一定的使用条件下,每行驶100km消耗掉的燃油量,单位为L/100km。我国及欧洲常用此指标。此数值越大,说明汽车的燃油经济性越差。

②汽车在一定的使用条件下,一定的燃油量能使汽车行驶的里程,单位为mile/USgal(英里/加仑),即每加仑燃油使汽车能够行驶的里程数。美国常用此值,此值越高,表明汽车的燃油经济性越好。

(3)汽车的制动性 汽车的制动性直接关系着汽车的行驶安全。只有在保证行车安全的前提下才能充分利用汽车的其他使用性能,如提高汽车的行驶速度,提高汽车的机动性能等。

汽车的制动性主要通过制动效能、制动抗热衰退性和制动时汽车的方向稳定性来评定。

1)制动效能。制动效能是指汽车迅速降低行驶速度直至停车的能力。制动效能是制动性能最基本的评价指标,它由一定初速度下的制动距离、制动减速度和制动时间来评定。制动距离与行车安全有直接关系,而且最直观,因此管理部门通常按制动距离制定安全法规。

2)制动抗热衰退性。汽车的制动抗热衰退性是指汽车高速制动、短时间多次重复制动和下长坡连续制动时,制动效能的热稳定性。

3)制动时汽车的方向稳定性。制动时汽车的方向稳定性是指汽车在制动时按指定轨迹行驶的能力,即不发生跑偏、侧滑或失去转向的能力。通常规定一定宽度的试验通道,制动稳定性良好的汽车,在试验时不允许产生不可控制的效能使它偏离这条通道。

(4)汽车的通过性 通过性是指汽车在一定装载质量下,汽车能以足够高的平均速度通过各种坏路及无路地带和克服各种障碍的能力。所谓坏路及无路地带,是指松软土壤、沙漠、雪地、沼泽等松软地面及坎坷不平地段;各种障碍是指陡坡、侧坡、台阶和壕沟等。

各种汽车的通过能力是不一样的。轿车和客车由于经常在市区或在路面较好的公路(高速或国道)上行驶,通过能力要求相对较低。而越野汽车、军用车辆、自卸汽车和载货汽车等,行驶工况较差,必须设计有较强的通过能力。

(5)汽车的操纵稳定性 汽车的操纵稳定性包括相互联系的两方面内容,即操纵性和稳定性。

1)操纵性。汽车的操纵性是指驾驶人能够以最小的修正而维持汽车按指定的路线行驶,以及按照驾驶人的愿望转动转向盘,以改变汽车行驶方向的响应能力,其直接影响行车安全。

2)稳定性。汽车的稳定性是指汽车抵抗力图改变其位置或行驶方向的外界影响能力,即汽车在受到外界扰动(路面扰动或突然的阵风扰动)后,能自动地尽快恢复到原来的行驶状态和方向,而不发生失控,以及抵御倾覆和侧滑的能力。

对汽车来说,侧向稳定性尤为重要。当汽车在横向坡道上行驶、转弯、侧向风力较大以及受到其他侧向力时,容易发生侧滑或者侧翻。汽车重心的高度越低,稳定性越好。

(6)汽车的行驶平顺性 当汽车正常行驶时,由于路面不平所产生的冲击会造成汽车的振动,使驾驶人和乘客感到疲劳和不舒服,或者使车载货物发生碰撞甚至损坏;同时,车轮的振动还会对车轮与地面间的附着性能产生不良影响,进而影响到操纵稳定性。振动还会加速汽车零部件的磨损,缩短汽车的使用寿命。汽车一般行驶速度范围内对路面不平的隔振和降振程度就称为汽车的行驶平顺性。

汽车行驶平顺性的评价指标如下:

①客车和轿车采用“舒适降低界限”,当汽车速度超过此界线时,就会降低乘坐舒适性,使人感到疲劳和不舒服。该界限值越高,说明汽车的平顺性越好。

②货车采用“疲劳-工效降低界限”,在此界限内,驾驶人能够正常进行驾驶,保持较高的工作效率;如果超过此界线,驾驶人就会感到疲劳,工作效率降低。良好的轮胎弹性、性能优越的悬架装置和座椅的减振性等都能提高汽车的行驶平顺性。

(7)汽车的环保性 汽车的环保性主要包括排放和噪声两个方面:

1)汽车的排放。目前,由于混合动力汽车、燃料电池汽车和电动汽车正处于起步阶段,所以汽车的发动机主要是内燃机,且燃料以汽油和柴油为主,研究汽车的排放污染问题其实就是研究内燃机的排气污染问题。

汽车废气主要有尾气、曲轴箱窜气和油箱油气蒸发三个排放源:汽车排出的尾气并不全是有害气体,如水蒸气对人体和生物不会直接造成危害;尾气中所含的有害物质主要是一氧化碳(CO)、N 2 、CO 2 、O 2 、H 2 、烃类化合物(HC)、氮氧化物(NO x )等;柴油车除了上述有害物之外,还有大量的颗粒物。曲轴箱窜气和油箱油气蒸发已经得到了比较好的控制,被充分循环利用,所产生的污染物很小。目前汽车的排放污染物主要来自尾气。

GB 18352.1/2—2001是轻型汽车国家第Ⅰ/Ⅱ阶段排放标准。目前,与广大消费者和汽车生产厂家关系密切的是实施的GB 18352.6—2016《轻型汽车污染物排放限值及测量方法》(中国第六阶段)。

2)汽车的噪声。相关资料表明,城市噪声的70%来源于交通噪声,而交通噪声主要是汽车噪声。汽车噪声严重地影响着人们的生活、工作和健康。可见噪声的控制,不仅关系到汽车的乘坐舒适性,还关系到环境的保护。因此,噪声也是汽车设计和使用的一项重要指标。

汽车噪声是一个综合噪声源,包括发动机噪声(由发动机工作引起的燃烧噪声、机械噪声、进气噪声、排气噪声、风扇噪声等)、传动系统噪声(变速器噪声、传动轴噪声、驱动桥噪声等)、轮胎噪声(车内噪声、花纹噪声、道路噪声、弹性振动噪声、风噪声等)和车身噪声(共鸣噪声、鼓动噪声、连接件碰撞噪声等)等。

三、汽车的使用可靠性

可靠性是汽车最重要的基本性能之一。高度的可靠性不仅能保证汽车充分发挥其各项性能,而且还能减少使用费用和维修费用,延长汽车的使用寿命。

汽车的可靠性包括制造和使用两方面的因素,分别用固有可靠性和使用可靠性表示。在设计与生产制造过程中确立的可靠性称为固有可靠性,与使用过程有关的可靠性统称为使用可靠性。

汽车的使用可靠性是指汽车在实际使用过程中所表现出来的可靠性,它体现了使用、维修、保养和使用环境等因素对汽车可靠性的影响。正确的维修方法与工艺能使汽车保持较高的使用可靠性,若维修不当会降低汽车的使用可靠性,特别是汽车大修,大修可以看作是汽车的第二次生产,其质量好坏对大修后汽车的使用可靠性有直接的影响。

汽车的使用可靠性分为狭义的可靠性和广义的可靠性。广义的可靠性是指汽车在规定的使用条件下,在整个寿命期间内完成规定功能的能力。广义的可靠性包括可靠性(狭义)、耐久性和维修性。

(1)可靠性(狭义)狭义的汽车可靠性是指汽车在规定的使用条件下和规定时间或者规定的行程内完成规定功能的能力,即汽车在规定的使用条件和规定行程内,汽车主要的使用性能指标不降低,不发生损坏停车性的故障或发生的故障容易排除。可靠性高的汽车,在使用过程中发生故障少,汽车的利用率和经济性能都能够维持在较高的水平上。可靠性是评价汽车技术水平综合性的使用性能指标。

汽车的可靠性主要取决于汽车零件的材料特性、零部件结构的合理性、机构调整的稳定性、各总成的技术水平、生产制造工艺水平和质量以及驾驶水平、汽车维修技术水平和质量。由于零部件结构缺陷和工艺缺点所引起的故障有一定的规律性并具有普遍性,而对于车辆的使用水平所导致的故障具有偶然性。

汽车可靠性的优劣均是用在汽车的一定行程内由结构原因所引起的故障数量来评价的。《汽车可靠性行驶试验方法》(GB/T 12678—1990)规定了汽车可靠性的评价指标,常用的评价指标有平均首次故障里程、平均故障间隔行程、当量故障率、1000km维修时间、1000km维修费用和有效度等。

消费者购买汽车最关注的问题之一就是汽车质量,而汽车质量的重要指标就是汽车的可靠性。

(2)耐久性 汽车在正常使用期间(没达到技术文件规定极限值的状况之前)需要进行维修保养,进行预防性维修(不包括更换主要总成),以维持其正常工作能力的性能。

汽车的耐久性就是指汽车在规定的使用和维修条件下,从投入使用直到某种技术或经济指标达到极限时,完成规定功能的能力。

《汽车耐久性行驶试验方法》(GB/T 12679—1990)规定了汽车耐久性的综合评价指标是耐久度。

汽车的耐久度是指汽车在规定的使用和维修条件下,能够达到预定的初次大修里程而又不发生耐久性损坏的概率。

汽车的耐久性损坏是指汽车构件的疲劳损坏已变得异常频繁、磨损超过限值、材料锈蚀老化、汽车主要技术性能下降超过规定限值、维修费用不断增长,并已达到继续使用时经济上不合理或不能保证安全的程度。汽车耐久性损坏的结果是更换主要总成或对汽车进行大修。

汽车耐久性的具体评价指标主要有第一次大修前的平均行程(大修里程)和大修间的平均行程(大修间隔里程)。大修间隔里程是指车辆两次大修之间的行程,主要用来评价车辆大修的质量。在修理技术水平和配件供应水平相等的条件下,车辆大修间隔里程取决于车辆原有技术水平。由于部分基础件老化变形,车辆第二次大修间隔里程一般低于第一次大修里程。

(3)维修性 汽车的维修性是指汽车产品在规定的条件和规定的时间内,按照规定的程序和方法进行维修时,保持或恢复汽车规定状态的能力。所谓规定的条件是指进行汽车维修所需要的机构和场所,以及相应的人员与设备、设施、工具、备件和技术资料等资源。规定的程序和方法是指按技术文件规定的维修工作内容、步骤和方法。

汽车维修性的评价指标有汽车的技术利用系数、完好率、汽车工作能力被修复的概率、机构和总成以及汽车的技术维护周期、技术维护和修理的劳动量(单位运行里程的维修工时)、技术维护和修理的比费用(单位运行里程的维修费用)。 jmkjtjEdkCwAguYESvf8Sm/Uh4sFJ732U+ML/w7J92S68cj/rU2dpSRCz6C+tn5f

点击中间区域
呼出菜单
上一章
目录
下一章
×